Diseño de plataformas modulares para productos
RESUMEN
La fabricación de familias de productos es la clave para el éxito de una empresa en un mercado cada vez más competitivo y en el que cada día es más complicado diferenciarse de sus competidores. Los fundamentos del diseño de una plataforma de productos facilitan la creación de nuevos artículos de alto valor. En su aplicación al diseño de familias de productos mediante técnicas de modularización permite obtener, con pequeños esfuerzos de diseño, productos derivados y diferenciados de forma rápida y eficiente. Los índices de modulidad proporcionan información sobre el nivel de commonality (elementos comunes) de una misma familia. Cada índice permite identificar puntos específicos de diseño y las comparaciones entre índices de commonality proporcionan información sobre la estrategia de influencia de la plataforma. El resultado es una oferta variada para el mercado y que facilita la gestión de distintas generaciones de productos.
Palabras clave
Arquitectura de producto, plataforma de producto, modularización, commonality, dendogramas, diseño industrial.
ABSTRACT
The production of product families is the key to success for a company in an ever more competitive market, a market in which it is becoming more difficult every day for a company to differentiate itself from its competitors. The design fundamentals of a product platform facilitate the creation of new high value articles. When applied to the design of product families through techniques of modularization, they permit, with a small design effort, differentiated derivative products to be obtained rapidly and efficiently. Modularity indexes provide information about the level of commonality (common elements) of the same family. Each index allows the identification of specific design points, and the comparison of commonality indexes provide information about the platform’s strategy of influence. The result is a varied market offer which facilitates the management of different generations of products.
Keywords
Product architecture, product platform, modularization, commonality,
Product architecture, product platform, modularization, commonality, dendograms, industrial design.
Introducción
La mayor parte de las empresas han ido comprobando que el éxito a largo plazo no depende de un único producto, sino de una serie de artículos de alto valor que tengan como objetivo su introducción en mercados en expansión. No obstante, y de una manera a primera vista inexplicable, son numerosas las empresas que van creando los productos de uno en uno, lo cual hace que fracasen una y otra vez, pues no apuestan por lo que es común, lo que es compatible, la estandarización o por la armonía entre diferentes productos o líneas de productos.
Debido al desarrollo de las tecnologías modernas y la globalización, la diferenciación de las empresas respecto a sus competidoras se ha convertido en un objetivo cada vez más difícil de conseguir. Para mantener la ventaja en el mercado, las empresas ofrecen variedad mediante la diferenciación de sus líneas de productos. Una gran variedad de productos mejora las ventas a través de la oferta de más opciones de compra.
Actualmente, bajo la competencia en mercados globalizados, muchas empresas están utilizando familias de productos para incrementar la variedad de la oferta, mejorar la satisfacción del cliente, acortar los plazos de entrega y reducir costes. La clave de una familia de productos exitosa es la plataforma de la que derivada.
Las plataformas de productos facilitan la creación de nuevos productos de alto valor, de forma rápida y económica mediante el uso de módulos estándares y la diferenciación mediante otros. De esta forma, se crea una imagen de marca a la vez que se sacan al mercado gran cantidad de productos a un coste menor, ya que no hay que realizar una y otra vez el proceso de diseño (Aguayo, 2002).
Con el fin de conseguir estos objetivos, es necesario definir una estrategia de plataforma, para, posteriormente, pasar al análisis y, finalmente, al diseño. Para ello, se establecen una serie de etapas por alcanzar, recogidas en la figura 1.
Arquitecura de producto
Las definiciones recogidas en la literatura (Hölttä, 2005) acerca de la arquitectura de producto convergen en el concepto de la ordenación de los elementos del mismo, que constituyen su estructura física y la representación abstracta de sus funciones.
«La arquitectura de producto es una descripción abstracta de las entidades de un sistema (productos), de sus relaciones y de sus combinaciones entre sí, por la cuales estas entidades son organizadas en unos subsistemas físicos o no físicos de mayor complejidad.
En la representación de la arquitectura de un producto podemos encontrar su modelo o representaciones tanto en el dominio físico (componentes y subsistemas) como en el dominio funcional (bloques funcionales del producto). Existen diferentes metodologías para la representación de la arquitectura del producto; unas incluyen ambos dominios y otras sólo el físico o el funcional.
