Novedades en el nuevo reglamento de alta tensión
New developments in high voltage regulation
RESUMEN
La publicación y posterior entrada en vigor del Real Decreto
337/2014, de 9 de mayo, por el que se aprueban el reglamento
sobre condiciones técnicas y garantías de seguridad en instalaciones
eléctricas de alta tensión y sus Instrucciones Técnicas Complementarias
ITC-RAT 01 a 23, ha supuesto una modificación importante
en el sistema de diseño y cálculo de las instalaciones
eléctricas de alta tensión. Todo ello hace indispensable examinar en
profundidad esta norma, analizar los cambios y compararlos con la
situación reglamentaria precedente, prevista en el ya derogado Real
Decreto 3275/1982, de 12 de noviembre, sobre Condiciones Técnicas
y Garantías en Centrales Eléctricas y Centros de Transformación.
Se han observado una serie de posibles desaciertos en su redacción,
en ocasiones importantes, a juicio de los autores, que se
ponen de manifiesto en el siguiente artículo y que pueden ser la
base que propicie una mejora del reglamento o una adecuada
interpretación por la autoridad competente encargada de que llegue
a buen término la aplicación del mismo.
Recibido: 12 de noviembre de 2014
Aceptado: 22 de enero de 2015
Palabras clave
Alta tensión, electricidad, transformador, aparamenta, transformador, instalación, legislación.
ABSTRACT
The publication and subsequent entry into force of Royal
Decree 337/2014, on May 9, amending the Regulation on
technical conditions and safety guarantees in high voltage
electrical installations and approve Technical Instructions ITCRAT
01 to 23, has been a major change in system design and
calculation of high voltage electrical installations. This makes
it essential to examine in depth this rule, analyze changes and
compare them with the regulatory status precedent provided
for Royal Decree 3275/1982, on November 12, on Technical
Conditions and Guarantees in Power Plants and Centers
Transformation.
There has been a number of possible blunders in wording, on
important occasions, in the opinion of these authors that are
apparent in the following article, which can be the basis to
improve the regulation or proper interpretation of the competent
authority that comes to fruition the application.
Received: November 12, 2014
Accepted: January 22, 2015
Keywords
High voltage line, electric power generation, transformers, electricity, installation, administrative authorization.
Introducción
La publicación en el Boletín Oficial
del Estado de 9 de junio de 2014 del
Real Decreto 337/2014, de 9 de mayo,
por el que se aprueban el reglamento
sobre condiciones técnicas y garantías
de seguridad en instalaciones eléctricas
de alta tensión y sus 23 Instrucciones
Técnicas Complementarias ITCRAT
01 a 23, ha supuesto un cambio
importante en la regulación de estas
instalaciones, por lo que procede realizar
una serie de comentarios sobre
dicha norma.
Para comenzar, deroga y sustituye
el Real Decreto 3275/1982, de 12 de
noviembre, sobre Condiciones Técnicas
y Garantías en Centrales Eléctricas
y Centros de Transformación, la
Orden de 6 de julio de 1984, por la
que se aprueban las Instrucciones Técnicas
Complementarias del Reglamento
sobre Condiciones Técnicas y
Garantías de Seguridad en Centrales
Eléctricas, Subestaciones y Centros
de Transformación y sus modificaciones.
Esta regulación se mantuvo en
vigor durante más de 30 años y, aun
con ciertas limitaciones técnicas, sobrevenidas
sobre todo por el continuo
avance de la tecnología empleada, ha
permitido mantener unos estándares
de calidad más que aceptables en este
tipo de instalaciones.
Reglamento
Los primeros cambios importantes comienzan
en el articulado del propio reglamento,
previamente a los criterios técnicos
establecidos en las correspondientes
Instrucciones Técnicas Complementarias,
más completas, en cuanto a detalles,
a juicio de los autores. El artículo 20 elimina
la autorización administrativa para
las instalaciones de particulares, lo que
supone un avance muy importante que
preserva los derechos del ciudadano particular,
pues simplifica y agiliza mucho la
tramitación de las instalaciones. Algunas
comunidades autónomas ya lo habían
propuesto y publicado en sus boletines
oficiales, pero supone un beneficio regularlo
a nivel nacional, ya que aumenta la
seguridad jurídica de todos los españoles.
Desarrollo de las instrucciones técnicas complementarias
Introducción
Las Instrucciones Técnicas Complementarias
(ITC-RAT) detallan y justifican
aspectos técnicos del reglamento en
los diversos temas concretos, como se
irá comentando pormenorizadamente a
lo largo del presente artículo.
ITC-RAT 05. Circuitos eléctricos
La citada instrucción técnica indica textualmente:
«Todos los circuitos de baja tensión
no conectados a tierra, que estén en
contacto con máquinas o aparatos de alta
tensión, o que estén muy próximos a otros
circuitos de alta tensión, deben ser considerados,
a efectos de su disposición y servicio,
como si fuesen ellos mismos elementos de
alta tensión». Esta prescripción no es
novedosa; en la MIE-RAT 05 del antiguo
reglamento ya decía algo similar. Si
aplicamos el reglamento de líneas de
alta tensión sería preceptivo la actuación
de in instalador de alta tensión.
Además, actualmente, en muchas comunidades
autónomas existe la figura del
instalador de alta tensión. La correcta
aplicación de esta disposición implica
que este instalador, y no otro, es el único
que puede realizar los circuitos de baja
tensión dentro del recinto de un centro
de transformación, salidas en baja tensión,
cableado de medida, alumbrado,
servicios auxiliares o seguridad.
Por otra parte, la misma instrucción
incluye: «Las canalizaciones de alta tensión
deberán ser dispuestas y realizadas de
acuerdo con el Reglamento sobre condiciones
técnicas y garantías de seguridad en líneas
eléctricas de alta tensión, considerando en la transición a las acometidas de instalaciones
de alta tensión lo indicado en el apartado
5.2 de esta instrucción. Se tendrá en cuenta,
en su disposición, el peligro de incendio, su
propagación y consecuencias, para lo cual se
procurará reducir al mínimo sus riesgos
adoptando las medidas que a continuación
se indican: a) Las canalizaciones no deberán
disponerse sobre materiales combustibles no
autoextinguibles, ni se encontrarán cubiertas
por ellos…». En los centros de transformación
se utiliza, de forma casi exclusiva,
en las canalizaciones de
entrada-salida de cables espuma de
poliuretano para sellar tubos e impedir
la entrada de humedad y roedores. Sin
embargo, dicha espuma no tiene ninguna
resistencia al fuego y arde desprendiendo
vapores y humos tóxicos
(entre otros productos el cianuro de
hidrógeno o HCN). Por ello, es totalmente
desaconsejable para utilizarlo en
centros de transformación adosados a
un edificio o ubicados en su interior.
