Revisión de la potencia eléctrica en baja tensión con los cambios producidos por los vehículos eléctricos
Forecast of low-voltage electrical power with the changes produced by electric vehicles
Dr. Pablo Zapico Gutiérrez (1) y María Zapico Gómez-Collantes (2)
Resumen
El artículo analiza la actualización del cálculo de previsión de potencia eléctrica en edificios, motivada por la ITC-BT-52 (recarga de vehículos eléctricos) y la Directiva UE 2024/1275 (eficiencia energética). Esta nueva normativa incrementa significativamente la potencia prevista al exigir más infraestructura de recarga para vehículos eléctricos. Como solución, se introduce el sistema de protección de línea (SPL), que mediante la gestión de la carga permite moderar este aumento, aunque con la limitación de requerir equipos de un único fabricante. La transposición de la directiva en mayo de 2026 hará obligatoria la actualización de estos cálculos.
Palabras clave: Potencia eléctrica, previsión, instalación eléctrica, vehículo eléctrico y cálculo de potencia.
Abstract
This article analyses the update to the electrical power estimation calculation in buildings, driven by ITC-BT-52 (electric vehicle charging) and EU Directive 2024/1275 (energy efficiency). This new regulation significantly increases the estimated power demand by requiring more electric vehicles charging infrastructure. As a solution, the line protection system is introduced, which through load management allows moderating this increase, albeit with the limitation of requiring equipment from a single manufacturer. The transposition of the directive in May 2026 will make updating these calculations mandatory.
Keywords: Electric power, demand forecast, electrical installation, electric vehicle, power calculation.
Recibido/received: 25/02/2025
Aceptado/accepted: 10/02/2026
1 Jefe de Sección de Energía de la Junta de Castilla y León, en León, colaborador del Departamento de Ingeniería Eléctrica y Electrónica de la Universidad de León, España.
2 École Nationale Supérieure des Ingénieurs en Arts Chimiques et Technologiques (ENSIACET), Toulouse (Francia).
Autor para correspondencia: Dr. Pablo Zapico Gutiérrez, e-mail: di****@*****on.es.
La previsión de potencia eléctrica de una instalación es el pilar sobre el que se fundamenta su desarrollo posterior. Por ello, es importante basarlo en una previsión reglamentaria y coherente con las necesidades reales de la potencia que demandará el suministro, adaptándose a las particularidades de cada caso concreto. La publicación del Real Decreto 842/2002, de 2 de agosto, por el que se aprobó el actual Reglamento electrotécnico para baja tensión, sentó las bases del actual y vigente sistema de cálculo de dicha potencia. Sin embargo, la publicación del Real Decreto 1053/2014, de 12 de diciembre, por el que se aprobó la instrucción técnica complementaria (ITC)-BT-52, sobre recarga de coches eléctricos y la publicación de la Directiva UE 2024/1275, relativa a la eficiencia energética de los edificios, suponen un cambio importante del sistema que llevaba vigente desde el año 2002. De acuerdo con el artículo 35.1 de dicha directiva, el 29 de mayo de 2026 se habrá traspuesto a la legislación española. Por ello, es preciso repasar de nuevo el sistema de cálculo de la previsión de potencia y actualizarlo. La Directiva UE 2024/1275 choca frontalmente con el RD 842/2002, pues este considera renovación de importancia cualquier obra que afecta a más del 50% de la potencia de la instalación, s/ITC-BT-04.3.2. Dicha directiva, en su artículo 2.22 ya considera reforma de importancia la que supere el 25% del valor del edificio o de la superficie de la envolvente. Este criterio contradictorio entre la Directiva 2024/1275 y el Reglamento Electrotécnico para Baja Tensión (RBT) dará problemas. El Reglamento de Instalaciones Térmicas en los Edificios (RITE, R.D. 1027/2007, de 20- VII), sin embargo, ya adopta el criterio del 25% en su artículo 24.11.
La importancia que tiene el cálculo de la potencia eléctrica demandada por una instalación viene dada por varios motivos:
- Constituye el paso previo para calcular las líneas de alimentación de la compañía suministradora y las interiores del suministro.
- Resulta indispensable para dimensionar el centro de transformación del que se alimentará la instalación, si es preceptivo. No hay que olvidar que de acuerdo con el Real Decreto 1048/2013, de 27 de diciembre, en su artículo 25.1, las instalaciones de nueva extensión de red, en baja tensión, de más de 100 Kw, pueden requerir la instalación de un nuevo centro de transformación. Que pagará íntegramente el promotor del edifico y cederá, obligatoriamente, a la empresa distribuidora de la zona.
- Garantiza que mientras se utilicen los receptores normales y hasta la máxima potencia prevista, no se va a producir una caída de tensión superior a la reglamentaria, ni una sobrecarga de la instalación.