Plataforma de producto
Las investigaciones en el desarrollo de familias de productos basadas en plataformas han sido conducidas por la necesidad de la industria de competir en los mercados globales y de gestionar el problema de la variedad, bajo los desafíos existentes de proveer mejor calidad, de dar precios competitivos y de mejorar la respuesta al mercado, todo ello, bajo la mínima complejidad en fabricación y producción.
La arquitectura de producto y el diseño modular han creado el lecho de las plataformas de producto eficiente. De esta forma, se define la plataforma de producto (Simpson, 2001) como:
«El conjunto común de módulos físicos o no físicos desde los cuales múltiples productos pueden ser derivados en sucesivas generaciones».
En lo que se refiere a los métodos de diseño y desarrollo (Simpson, 2001), propone los siguientes métodos para el diseño de una plataforma de producto:
– Enfoque top-down: una empresa estratégicamente dirige y desarrolla una familia de productos basados en una plataforma de producto y sus derivados.
– Enfoque bottom-up: una empresa rediseña o consolida un grupo de productos distintos, para estandarizar componentes y mejorar, así, economías de escala.
Otra forma de enfocar el desarrollo de plataformas de productos (Simpson, 2001) es a partir de:
– Plataformas basadas en escalas (scale based): son plataformas en las que los productos comparten la funcionalidad, pero están todos a diferentes niveles de ejecución. Sería el caso de motores de una misma tecnología pero distinta potencia.
– Plataformas basadas en módulos (module based): se diseña la plataforma de productos reconfigurables, para que así pueda ser fácilmente modificada y mejorada a través de la adición, sustitución y exclusión de módulos para realizar una familia de productos basada en la modularidad.
Modularidad
Existen diferentes enfoques para definir la modularidad; se toma como referencia la definición dada por Hölttä (Hölttä, 2003):
«Módulo es un bloque constructivo de un sistema más grande que tiene una función específica y unas interrelaciones bien definidas, a través de interfaces».
Los índices sobre modularidad pueden ser usados para obtener información relevante acerca del grado de commonality (elementos comunes) en una familia de productos. Cada índice per-mite a los diseñadores identificar puntos específicos en el diseño (como el número de partes únicas, etcétera) y las comparaciones entre índices de commonality pueden producir información adicional acerca de la estrategia de influencia de la plataforma de producto.
Ventajas e inconvenientes de la modularidad
La modularidad, junto con el enfoque de plataforma, tiene una serie de ventajas, entre las que cabe mencionar:
– Mediante la utilización del mismo módulo en múltiples productos podemos obtener una gran variedad de productos.
– Los multisistemas modulares proporcionan ventajas tales como requerimientos de capital reducidos.
– Los módulos son de gran ayuda en el diseño para reutilización, ya que si están diseñados con interrelaciones bien definidas pueden ser reutilizados en otros diseños.
– La modularidad al final del ciclo de vida de un producto favorece el desensamblado y el reciclado del mismo.
– La modularidad hace a un producto más flexible frente a los posibles cambios.
– Entre los inconvenientes de la modularidad se considera:
a) La modularidad puede conducir a un coste excesivo debido al sobrediseño y la ejecución ineficiente, y demasiados módulos comunes pueden producir una pérdida de la identidad de marca.
b) Los productos mecánicos de elevada potencia, en contraposición a los productos de electrónicos, se verían beneficiados por un diseño integral, si el objetivo es la mejor ejecución técnica. Esto se debe a que un diseño modular es con mucha probabilidad, pero no necesariamente, más grande, pesado y energéticamente menos eficiente que un producto que posee arquitectura integral. Además, estos efectos son difíciles de controlar para los ingenieros de diseño.
Metodología para la creación de una plataforma modular de producto
La metodología que permite la creación de una plataforma de producto se estructura en una serie de fases (Chadrasekaran, 2001), que pasamos a exponer en los siguientes apartados.
Análisis de las necesidades
La primera tarea que desarrollar en la creación de una plataforma es el estudio de las necesidades del consumidor, realizando una observación del segmento del mercado seleccionado acerca de cuáles son, según su criterio, las cualidades que debe tener un producto.