Será necesario sustituir dicha espuma
por mantas intumescentes, silicona y
sus derivados y/o capuchones termorretráctiles
homologados.
ITC-RAT 06. Aparatos de maniobra de circuitos
Esta instrucción técnica permite la instalación
en las subestaciones de un interruptor
automático en cabecera y varios
seccionadores aguas abajo para maniobrar
varios transformadores. Limita la
intensidad mínima de dichos seccionadores
a 200 amperios (punto 3.7), lo que
es una medida de seguridad adecuada.
Su apertura quedará condicionada a que
exista un enclavamiento con el corte
previo de la salida, en el lado secundario
(punto 4.5). En opinión de los autores se
debería limitar la potencia máxima de
los transformadores y la tensión de los
mismos, para que se pueda implantar
este montaje. Para altas tensiones o potencias
este sistema podría ser muy peligroso
para las personas, instalaciones y
bienes. En el punto 3.4, sin embargo,
incluye la obligación de utilizar seccionadores
con puesta a tierra enclavada y
bases sin posibilidad de contorneo, lo
que redunda en una mejora del comportamiento
de los dispositivos. Por otra
parte, admite que se supriman los seccionadores
si el interruptor es extraíble,
punto 4.3, lo no que puede considerarse
precisamente una buena práctica desde
el punto de vista de la seguridad. Todo
ello ya se incluía en la antigua MIERAT
06 y se ha perdido una espléndida
ocasión de mejorarlo y adaptarlo a la
tecnología actual.
ITC-RAT 07. Transformadores y autotransformadores de potencia
En el punto 5 de esta instrucción, se limita
la impedancia de cortocircuito a unos
valores máximos. Esta prescripción es, a
priori, beneficiosa, en aras de un mejor
comportamiento energético de los transformadores,
aumentando la eficiencia
energética del equipo. A juicio de los
autores, la aplicación de este apartado
merece una reflexión particular en el caso
de la sustitución de un transformador
antiguo por otro que cumpla dichas especificaciones,
que tampoco son especialmente
modernas, puesto que ya estaban
en la norma UNE 20138-82 y en la RU
5204-B. En estas especificaciones no se
hace mención a los transformadores secos.
Se debe considerar que todos los transformadores
del mercado cumplirán estas
especificaciones.
La limitación de la impedancia de cortocircuito
no solo reduce las pérdidas de
potencia del transformador, sino que,
además, eleva en la misma proporción el
valor de la corriente máxima de cortocircuito
aguas abajo del mismo. Esta sustitución
debe ser motivo de un estudio
exhaustivo, ya que obligaría a realizar un
estudio detallado de los valores de corrientes
de cortocircuito en su totalidad, y
posiblemente a la sustitución de los dispositivos
de protección correspondientes
máxime cuando la sustitución de un transformador
por otro de la misma potencia
no es objeto de redacción de proyecto1.
Se indican, a modo de ilustración, dos
casos:
1. Sustitución de un transformador de
800 kVA antiguo, con una impedancia de
cortocircuito del 8%, valor perfectamente
posible en transformadores antiguos.
La impedancia de cortocircuito del
transformador sustituto no puede exceder
del 6%. La intensidad de cortocircuito
trifásica máxima en el transformador
que se sustituye sería de 14.434 A,
por lo que sería válida una gama de interruptores
automáticos con una corriente
de cortocircuito asignada de 16 kA. Esta
aparamenta ya no sería válida una vez
sustituido el transformador, ya que la
corriente de cortocircuito ascendería a
19.245 A.
2. Sustitución de un transformador de
2.000 kVA antiguo, con una impedancia
de cortocircuito del 8,2%, valor típico de
mercado en transformadores antiguos.
La impedancia de cortocircuito del transformador
sustituto no puede exceder del
6%. La intensidad de cortocircuito trifásica
máxima en el transformador que se
ha de sustituir sería de 35.204 A, por lo
que sería válida una gama de interruptores
automáticos con una corriente de
cortocircuito asignada de 36 kA. Esta
aparamenta ya no sería válida una vez
sustituido el transformador, ni la gama
inmediatamente superior, de 42 kA, ya
que la corriente de cortocircuito ascendería
a 48.112 A y sería necesaria una
aparamenta de protección de 50 kA de
capacidad mínima de corte.
A pesar de no tener especial relevancia
técnica, la terminología empleada en la
tabla estudiada anteriormente se refiere a
Zcc, que no es el parámetro más adecuado
para el estudio de la eficiencia energética
del transformador, ya que el parámetro
considerado de referencia para el estudio
del ensayo de cortocircuito de un transformador
es el valor de la tensión de cortocircuito.
Además, las propias placas de
características de los fabricantes de transformadores
solamente facilitan el valor
de Ucc.
La misma instrucción, en el apartado
6, hace referencia a los cables utilizados
en los circuitos auxiliares de los transformadores
y reactancias aislados con aceite,
que deben ser resistentes a la degradación
por líquidos aislantes. Esta prescripción
ya estaba incluida en la MIE-RAT
07.5 del anterior reglamento. El motivo
por el que los autores consideran que
debe mencionarse el presente comentario
es que, a raíz de su experiencia acumulada,
la mayor parte de las instalaciones
no están en cumplimiento de este
aspecto, a pesar de no ser novedoso. El
cumplimiento de este apartado exige la
utilización de cables de cubierta de goma
vulcanizada de policloropreno tipo SE 1
según IEC 60.502-1, tipo DN, o similar.
ITC-RAT 08. Transformadores de medida y protección
En el punto 1 in fine de esta ITC, establece
la obligación de adoptar medidas para evitar
daños en el caso de explosión de los
transformadores de medida. Los transformadores
de intensidad, cuando se quedan
en circuito abierto pueden explosionar y si
son aislados con aceite, proyectarlo caliente
sobre su entorno, con el consiguiente peligro
para personas y bienes. Por ello, se ha
plasmado la obligación de protegerlos en
el nuevo reglamento, que considera que las
cabinas de alta tensión pueden ser una medida suficiente. En el caso de los equipos
de intemperie debera buscarse una
solucion adecuada equivalente.