- Asegura que los aumentos de potencia, previsibles, no van a obligar a realizar modificaciones en la instalación general del edificio o en la instalación individual del usuario final. La previsión de cargas queda regulada en el artículo 12 del reglamento, en la Instrucción Técnica ITC-BT 10 y en la ITC-BT 52, en el que se detalla la cuestión en lo relativo a la potencia de los suministros en baja tensión. En el articulado se fijan unos criterios muy generales y se remite a las instrucciones técnicas complementarias para normalizar los detalles técnicos de forma exhaustiva. Se trata del único sistema legal y reglamentario válido para realizar el cálculo, y no son admisibles los cálculos efectuados por las empresas distribuidoras, en función de programas de su factura y que no sigan fielmente las normas que se exponen. Conviene realizar la comprobación caso a caso.
A continuación, se analiza al detalle la normativa. Para empezar, hay que ver lo que el reglamento considera lugares de consumo. A continuación, hay que tener en cuenta los coeficientes de simultaneidad que considera el reglamento, para, posteriormente, añadir las cargas de los servicios generales, garajes, locales, cargadores de coches eléctricos, oficinas y los edificios industriales, si proceden.
- a) Lugares de consumo
La ITC-BT 10 del Reglamento considera lugares de consumo a:
- Los edificios destinados principalmente a viviendas.
- Los edificios comerciales o de oficinas.
- Los edificios destinados a una industria específica.
- Los edificios destinados a una concentración de industrias.
- Aparcamientos o estacionamientos dotados de infraestructuras para la recarga de vehículos eléctricos.
Grados de electrificación de las viviendas
La ITC-BT 10 del reglamento incluye dos grados de electrificación de las viviendas, denominados “básico” y “elevado”.
En la tabla 1 se resumen los tipos de electrificación con sus respectivas particularidades en cuanto a superficies y potencias.
El artículo 4 del reglamento establece las tensiones nominales en los parámetros de 230 V y 400 V, en función de si la alimentación es monofásica o trifásica. Al aplicar estos valores de tensión, se puede ver perfectamente que 5.750 w corresponden a 25 A y 9.200 w a 40 A, ambos valores en suministros monofásicos. Estos valores son los mínimos posibles, pero pueden ser superiores. Ello condicionará las secciones de los conductores, no solamente por caída de tensión, sino también por la intensidad máxima admisible de estos. Los grados de electrificación del nuevo reglamento se adaptaban exactamente a los escalones de potencia normalizados de los interruptores de control de potencia (ICP) de las compañías suministradores de energía eléctrica. Esto ha devenido obsoleto con la publicación del Real Decreto Ley 15/2018, de 5 de octubre, que, en su artículo 16, autoriza a contratar, por debajo de 15.000 w, la potencia en escalones de 100 w, mucho más favorable para los usuarios. Las potencias normalizadas tenían su excusa en los ICP y sus escalones de fabricación, pero actualmente con los contadores electrónicos programables, han quedado obsoletas y, además, la curva de limitación de los contadores electrónicos no es tan sensible como la curva de los ICP.
La clasificación de una vivienda en el grado de electrificación elevado se realiza no solo por su superficie construida, sino también en función de que se prevea instalación de calefacción eléctrica, aire acondicionado, electrodomésticos de gran consumo como una secadora, carga de un vehículo eléctrico o si se incorporan o duplican algunos circuitos como se detalla a continuación. Solamente con que se incorpore uno de los elementos de consumo citados o que se duplique uno de los circuitos, la instalación cambia directamente de grado de electrificación básico hacia el de mayor potencia y se trata de un valor mínimo; es la cifra que el proyectista o instalador autorizado debe tener en cuenta para la previsión de cargas y el dimensionamiento de la derivación individual, pero, en función de los consumos previstos, puede ser superior. El usuario final es libre de contratar la potencia que considere, hasta el máximo de diseño del grado de electrificación previsto.

En el caso de que la vivienda disponga de más de 30 puntos de alumbrado el circuito C1 , se desdobla en dos. Este circuito se denomina de iluminación en la tabla 1 de la Instrucción Técnica ITC-BT 25. El segundo circuito creado, que pasa a denominarse C6 , es otro circuito de alumbrado gemelo del C1 . La vivienda, en este caso, pasa directamente al grado de electrificación elevado.
Si tiene más de 20 tomas de corriente de uso general, el circuito se desdobla en dos. El circuito C2 se denomina de tomas de corriente de uso general en la tabla 1 de la Instrucción Técnica ITCBT 25. Este segundo circuito pasa a denominarse C7 y, como en el caso anterior, la vivienda cambia de grado de electrificación.
Cuando la vivienda disponga de un sistema domótico de automatización, gestión de la energía y de seguridad (circuito C11 según la ITC-BT 25.2.3.2) pasa, sin más, al grado de electrificación elevado.
En cualquiera de los casos en que se duplica alguno de los circuitos de alimentación de cocina y horno (circuito C3 ), de distribución interna destinado a lavadora, lavavajillas y termo (circuito C4 ) o de alimentación de cocina y baños (circuito C5 ), la vivienda se considera de electrificación elevada.
Si hay una toma o cargador de vehículo eléctrico (circuito C13), pasa directamente a ser de electrificación elevada, con la potencia mínima que conlleva.