Después de reunir los datos de las necesidades del consumidor, se procede a clasificarlos en necesidades esenciales y distintivas. La hipótesis de las necesidades del consumidor se basa en que éstas pueden ser clasificadas en función de la frecuencia y peso (importancia), en esenciales y distintivas. Para ello, esta hipótesis de formación de plataforma desde el dominio de la necesidad, se desagrega en otras tres:
– H1: basada puramente en la declaración de la frecuencia de las necesidades de los consumidores. Es de esperar que una baja frecuencia conduzca a una plataforma común, mientras que una alta frecuencia conducirá hacia módulos diferenciados.
– H2: basada únicamente en el peso de las necesidades del consumidor. Las necesidades del consumidor de mayor peso conducirán a una plataforma común, mientras que las necesidades del consumidor más ligeras conducirán hacia módulos diferenciados.
– H3: basada en la consideración de la interacción de la frecuencia de las necesidades del consumidor y su peso. Muy valoradas y con baja frecuencia serán las necesidades que nos llevan hacia la plataforma común. Y con escaso peso y de alta frecuencia las que nos conducirán a módulos diferenciados.
Modularización de la arquitectura funcional y física
Se han desarrollado distintas técnicas de modularización de la arquitectura de productos, en atención al dominio funcional de modelado, procesos de toma de decisiones, dominio físico, etc., a partir de las cuales se desarrolla la plataforma de productos. En los siguientes párrafos pasamos a desarrollar alguna de las más importantes.
Heurística del dominio funcional
Este método consiste en la aplicación de tres heurísticas sobre la arquitectura funcional, para identificar módulos a través de la confección previa de un modelo funcional bien refinado (Murlidhar, 2008).
a) Heurística del flujo dominante.
Esta primera heurística examina cada flujo no ramificado de una estructura funcional y agrupa las subfunciones. El flujo viaja a través de las funciones hasta que sale del sistema o es transformado en otro. El conjunto de subfunciones identificadas definirán el módulo de acuerdo con el flujo trazado a lo largo del sistema (figura 2).
b) Heurística del flujo ramificado.
La segunda heurística está referida al flujo ramificado y requiere de la identificación de flujos asociados con las cadenas de funciones paralelas. Cada rama de una cadena de funciones paralelas define un módulo potencial. Éste estará formado por las subfunciones que ensamblan la rama (entendiéndose técnicamente por rama una cadena funcional secuencial). Todos los módulos (uno por rama) deben interactuar con el producto en el punto de ramificación del flujo (figura 3).
c) Heurística de conversión-transmisión.
La tercera heurística está de acuerdo con la funciones de conversión y transformación. Las subfunciones de conversión aceptan un flujo de materia o energía y convierte el flujo en otra forma de material o energía. Una subfunción de conversiones aparece como un flujo A que se convierte en un flujo B. En muchos casos, estas subfunciones de conversión son ya componentes o módulos en sí (figura 4).
Identificación de módulos comunes mediante dendogramas
En este apartado se describe un método cuantitativo para evaluar los elementos comunes modulares. Está basado en la medida de la «distancia», la cual será definida, entre dos módulos distintos y en la agrupación de módulos dentro de un dendograma jerárquico que nos ayudará a decidir qué grupos funcionales son suficientemente similares para ser reemplazados por un módulo común.
Cada tipo de flujo es tratado de forma independiente y combinado al final de la fase de cálculo de la distancia. Esta aproximación supone que todos los tipos de flujos son comparables en una dimensión espacial. Ésta definirá la commonality (elementos comunes), o la falta de ella, para ayudar en la selección de los módulos comunes para las distintas plataformas.
a) Commonality en el dominio funcional.
Para identificar módulos comunes en el dominio funcional, comenzaremos creando estructuras funcionales para cada producto que sea considerado parte de la misma plataforma de familia de productos.
La medida de la distancia es una distancia euclídea n-dimensional basada en los valores de entrada y salida del flujo de las funciones.
Los pasos básicos son los siguientes:
1. Construir estructuras funcionales para todos los productos (figura 5).
2. Enumerar todas las funciones (bloques funcionales) como cajas negras.
m1, m2, m3, … , mN
3. Caracterizar todas las cajas negras en atención a los flujos de entrada y salida (figura 6) con sus unidades dadas por la especificación técnica, los requerimientos de consumidor o por valores de flujos actuales, si es un rediseño de un producto existente.