El apartado 2 de la ITC referente a
transformadores de medida y proteccion
establece literalmente: «En el caso de transformadores
de tension, la relacion de transformacion
sera un numero entero tal que la tension
asignada del primario, elegida dentro de
las series de tensiones asignadas normalizadas,
este comprendida entre el 100% y el
120% de la tension nominal del circuito de
potencia primario».
Actualmente, esta prescripcion no se
cumple en todos los casos de los transformadores
de tension empleados en el mercado.
Ejemplos de transformadores empleados
en la actualidad que no cumplen
estos requisitos son 46.000/V3/110V3 y
44.000/V3/110V3. En el primer caso cumple,
pues la relacion de transformacion es
de 40, que es un numero entero. Sin
embargo, la tension esta 1.000 V por
debajo de la nominal y no cumple. En el
segundo caso, es la relacion de transformacion
la que no cumple, pues no es un
numero entero.
ITC-RAT 09. Protecciones
Proteccion de generadores
La instruccion tecnica ITC-RAT 09.4.1
sobre protecciones de generadores rotativos
amplia de forma muy contundente
el unico parrafo que le dedicaba al tema
el reglamento de 1982, reemplazandolo
por una relacion pormenorizada de protecciones
en las que se incluyen proteccion
contra los defectos de lubricacion
(38) refrigeracion (49), sobrevelocidad
(12), sobrecargas (50), cortocircuitos
(51), sobretensiones de origen interno o
externo (59), falta a tierra del estator
(64) y en los generadores de mas de 5
MW de potencia prescribe, ademas, una
proteccion diferencial (87), maxima y
minima frecuencia (81), inversion de
potencia (32), falta a tierra en el rotor
(64), defecto de excitacion (40), sobretension
(59), falta de tension de alimentacion
del regulador (37), temperatura
de bobinados y del circuito magnetico
(49), asi como un sistema de proteccion
contra incendios (45); prescribe como
recomendables los detectores de vibraciones
(30) y, en el caso de los generadores
sincronos asociados a baterias de
condensadores, una proteccion contra
sobretensiones de autoexcitacion (24).
La diferencia con la regulacion anterior
es muy notable, pasando de un mero
aspecto indicativo a un elevado nivel de
detalle. No obstante, muchas de estas
protecciones se prescribian en la orden
de 5 de septiembre de 1985 y en sus posteriores
modificaciones, que complementaron
el reglamento de 1982. Esta
ampliacion viene, sin duda, promovida
por el elevado numero de generadores
instalados a lo largo del ultimo decenio,
sobre todo de pequenos generadores a
lo largo de la red de distribucion. Es un
hecho que el modelo actual esta agotado
y parece evidente que el futuro discurre
hacia una red de generacion distribuida,
democratizando el sector electrico, lo
que implica unas protecciones mucho
mas versatiles.
Proteccion de transformadores
La instruccion tecnica ITC-RAT 09.4.2
sobre protecciones de transformadores
establece la novedad de que a partir de 1
MVA de potencia de transformador, la
proteccion se realizara mediante interruptor
automatico (6). En la anterior
reglamentacion figuraba esta prescripcion
como recomendacion, aunque en la
practica era de aplicacion de forma mayoritaria
en las instalaciones de este tipo.
En la instruccion tecnica ITC-RAT
09.4.2.3, cuando considera la proteccion
de grupos de transformadores, mantiene
la posibilidad de proteger grupos de transformadores
de hasta 800 KVA de potencia
total, con un solo grupo o conjunto de
fusibles, que ya incluia el antiguo reglamento.
A tenor de la experiencia acumulada
por los autores de la presente documentacion,
se trata de un sistema
totalmente decimononico y que solamente
favorece a las empresas distribuidoras
de electricidad, sin proporcionar
mayor continuidad ni seguridad del servicio
electrico. La proteccion en racimo,
que es como se denomina este sistema de
proteccion en el argot, es una estrategia
seguida de forma tradicional por las companias
de distribucion de energia electrica
que puede provocar danos a centros
de transformacion de cliente, y muy graves
en el caso de que se incluyan instalaciones
de generacion distribuida, ya que
la norma no impide la coexistencia de
centros de transformacion de compania y
de propiedad particular.
Proteccion de generadores conectados a la red de distribucion
Respecto a las protecciones de generadores
conectados en redes de distribucion,
la instruccion tecnica ITC-RAT
09.4.7.2 cambia todo lo relacionado con
las faltas internas y externas de los generadores,
de forma que, ademas de lo
prescrito en la ITC-RAT 09.4.1, anade
ademas una serie de protecciones adicionales,
como son las siguientes: minima
tension (27), con medida de la tension
entre fases o fase tierra, segun los criterios
de proteccion de la red a la que se
conecte la instalacion; maxima tension
(59), con medida de la tension entre
fases o fase tierra, segun los criterios de
proteccion de la red a la que se conecte
la instalacion; maxima tension homopolar
(59N); maxima y minima frecuencias
(81), y sobreintensidad de fase y neutro,
tanto temporizada (50/50N) como instantanea
(51/51N). Dependiendo de los
criterios de proteccion y explotacion de
la red a la que se conecta la instalacion,
ademas de las protecciones anteriores, se
podra requerir la instalacion de una proteccion
adicional que actue en caso de
desconexion de la red (25), con el fin de
evitar el funcionamiento en isla y prevenir
danos en caso de reconexion fuera de
sincronismo. En funcion de la tecnologia
del generador, dicha funcion de proteccion
podra ser realizada mediante sistemas
basados en comunicaciones, como
el teledisparo (89), reles en el punto de
conexion o sistemas de proteccion antiisla
integrados en los inversores de conexion
a red, acordes con los criterios de proteccion
de la red. En caso de un sistema
de proteccion antiisla integrado en un
inversor, este debe funcionar correctamente
en paralelo con otras centrales
electricas, con la misma o distinta tecnologia
y alimentando las cargas habituales,
tales como motores.
Ademas, prescribe la teledesconexion
o teledisparo (89) del generador y limita
la reposicion automatica (79) con una
serie de condiciones.
La introduccion de esta bateria de
requisitos tecnicos ya supone un avance
importante en la seguridad juridica de
los promotores de este tipo de instalaciones.
Aunque la Orden de 5 de septiembre
de 1985 y las normas particulares
de las empresas electricas (no siempre
aprobadas por el Ministerio de Industria)
ya prescribian la mayor parte de las
citadas protecciones, la instalacion de
todas o algunas de las seguridades prescritas,
no estaba avalado por un acuerdo
entre las companias de distribucion y los
promotores de los generadores.
Proteccion de generadores conectados a traves de convertidores electronicos
La instruccion tecnica ITC-RAT 09.4.7.5
sobre generadores conectados a traves de convertidores electrónicos hace un
aporte normativo sobre un sistema de
instalación que en 1982 simplemente no
existía. Considera que, además de cumplir
los requisitos del apartado 4.7 de la
ITC-RAT 09, se deben limitar sus sobretensiones
transitorias de acuerdo con la
tabla 1.
Protección de generadores en parques eólicos
Sobre los parques eólicos, la instrucción
técnica ITC-RAT 09.4.8, prescribe la
instalación de descargadores de sobretensiones.
Resulta perfectamente lógica
esta salvedad, pues son grandes receptores
de rayos, ya que el movimiento de las
palas incrementa su recepción o captura.
Se trata de un caso que no existía en
1982 y que actualmente es muy abundante.
Esto justifica la adopción de una
medida de seguridad obligatoria y razonable.
ITC-RAT 11. Instalaciones de acumuladores
En la instrucción técnica ITC-RAT
11.4.1.1, relativa al emplazamiento de
instalaciones de acumuladores, hace
referencia al Reglamento Electrotécnico
para Baja Tensión de 2002, para
locales con riesgo de incendio y/o explosión
y corrosión. Este reglamento de
baja tensión deja perfectamente estipuladas
las condiciones que deben cumplir
las instalaciones eléctricas sometidas
a condiciones de contorno adversas
con respecto a este tipo de riesgo. Esta
coordinación entre distintas reglamentaciones
es relativamente nueva en
España. La prescripción de regulaciones
aisladas en cada marco regulatorio
es el sistema seguido tradicionalmente
en la legislación técnica-administrativa
española. A juicio de los autores es un
acierto considerable que se unifiquen
criterios, sobre todo si estos criterios
son buenos, en instalaciones sometidas
a las mismas condiciones de contorno,
aunque sean aplicables en instalaciones
de naturaleza diferente.
Como novedad, la instrucción técnica
ITC-RAT 11.5 permite que un
polo de las baterías esté conectado a tierra
e incluye nuevas protecciones como
la de bajo nivel de electrolito, las sondas
de temperatura en las baterías y la alarma
de sustitución de la batería, que no existían.
Ciertamente la electrónica y los
sensores y/o transductores han avanzado
mucho en estos años y a ello debe de
acomodarse la regulación técnica del
sector.
La instrucción técnica ITC-RAT
11.6 desarrolla con mucho mayor detalle
que la reglamentación anterior los
equipos de carga de baterías (no en
vano han evolucionado mucho), incluyendo
la obligatoriedad de que exista
una placa de características, protección
contra sobretensiones, cables no propagadores
del incendio, de baja emisión
de humos y opacidad reducida,
marcados y referenciados, un conmutador
manual-automático y protecciones
contra sobrecargas y cortocircuitos.
Todo ello como novedad respecto
al anterior reglamento y que supone
una mejora considerable sin un incremento
apreciable del coste.
ITC-RAT 12. Aislamiento
La instrucción técnica ITC-RAT 12
desarrolla las diferentes categorías,
denominadas grupos, y propone los
diferentes niveles de aislamiento en
función de estos, establecidas a tenor
de las normas UNE-EN 60071-1 y
UNE-EN 60071-2. Estas normas UNEEN
son las seguidas también por el
Reglamento de Líneas de Alta Tensión.
Los autores consideran que deberían
establecerse criterios comunes
para resolver problemas coincidentes
en instalaciones diferentes, evitando
los problemas de criterio que deben
seguir los diferentes actores en una
instalación, entre los cuales no siempre
existe un elevado grado de realimentación:
el ingeniero proyectista y/o director
de obra, como profesional libre y
experto en la materia, demasiado centrado
en la parte técnica de sus proyectos
y más descuidado en ocasiones en
la parte jurídica del mismo, sobre todo
en la relacionada con la Administración
pública; el ingeniero funcionario,
que debe aunar conocimientos técnicos
que avalen la supervisión de proyectos
y obras con los conocimientos
jurídicos que dan un buen fin al cauce
legal que deben seguir este tipo de instalaciones;
el cliente o promotor, que
debe costear la instalación, y la empresa
distribuidora que dispone de los mayores
recursos, materiales y humanos,
conocimientos y actúa a menudo como
lobby legislativo, habitualmente interesado
en que exista cierto desorden
legal en los asuntos técnicos.
ITC-RAT 13. Instalaciones de puesta a tierra.
Introducción
La instrucción técnica ITC-RAT 13
cambia por completo la forma de entender
la protección por medio de la puesta
a tierra de las masas metálicas en alta
tensión. La ITC sobre este tema de la
reglamentación anterior nunca estuvo
bien lograda, ni tuvo un criterio acorde
con el funcionamiento real de las instalaciones.
Cabe reseñar como positivo
que instauró el cálculo y las mediciones
de tensiones de paso y contacto y definió
el procedimiento para realizar el ensayo,
lo que redundó en una clara mejora de la
seguridad de las instalaciones, pues no
existía precedente en España.
La norma actual supera la instalación
de aquellas dos tierras independientes, a
veces imposibles de obtener, separadas
entre sí y que posteriormente se unían,
por una nueva forma de enfocar el problema.
La normativa del año 1982 no
pudo implantarse en la práctica nunca.
La ejecución final del sistema de puesta
a tierra realmente era una puesta a tierra
a la que se conectaba todo excepto el
neutro de salida en baja tensión, que
tenía otra puesta a tierra alejada y separada
físicamente del centro de transformación.
El conocimiento acumulado
por los agentes hacía satisfactorio este
montaje. Se realizaba de este modo porque,
entre otros motivos, era mucho
más seguro y producía menos averías a
las compañías y a sus clientes. Se trató
de un caso claro de legislación hueca,
todos los agentes conocían cómo decía
la legislación que había que realizar las
instalaciones y la forma correcta de ejecución,
no coincidente con la disposición
reglamentaria.
Concretamente, a las antiguas tomas
de tierra de «servicio» y de «protección», definidas en el antiguo reglamento de 1982, se debían de conectar las masas
metálicas, en particular a la denominada
de «servicio» se debía conectar: el neutro,
los pararrayos autovalvulares o descargadores,
los secundarios de los transformadores
de medida y el neutro de la instalación.