A la izquierda del bloque funcional se representan las entradas que deberán estar caracterizadas con sus atributos, y a la derecha las salidas que estarán definidas de igual manera que las entradas. El número de entradas y salidas variará en función de las necesidades que satisface el bloque funcional.
4. Revisar las cajas negras de los bloques funcionales para agrupaciones potenciales.
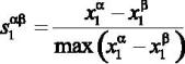
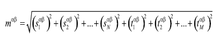
El objetivo es averiguar cuán similares son dos módulos, es decir, cuál es la distancia de uno a otro. Para definir la distancia entre dos módulos (mα y mβ ), se procede a medir la distancia entre las entradas y salidas del bloque funcional.
El algoritmo más efectivo será aquel que incluya la preferencia en las funciones (incluida en el peso de las ecuaciones) de los tipos de flujo, para manipular la naturaleza no aditiva de la diferencia de flujo, así como el valor del crecimiento de flujo. La preferencia de las funciones y sus pesos ha de ser elegida cautelosamente. Para ellos las distancias son divididas entre el máximo de la diferencia de valor de las dos variables.
La distancia entre las entradas xα y xβ es sαβ , donde:
La distancia entre las salidas yα y yβ es tαβ , donde:
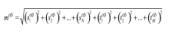
5. Calcular la distancia métrica entre los bloques funcionales o las cajas negras. Se define la seudodistancia entre m y m mediante:
A continuación, definimos que s1 αα = 0 / mαβ ≥ 0, y la matriz de distancias M será:
| m1 | m2 | m3 | m4 | m5 | |
| m1 | 0 | m12 | m13 | m14 | m15 |
| m2 | 0 | m23 | m24 | m25 | |
| m3 | 0 | m34 | m35 | ||
| m4 | 0 | m45 | |||
| m5 | 0 |
Tabla 1. Distancia entre cajas.
Nótese que la matriz M (tabla 1) es simétrica y satisface todas las condiciones para ser una medida euclídea. A partir de la matriz mediante el correspondiente algoritmo se construye el dendograma (figura 7).
6. Construir el dendograma.
Se construye el dendograma comenzando por los dos módulos que tienen la menor distancia entre ellos. Se conectarán en un punto igual a su distancia. Se toma entonces el siguiente par de módulos que no haya sido ensamblado en el dendograma y se conecta el uno con el otro a una distancia igual a su valor dado en la matriz. Se continúa mediante adición de módulos al mismo tiempo que conectamos los grupos de módulos entre sí en el dendograma a su distancia del grupo de módulos que esté más cerca de él. Estos pasos constituyen el algoritmo para la construcción del dendograma.
b) Commonality en el dominio físico.
El algoritmo descrito en el apartado precedente para el dominio funcional también puede ser utilizado en el dominio físico, con unas pequeñas modificaciones. En la aproximación en el dominio físico el producto necesita ser descompuesto al nivel de ensamblaje, en vez de al nivel abstracto o funcional. Las funciones de entrada y salida del dominio funcional son sustituidas por componentes o subensamblajes, los requerimientos de entrada y salida y otros atributos como el peso y el volumen, cuando sea necesario.
Creación de la plataforma de producto
Los elementos que componen una plataforma de producto son los que comparten todos los productos. Además de éstos, existen otros que hacen que cada producto sea distinto entre sí; son elementos o módulos diferenciadores. En la fase de diseño funcional se pretende la búsqueda de bloques funcionales que conformen módulos, tanto de la plataforma (estándares) como diferenciadores, para, posteriormente, trasladar estas soluciones del dominio funcional al dominio físico y realizar el rediseño o diseño de materialización. A través de los datos obtenidos en el marco de análisis se llegará a una posible solución que se concretará en la creación de la plataforma de producto (Tae, 2005). Entre las técnicas para establecer los módulos estándares y de diferenciación se encuentra la matriz de modularización, que determina la configuración de la plataforma y sus módulos, que han de ser evaluados con distintos índices que se agrupan constituyendo distintas métricas.