Esta medida podía producir
sobretensiones peligrosas en el neutro,
por lo que jamás se llevó a la práctica.
Desarrollo normativo
Primeramente, establece los valores
admisibles de la tensión de contacto aplicada
en función de la duración de la
corriente de falta. Estos valores son exactamente
iguales a los estipulados por el
reglamento sobre condiciones técnicas y
garantías de seguridad en líneas eléctricas
de alta tensión y sus instrucciones
técnicas complementarias ITC-LAT 01
a 09. A continuación, presenta el concepto
de Tensión de Paso, concepto ya
descartado en el Reglamento de Líneas.
Sorprendentemente, esta magnitud no
será tenida en cuenta como criterio de
seguridad en el desarrollo normativo de
la ITC.
En la Instrucción Técnica ITC-RAT
13.1.1, se dice textualmente: «Si un sistema
de puesta a tierra satisface los requisitos
numéricos establecidos para tensiones de contacto
aplicadas, se puede suponer que, en la
mayoría de los casos, no aparecerán tensiones
de paso aplicadas peligrosas. Cuando las tensiones
de contacto calculadas sean superiores a
los valores máximos admisibles, se recurrirá
al empleo de medidas adicionales de seguridad
a fin de reducir el riesgo de las personas y
de los bienes, en cuyo caso será necesario cumplir
los valores máximos admisibles de las
tensiones de paso aplicadas». Ello es ampliamente
discutible. En primer lugar, que
se cumplan las tensiones de paso no quiere
decir que indefectiblemente se cumplan
las de contacto. Suele ser así, pero no
siempre se cumple y no puede tomarse
como axioma. Ello va en detrimento de
la seguridad de las personas. En segundo
lugar, parece que el punto y seguido
siguiente está mal expresado, pues tal
como se redactó, parece entenderse que
cuando no se cumplan los valores máximos
admisibles y se aplique alguna medida
adicional de seguridad se multipliquen
los valores admisibles por 10. Estas magnitudes
son tensiones diferentes, que
medidas in situ arrojan valores que no
están indexados matemáticamente uno
con otro.
A juicio de los autores, cabría proponer
un protocolo de seguridad de las
personas interreglamentario, común
para todos los reglamentos eléctricos
de diferentes instalaciones, en alta y
baja tensión pues se hacen alusiones a
criterios utilizados en el reglamento de
líneas de alta tensión y a otras reglamentaciones.
En la instrucción técnica ITC-RAT
13.1.1 no se consideran los tiempos de
desconexión para tiempos superiores a
10 segundos, es más, se considera la
opción de que no haya un elemento
automático de desconexión. En condiciones
normales, los tiempos de desconexión
oscilan entre valores que normalmente
son muy inferiores al segundo
y como máximo de cinco o seis segundos.
Es más, en sistemas con neutro
muy impedante o aislado, se puede solicitar
al órgano competente mantener el
servicio bajo desconexión manual durante
días. A juicio de los autores, no se mantienen
las suficientes condiciones de
seguridad, si va a mantenerse el servicio
durante días enteros, las tensiones de
paso y contacto se deberán mantener,
en todo momento, por debajo de los 24
voltios de seguridad en emplazamientos
húmedos, mojados y potencialmente
conductores, debido a que la probabilidad
de que simultáneamente se produzca
una falta a tierra y a que la persona
o animal pueda contactar con un
componente conductor de la instalación,
aumenta considerablemente si la
falta persiste de forma indefinida. De
este modo, en los sistemas con neutro a
tierra, directamente o por medio de una
impedancia muy baja, el coeficiente
multiplicador de la falta con respecto a
la medida es muy alto, con lo que rápidamente
obliga a la ejecución aceras
perimetrales aislantes, encachado de
piedra y otras medidas de seguridad
adicionales. A juicio de los autores, se
tratan con demasiada levedad legal los
sistemas con neutro altamente impedante
o aislado: la corriente de falta
teórica es muy pequeña y no suele superar
unas decenas de amperios, pues
cuando se miden las tensiones de paso y
contacto, al ser la corriente de falta muy
baja, el coeficiente de multiplicación es
bajo y no obliga a utilizar aceras perimetrales,
piedra que actúe de aislante,
etc. Ello puede llevar a una disminución
de las medidas de seguridad, olvidando
que al tratarse de instalaciones que no
son desconectadas en segundos al primer
defecto, deben tener unas tensiones
de paso y contacto bajísimas (menores
de 24 V) para mantener a los usuarios
en unas adecuadas condiciones de seguridad,
pues pueden mantenerse durante
días en situación de defecto.
En concreto, se indica textualmente:
«Cada defecto a tierra será desconectado
automática o manualmente. Por lo tanto,
las tensiones de contacto o de paso de muy
larga duración, o de duración indefinida, no
aparecen como una consecuencia de los defectos
a tierra». Los autores consideran que
este párrafo deberá ser explicado con
mayor profundidad, pues las tensiones
de duración indefinida pueden tener
consecuencias fatales.
Las tensiones de paso y contacto de
muy larga duración no parecen, para
dicha instrucción técnica, consecuencia
de defectos a tierra. Sin embargo, no se
puede suponer que dichas tensiones sean
seguras, ni que tengan otra etiología, por
lo que hay que comprobar teóricamente
y medir la realidad práctica. Este extremo
es obviado por el legislador y la realidad
más, con el consiguiente peligro para
personas y bienes.
Los autores han detectado que no se
visualiza la figura 2. Circuitos para el cálculo
de las tensiones de paso y contacto
admisibles en una instalación.
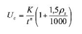
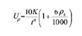
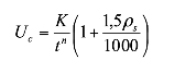
En el Reglamento de 1982, se estableció
en la MIE-RAT 13.1.1, en la expresión
enunciada en la ecuación 1, la forma
de calcular la tensión de contacto admisible,
que era:
El Real Decreto 337/2014, en su
ITC-RAT 13.1.1, en la tabla 1, establece
unos valores máximos admisibles
de la tensión de contacto aplicada en
función de la duración de la falta. Además,
facilita una expresión para la tensión
de contacto, que es la reflejada en
la ecuación 2:
Donde:
Uca=Tensión de contacto aplicada admisible:
la tensión a la que puede estar sometido
el cuerpo humano entre una mano y
los pies.
Upa=Tensión de paso aplicada admisible:
la tensión a la que puede estar sometido
el cuerpo humano entre los dos pies
(Upa = 10 Uca).
ZB=Impedancia del cuerpo humano.
Se considerara un valor de 1.000 Ω.
IB=Corriente que fluye a traves del
cuerpo.
Uc=Tensión de contacto máxima admisible
en la instalación que garantiza la
seguridad de las personas, considerando
resistencias adicionales (por ejemplo,
resistencia a tierra del punto de contacto,
calzado, presencia de superficies de material
aislante).
Up=Tensión de paso aplicada admisible,
la tensión a la que puede estar sometido
el cuerpo humano entre los dos pies
(Upa = 10 Uca).
Ra=Resistencia adicional total suma de
las resistencias adicionales individuales.
Ra1=Es, por ejemplo, la resistencia
equivalente del calzado de un pie cuya
suela sea aislante. Se puede emplear como
valor 2.000 Ω. Se considerara nula esta
resistencia cuando las personas puedan
estar descalzas, en instalaciones situadas
en lugares tales como jardines, piscinas,
campines y areas recreativas.
Ra2=Resistencia a tierra del punto de
contacto con el terreno de un pie. Ra2 =
3Ρs, donde Ρs es la resistividad del suelo
cerca de la superficie.
Dicha formula depende absolutamente
de la tabla 2 (denominada tabla 1 en la
ITC-RAT 13), pues, al ser independiente
del tiempo, hay que introducirle un valor
externo que nos proporciona la antecitada
tabla.
A continuacion, se realiza una comparativa
muy basica entre los valores indicados
en la reglamentacion de 1982 y los
actuales, reflejados en la tabla 2 del presente
articulo.
La actual instruccion ITC-RAT 13
establece unas tensiones de contacto
superiores a las que establecia el Reglamento
de 1982, como se puede ver en la
figura 1, lo que supone una disminucion
de la seguridad para las personas dificilmente
explicable.
No se han estudiado las tensiones de
paso, pues la reglamentacion actual las
toma como un valor fijo, equivalente a 10
veces la tension de contacto, lo que quiza
sea una simplificacion excesiva. Sin
embargo, el Reglamento de 1982 proponia
una formula de calculo mas compleja,
expresada en la ecuacion 3, que solamente
era equivalente a 10 veces la tension
de paso si se consideraba cero el
valor de la resistividad de la capa superficial
del terreno Ρs.
ITC-RAT 14. Instalaciones eléctricas de interior
Respecto a la ventilación, la instrucción
técnica ITC-RAT 14.4.4.4, cuando
considera el gas SF6, y recordando que
sobre este tema no se había reglamentado
nunca, especifica que hay que
conocer la cantidad de gas en condiciones
normales de presión y temperatura
que almacena una instalación para
que ejerza de aislante eléctrico y/o de
elemento mixto, como aislante, medio
de corte y gas de apagado de arcos eléctricos.
Dado que se empiezan a utilizar
abundantemente celdas de 132 y 220
kV, donde no solamente el elemento
de corte se encuentra en atmósfera de
SF6, sino que las barras y elementos de
medida e interconexión también van
aislados en gas a una cierta sobrepresión,
su cantidad de SF6 ha aumentado
de forma muy notable y puede ser peligrosa
para las personas por desplazamiento
del oxígeno del aire ambiente
en entornos cerrados y en caso de escape
importante.
En cuanto a los campos magnéticos, la
instrucción técnica ITC-RAT 14.4.7
incluye las limitaciones de los mismos. Se
trata de una novedad completa, pues
nunca se había incluido en una reglamentación
eléctrica con suficiente detalle.
La instrucción técnica ITC-RAT 14.4.8
considera la limitación de ruido de las
instalaciones de alta tensión, coordinando
con la legislación sobre el ruido
existente.
Limitación del nivel de ruido emitido por
instalaciones de alta tensión
En opinión de los autores, no se ha tenido
en cuenta lo suficiente la emisión de
ruido de los transformadores secos, que,
como la experiencia ha demostrado, son
incompatibles con su instalación en edificios
de viviendas, por la gran cantidad de
ruido que generan y que transmiten al
edificio.
Sistemas contra incendios
Las instrucciones técnicas ITC-RAT
14.5.1.a y ITC-RAT 16.6.1.d prescriben
el foso de recogida de líquido dieléctrico
para determinados tipos de transformadores.
Esta norma, entonces, no es de
aplicación en transformadores con dieléctricos
de silicona. A juicio de los autores,
el foso de recogida de aceites cumple
una segunda misión que no ha sido tenida
en cuenta de forma explícita: recogida de
aceites, con objeto de que no se produzca
ningún vertido al medio ambiente. Los
autores creen que el foso de recogida de
aceite debe considerarse una función
separada del pozo de extinción, aunque
esta función la pueda cumplir un mismo
dispositivo. Además, debe ser atendida
independientemente de la naturaleza del
líquido dieléctrico.
La instrucción técnica ITC-RAT
14.5.1.b.2 establece diferencias para la
instalación de sistemas automáticos de
extinción de incendios y dependiendo
de que el edificio donde se ubique el
transformador sea de pública concurrencia,
minora los valores para instalar
un sistema automático de extinción,
Así fija, como la legislación anterior,
unos límites de 600 litros de líquido
dieléctrico por transformador o de
2.400 litros en total, con potencias de
1.000 KVA por transformador o de
4.000 KVA en total. Dichos valores
pasan a ser de 400 litros por transformador
y 1.600 litros en total, y a 630
KVA por transformador y 2.520 KVA
en total, en el caso de edificios de pública
concurrencia y como valores mínimos
para instalar un sistema fijo de extinción.
Todo ello no estaba incluido en la
legislación anterior.
La instrucción técnica ITC-RAT
14.5.1.b.2 se refiere a sistemas de extinción.
Entre ellos propone como medio
de extinción el agua pulverizada y/o
nebulizada. Para los autores es un buen
medio de extinción y enfriamiento en
caso de incendio, pero también es un
elemento conductor de la electricidad.
Una proyección de agua sobre un elemento
en tensión puede agravar la situación,
máxime si dicho transformador se
encuentra en situación de incendio porque
la protección, que tenía que haber
despejado la falta, no ha funcionado. En
conclusión, los sistemas de extinción por
agua solo deberían de disparar si existe la
garantía de la no existencia de tensión en
los equipos en los que se pretende extinguir
el fuego. La presencia de electricidad
puede producir la descomposición
del agua y la del CO2, pudiendo dar lugar
a altas temperaturas a monóxido de carbono
(CO).