Evaluación de la plataforma de producto
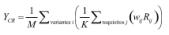
La métrica de satisfacción del usuario es una de las más importantes. Trata de medir el grado de necesidad que se cubriría en función del número de requerimientos, el número de variantes (productos) ofrecidas por la plataforma.
wij = peso de importancia del requeri
miento j para producto i. Rij = calificación para un requerimiento de usuario j para producto i. Escala 1-10.
K = n.º de requerimientos.
M = n.º de variantes.
Ycr = grado de cumplimiento del requerimiento de los consumidores.
Índices de commonality
Los índices están basados en una perspectiva adoptada sobre los componentes, miden fundamentalmente la similitud y diferencia entre éstos dentro de una familia de productos. Estos índices no se centran habitualmente en la arquitectura funcional, suelen estar referidos a los elementos (módulos o piezas) del la arquitectura física. Con relación a los mismos, cabe destacar los siguientes conceptos y procedimientos del cálculo.
a) Piezas únicas, variantes y comunes.
Para la medida de la commonality (elementos comunes) definimos pieza o módulo como el elemento más pequeño que se puede descomponer dentro de un producto, siendo ésta un componente, un módulo o un subensamblaje. Distinguimos entre tres tipos diferentes de piezas o módulos en el árbol que modela la arquitectura de producto:
– Única: es la pieza que sólo se usa en uno de los productos de la familia.
– Variante: es la pieza que tiene la misma función entre algunos o todos los productos de la familia, pero su diseño, estructura y material difieren ligeramente de un producto a otro distintos perteneciente a la familia o portafolio.
– Común: es la pieza que es exactamente la misma compartida por alguno o todos los productos en una familia, línea o portafolio.
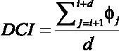
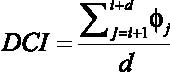
b) Índice del grado de commonality (DCI).
El índice del grado de commonality (DCI) refleja el número promedio de ítems parentales comunes por promedio de distintas piezas.
Φj = número de padres inmediatos que el componente j tiene sobre un con-junto de ítems finales o grados de estructura de producto.
d = número de componentes distintos en el conjunto de ítems. La ecuación (6) nos permite ver los valores más altos y más bajos de DCI:
Cuando DCI = 1 no hay commonality, es decir, ningún ítem está siendo usado por más de un componente en cualquiera de los productos. Cuando DCI = β existe completa commonality.
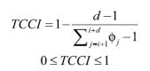
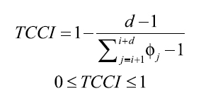
c) Índice de la constante total de la commonality (TCCI).
El índice de la constante total de la commonality (TCCI) es una versión modificada del DCI. Aunque DCI es un índice cardinal (una disminución o un incremento de la commonality no es posible de medir), el TCCI es un índice relativo, que tiene unos límites absolutos.
Donde:
Cuando TCCI = 0, no hay commonality, es decir, ningún ítem está siendo usado por más de un componente en cualquiera de los productos. Cuando TCCI = 1, existe completa commonality.
Caso de estudio
Una vez expuestas de forma sintética las bases teóricas para la creación de una plataforma de productos, pasamos a exponer un caso de estudio derivado de resolver el problema de la formación de una plataforma de productos para una familia de seis cafeteras domésticas.
Perfil del consumidor
Los primeros criterios que se tuvieron en cuenta en el diseño de la plataforma de productos fueron los de la necesidad de satisfacer (dominio de la necesidad), para, posteriormente, trasladarlos al dominio funcional construyendo la arquitectura funcional del producto. Para ello, se elaboraron unos cuestionarios en los que, inicialmente, se le preguntaba a una muestra de la población dentro del segmento del mercado de referencia cuáles creían que eran las necesidades que debía satisfacer una cafetera. Los resultados obtenidos no son suficientemente válidos y, para ello, se hizo una nueva encuesta en la que se pedía que se valorara de 1 a 5 como de importantes creían que eran las necesidades que habían resultado del estudio anterior. Los resultados contrastados del segundo estudio mostraron unas necesidades de plataforma (que han de satisfacer todos los productos) y otras diferenciadoras que quedan recogidas en la figura 8 y la tabla 2.
Arquitectura funcional y física
A partir de la plataforma del dominio de la necesidad se procede al modelado funcional creando la arquitectura funcional del producto (figura 9). Para ello, se utiliza un modelo de cajas negras, las que poseen entradas y unas salidas en forma de flujo. Sobre esta arquitectura se procede a aplicar las heurísticas de modularizacón.