Para otros sistemas de extinción,
hay que recordar que los sistemas de
halón hace años que se prohibieron,
por sus efectos negativos sobre la capa
de ozono, y que los sistemas de CO2 o
nitrógeno precisan de unas rejillas para
permitir la refrigeración natural del
equipo de alta tensión en funcionamiento
y que deben cerrarse lo más
herméticamente posible para que, en
caso de activarse el sistema, no se disperse
el gas. Simultáneamente, debe
activarse una alarma para la evacuación
del emplazamiento, pues la emisión de
estos gases provoca la reducción de la
concentración del oxígeno en el aire,
lo que los hace muy peligrosos para las
personas.
ITC-RAT 15. Instalaciones eléctricas de exterior
La instrucción técnica ITC-RAT 15.5
considera equivalentes las instalaciones
sobre apoyo o a pie de apoyo, reconociendo
su existencia. En el caso de los
transformadores en caseta prefabricada
simplificada al pie del apoyo (separada
un máximo de 25 metros del mismo y
con la protección con fusibles sobre el
apoyo), lo que abarata la instalación
enormemente, pues no son precisas celdas
de alta tensión, ya que el equipo de
medida, de acuerdo con el Real Decreto
1164/2001, en su artículo 5.5, puede ser
en baja tensión hasta 50 kVA, o superior,
si el transformador es aéreo, o equivalente.
En el caso que se indica, el equipo
de medida y la aparamenta de maniobra
y protección serán muchísimo más económicos,
aunque la empresa le impute al
cliente unas pérdidas muy importantes
en el transformador y que, normalmente,
son superiores a las reales. Recordemos
que los transformadores situados a pie
de poste en caseta prefabricada son posteriores
a la reglamentación de 1982,
aunque su uso ya se ha generalizado en
los últimos años.
ITC-RAT 19. Instalaciones privadas para conectar a redes de distribución y transporte de energía eléctrica
Respecto al acceso directo de las empresas
distribuidoras de energía eléctrica a
las instalaciones, la instrucción técnica
ITC-RAT 19 conjuga con el artículo
25.5 del Real Decreto 1048/2013, de 27
de diciembre, por el que se establece la
metodología para el cálculo de la retribución
de la actividad de distribución
de energía eléctrica, que establece la
obligatoriedad de que la celda, o la posición
de conexión, deberá ser financiada
por el consumidor final y cedida obligatoriamente
a la empresa suministradora
de energía eléctrica. Al titular le resta el
derecho a suscribir un convenio de resarcimiento
frente a terceros por un período
mínimo de 10 años. Esta prescripción
es novedosa. Debe recordarse y
tenerse como principio que el artículo
21 del ya citado Real Decreto 1048/2013
establece el criterio del mínimo coste
como criterio de diseño y ejecución de
las instalaciones. Dicho criterio debe
presidir las actuaciones y exigencias,
tanto del cliente, como del instalador,
de la ingeniería y de la empresa distribuidora
de electricidad.
ITC-RAT 20. Anteproyectos y proyectos
La norma UNE 157001:2014, de criterios
generales para la elaboración formal
de los documentos que constituyen
un proyecto técnico tiene por objeto
plantear, de forma general, un conjunto
de pautas que permitan determinar las
condiciones que deben satisfacer los
proyectos, para que sean conformes al
fin a que están destinados. Esta norma
no es de obligado cumplimiento, sino
que son los distintos reglamentos técnicos,
dentro de cada ámbito de aplicación,
los que indican la obligatoriedad o
no de su aplicación.
La misma norma define las cualidades
de proyecto, indicando lo siguiente:
Los proyectos deberán estar desarrollados
de forma concisa, concreta y con
suficiente amplitud para que queden
determinados todos los aspectos que
interesan al destinatario del mismo, de
tal forma que quien deba desarrollarlo
o materializarlo pueda hacerlo sin necesidad
de solicitar al autor aclaraciones,
sin las cuales no sea posible su interpretación.
La ITC-RAT 20, Anteproyectos y
Proyectos, indica literalmente: Para la
elaboración de los anteproyectos y proyectos se
utilizarán, como guía, las consideraciones
indicadas en la norma UNE 157001.
A pesar de no tratarse de una norma
de obligado cumplimiento, los autores
consideran un acierto que se haya adoptado
como referente una norma que
tiene como objetivo vigilar por la claridad
y el orden en la redacción de un
proyecto.
La Norma UNE 157001:2014 propone
cuántos, cuáles y en qué orden deben
ubicarse los documentos que componen
un proyecto:
4 Requisitos generales
4.1 Generalidades
…
Todo proyecto debe tener un título que lo
identifique de forma clara e inequívoca. El
proyecto debe constar de la siguiente estructura
documental:
– índice
– Memoria
– Anexos
– Planos
– Pliego de condiciones
– Mediciones
– Presupuesto
Resulta simplemente incomprensible
para los autores que durante el desarrollo
de la ITC-RAT 20 se propongan diferentes
formatos a los indicados por la
Norma UNE 157001:2014. A modo de
ejemplo, se refleja literalmente el apartado
3.2: El Proyecto técnico administrativo
de una instalación eléctrica de alta tensión
constará, en general, al menos de los documentos
siguientes: a) Memoria, b) pliego de
condiciones técnicas, c) planos y d) otros estudios
de aplicación.
Curiosamente, el orden de los documentos
no coincide. Se propone simplemente
que en el reglamento, en el que se
ha decidido adoptar la Norma UNE
157001:2014 para la redacción de proyectos, se sigan los criterios establecidos
en esta norma.
Por otra parte, la instrucción técnica
ITC-RAT 20 introduce la obligatoriedad
de realizar un estudio de los campos
magnéticos. Este extremo es nuevo
e innovador, pues hasta ahora se estudiaban
las interferencias de las líneas de
más de 66 kV y en relación con su afección
al espacio radioeléctrico de las
comunicaciones, pero nunca los campos
magnéticos.
ITC-RAT 21. Instaladores y empresas instaladoras para instalaciones de alta tensión
La instrucción técnica ITC-RAT 21, respecto
a los instaladores, unifica a nivel
nacional las dos categorías que ya introdujo
el Real Decreto 223/2008, de 15 de
febrero, por el que se aprueban el Reglamento
sobre condiciones técnicas y garantías
de seguridad en líneas eléctricas de
alta tensión y sus instrucciones técnicas
complementarias ITC-LAT 01 a 09. Sin
embargo, al no existir prueba de acceso
facilita enormemente el intrusismo y la
falta de profesionalidad. Todos los conocimientos
y medios obligatorios, sin control,
quedan en una simple declaración
de intenciones sin valor real.