Sobre la arquitectura funcional de la figura 9, se estudia mediante técnicas heurísticas orientadas al flujo dominante, ramificado o de transmisiónconversión. Mediante estas técnicas se procede a agrupar en módulos funcionales las distintas funciones que integran las cafeteras. Para corroborar los resultados, se realizó un estudio más exhaustivo de las funciones. Esta vez se utilizaron dendogramas, que nos muestran una cuantificación de los agrupamientos de la distancia entre funciones, obteniendo el modelo de la figura 10.
Con todos estos datos, se obtienen conclusiones de cuáles eran los posibles módulos funcionales:
Módulo eléctrico, módulo iluminación, módulo de térmico, módulo de giro, módulo de vapor, módulo de líquido, módulo antigoteo, módulo de soporte.
Estos módulos habían de ser contrastados con la arquitectura funcional de las cafeteras iniciales y su viabilidad de lay-out. A tal efecto, se general diferentes lay-outs de los tres productos (figura 11). Este análisis de los módulos funcionales indica que éstos pueden ser independientes del producto y, por tanto, ser propuestos para ser integra-dos en cualquiera de los modelos de cafetera que se deriven en el diseño de materialización. Este criterio es el motor en la búsqueda de módulos físicos, ya que se ha de estudiar cómo pueden satisfacer este criterio las piezas.
Posteriormente, se procede a cotejar las piezas de cada una de las cafeteras buscando la commonality en la arquitectura física de los productos. Las piezas modularizables debido a la intercambiabilidad entre los productos serán aquellas que sean comunes en las distintas cafeteras. En el diseño realizado éstas son:
– Termofusible, conjunto de conexión, apoyos de goma.
Además de las piezas comunes, se observa que a través del rediseño de las piezas actuales hacia unas comunes compatibles para los tres modelos, es posible encontrar los siguientes módulos comunes potenciales:
– Tapa superior, tapa depósito, cuerpo superior, jarra, base y resistencia.
Modularización
En la modularización física y en la funcional se obtienen unos resultados que han de ser contrastados para alcanzar una solución común al objeto del proyecto (tabla 3). Para ello, se realiza un rediseño de las piezas que componen los productos, siempre que lo requieran.
Plataforma de producto
A partir de los estudios precedentes se concluye que la plataforma de producto estará formada por las siguientes piezas (tabla 4), ya compartidas por los productos o rediseñadas para la plataforma.
En la figura 12 quedan recogidos los módulos que constituyen la plataforma y los módulos de derivación, a partir de los cuales se genera toda la variedad requerida por el mercado.
Índice de commonality
Para evaluar los distintos aspectos de la plataforma de producto, se recurre al cálculo del índice de commonality de cada una de las cafeteras diseñadas (figura 13).
Los resultados obtenidos a través del cálculo de los distintos índices nos revelan un alto grado de commonality en todas las nuevas cafeteras, y es especial-mente elevado el de la cafetera expreso con extras.
Bibliografía
Aguayo F, Soltero VM. Metodología del diseño industrial. Ed. Rama, 2002.
Chandrasekaran B. An Inductive Approach To Product Design Based On Modular Product Architecture. MS Thesis, Dept. of Mechanical Engineering. University of Missouri-Rolla, 2001.
Hölttä K. Modular Product Platform Design Doctoral Dissertation. Helsinki. Helsinki University of Technology, 2005.
Hölttä K, Tang V, Seering WP. Modularizing Product Architectures Using Dendrograms. 14th International Conference on Engineering, 2003.
Murlidhar K. «A Function Based and Customer Needs Motivated Conceptual Design Methodology for Design of Product Platform and Product Portfolio». Journal of Engineering Design. Vol. 19, Issue 6 Dec 2008, p. 489-514.
Simpson TW. «Product Platform Design: Method and Application». Research in Engineering Design, Vol. 13, n.º 1, 2001, p. 2-22.
Tae GY. Beiter KA, Kosuke I. Product Platform Development: Considering Product Maturity And Morphology. ASME International Mechanical Engineering Congress and Exposition, November 5-11, 2005, Orlando, Florida, EE UU.
