Disposición transitoria tercera
La Disposición Transitoria Tercera del
Real Decreto 337/2014, referida a la
regularización administrativa de instalaciones
en explotación en la fecha de
obligado cumplimiento del reglamento,
implementa un sistema de legalización
de instalaciones que por su antigüedad,
destrucción de archivos o por causas de
fuerza mayor, no cuenten con autorización
de puesta en marcha. Este sistema
es novedoso y nunca se ha legislado
sobre él. Solo abarca un plazo de dos
años, desde el 9 de mayo de 2014 hasta
la misma fecha de 2016, pero es algo
que nunca se ha incluido en la legislación
de alta tensión española y permite
legalizar instalaciones, que seguro que
en su momento tuvieron todos los permisos
precisos, pero que en el momento
actual no disponen de ellos. El particular
no los encuentra y la empresa eléctrica,
que debería de disponer de dicha
documentación, no sabe dónde está su
archivo, a pesar de su obligación legal
de conservarlo.
De acuerdo con su disposición final
cuarta, el Real Decreto 337/2014 entró
en vigor el 9 de diciembre de 2014,
pues tiene una vacatio legis de seis
meses desde la fecha de su publicación,
excepto en el caso comentado en el
punto anterior en el que su aplicación
es inmediata.
Conclusiones
El nuevo reglamento de alta tensión
aprobado por Real Decreto 337/2014,
de 9 de mayo, mejora en diversos puntos
el anterior de 1982, refunde en otros
puntos el precitado Real Decreto con
otra normativa sectorial, si bien, en
otros casos, disminuye los valores de
seguridad de protección a las personas
con la consiguiente minoración de los
márgenes de seguridad de las instalaciones.
Los autores consideran que debería
presidir siempre el ánimo del legislador
garantizar al máximo la seguridad de las
personas. En otros casos, utiliza criterios
técnicos que se considera que pueden
ser francamente mejorables, como
ya se ha detallado.
Bibliografía
BOE (1982). Real Decreto 3275/1982, de 12 de
noviembre, sobre Condiciones Técnicas y Garantías
en Centrales Eléctricas y Centros de Transformación.
Disponible en: https://www.boe.es/diario_boe/
txt.php?id=BOE-A-1982-31526. (Consultado el
15 de octubre 2014.)
BOE (1984). Orden de 6 de julio de 1984, por la que
se aprueban las instrucciones técnicas complementarias
del Reglamento sobre Condiciones Técnicas
y Garantías de Seguridad en Centrales Eléctricas,
Subestaciones y Centros de Transformación. Disponible
en: http://www.boe.es/buscar/doc.php?id=
BOE-A-1984-17224. (Consultado el 15 de octubre
2014.)
BOE (1985). Orden de 5 de septiembre de 1985, por
la que se establecen normas administrativas y técnicas
para funcionamiento y conexión a las redes
eléctricas de centrales hidroeléctricas de hasta
5000 KVA y centrales de autogeneración eléctrica.
Disponible en: https://www.boe.es/diario_boe/
txt.php?id=BOE-A-1985-19384. (Consultado el
15 de octubre 2014.)
Real Decreto 1955/2000, de 1 de diciembre, por el
que se regulan las actividades de transporte, distribución,
comercialización, suministro y procedimientos
de autorización de instalaciones de energía
eléctrica. Disponible en: http://www.boe.es/buscar/
doc.php?id=BOE-A-2000-24019. (Consultado
el 15 de octubre 2014.)
BOE (2001). Real Decreto 1164/2001, de 26 de
octubre, por el que se establecen tarifas de acceso
a las redes de transporte y distribución de energía
eléctrica. Disponible en: https://www.boe.es/diario_
boe/ txt.php?id=BOE-A-2001-20850. (Consultado
el 15 de octubre 2014.)
BOE (2001). Real Decreto 223/2008, de 15 de
febrero, por el que se aprueban el Reglamento
sobre condiciones técnicas y garantías de seguridad
en líneas eléctricas de alta tensión y sus instrucciones
técnicas complementarias ITC-LAT 01 a
09. Disponible en: http://www.boe.es/diario_boe/
txt.php?id=BOE-A-2008-5269. (Consultado el 15
de octubre 2014.)
BOE (2013). Ley 21/2013, de 9 de diciembre, de
Evaluación Ambiental de proyectos. Disponible en:
https://www.boe.es/diario_boe/txt.php?id=BOE-A-
2013-12913. (Consultado el 15 de octubre 2014.)
BOE (2013). Ley 24/2013, de 26 diciembre, del Sector
Eléctrico. Disponible en: https://www.boe.es/diario_
boe/txt.php?id=BOE-A-2013-13645. (Consultado
el 15 de octubre 2014.)
BOE (2013). Real Decreto 1048/2013, de 27 de
diciembre, por el que se establece la metodología
para el cálculo de la retribución de la actividad de
distribución de energía eléctrica. Disponible en:
http://www.boe.es/ boe/dias/2013/12/30/pdfs/BOEA-
2013-13767.pdf. (Consultado el 15 de octubre
2014.)
BOE (2014). Real Decreto 337/2014, de 9 de mayo,
por el que se aprueban el Reglamento sobre condiciones
técnicas y garantías de seguridad en instalaciones
eléctricas de alta tensión y sus Instrucciones
técnicas Complementarias ITC-RAT 01 a 23. Disponible
en: https://www.boe.es/diario_boe/
txt.php?id=BOE-A-2014-6084. (Consultado el 15
de octubre 2014.)
BOE (2014). Conflicto positivo de competencia no:
2304/2014. Disponible en: http://www.boe.es/boe/
dias/2014/05/31/pdfs/BOE-A-2014-5735.pdf. (Consultado
el 15 de octubre 2014.)
Rodríguez Espantoso, J.L. y Zapico Gutiérrez, P.
(2012). Cálculo de la intensidad de cortocircuito
con los cambios normativos. Técnica industrial
297;60-68.
Notas
1 Real Decreto 223/2008, de 15 de febrero.
2 Rodríguez Espantoso, J.L. y Zapico Gutiérrez, P.
(2012). Cálculo de la intensidad de cortocircuito
con los cambios normativos. Técnica industrial 297;
60-68.
3 Los números incluidos entre paréntesis corresponden
a la numeración ANSI/IEEE de funciones de
relés de protección.