Todo esto se incluye en el documento número 10 de la guía técnica, que redunda en lo regulado por la ITC-BT 25 del nuevo reglamento. Estos supuestos no son más que una trasposición de lo prescrito en el punto 2.3.2 de la ITC-BT 25, en el que se describen los circuitos adicionales de una vivienda de electrificación elevada respecto de otra con un grado de electrificación básico.
Si se conoce el valor de la carga real de los elementos de consumo, se deberá utilizar ese dato, si es mayor que el mínimo teórico. En el caso de viviendas y en función de los consumos reales que haya, se puede aumentar la potencia de la instalación. Se deben añadir para ello más circuitos, siguiendo los criterios básicos de la ITC-BT 25 y los generales de la técnica del sector.
Con respecto a la potencia de un edificio de viviendas, la tabla 1 de la ITC-BT 10 establece el coeficiente de simultaneidad en función del número de viviendas. Pero con la salvedad de que dicha previsión no es aplicable a las viviendas ni edificios con tarifa nocturna donde no hay simultaneidad, pues toda la potencia nocturna (acumuladores y ACS) se conecta a la vez y a la misma hora. No obstante, y como se verá más adelante, la guía técnica de la ITC-BT 52 estudia este tema con mayor profundidad.
Los coeficientes de simultaneidad reglamentarios son de aplicación a todas las instalaciones eléctricas en baja tensión, de acuerdo con el artículo 2 del Real Decreto 842/2002, de 2 de agosto. Esta norma tiene carácter básico y, por ello, regula las bases mínimas de la totalidad de las instalaciones eléctricas en todo el territorio nacional, derogando cualquier norma particular de las empresas suministradoras, aunque hayan sido aprobadas por el Ministerio de Industria o por el órgano competente en dicha materia de la comunidad autónoma correspondiente, en lo que se opongan a ella (Tabla 2).
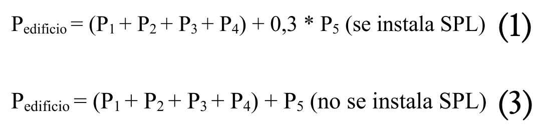
En la ITC-BT 52.4.1 se establece el nuevo sistema de cálculo de la potencia del edificio. La fórmula prevista admite un coeficiente de simultaneidad, unitario sin SPL y de 0,3 con SPL. En la guía de la ITC-BT 52 se aclara que el SPL es un sistema de protección de la línea general de alimentación (LGA), que en la ITC se obvia. Dicha fórmula es:
Donde:
P1 = Carga correspondiente al conjunto de viviendas obtenida como el número de viviendas por el coeficiente de simultaneidad de la tabla 1 de la ITC-BT-10.
P2 = Carga correspondiente a los servicios generales.
P3 = Carga correspondiente a locales comerciales y oficinas.
P4 = Carga correspondiente a los garajes distinta de la recarga del vehículo eléctrico.
P5 = Carga prevista para la recarga del vehículo eléctrico.
La diferencia está en el coeficiente de simultaneidad de 0,3 que se aplica cuando hay SPL y unitario si no lo hay, al término P5, solamente a la parte de la carga correspondiente a los vehículos eléctricos.
El SPL tiene que medir la intensidad en la LGA del edificio y comunicarse con los cargadores de todos los vehículos eléctricos, mediante un sistema de control, un router, un switch (si procede), para concentrar la llegada de los cables UTP, si son más que las salidas del router y cables UTP a cada cargador, de manera que se simultaneen y coordinen los ciclos de recarga, sin sobrepasar nunca la intensidad máxima admisible de diseño. El SPL es un equipo que requiere transformadores toroidales en la entrada del edificio, colocados sobre cada fase de la LGA o sobre las barras de la centralización de contadores. Solamente si, en origen, desde el inicio del edificio, se colocan todos los cargadores de una única marca y con el sistema de comunicaciones del mismo fabricante, se puede instalar y conseguir que funcione. Los protocolos de comunicaciones impiden, de facto, utilizar equipos genéricos o de varios productores. Ello tiene ventajas e inconvenientes. Como ventajas destacan:
- Optimiza la utilización de la instalación del edificio. Recordemos que la LGA está protegida por los fusibles de la caja general de protección, que protegen contra cortocircuitos, pero poco frente a sobrecargas.
- Admite una instalación menos onerosa (descontando el precio del SPL y de la instalación) y de menor potencia. Entre los inconvenientes están los siguientes:
- Obliga a instalar un sistema completo del mismo fabricante; es la única forma de asegurar que las comunicaciones funcionen.
- En caso de ampliaciones se tienen que realizar también con equipos del mismo fabricante y si han pasado unos años, es posible que su compatibilidad ya no esté asegurada.
- Puede retrasar o impedir la carga completa de los vehículos eléctricos, durante el ciclo de carga normal, por exceso de consumo simultáneo.
La Guía Técnica del Ministerio de la ITC-BT 52 estudia este tema con mayor detalle y, aunque no sea de obligado cumplimiento, conviene estudiarla a los efectos de diseño de las instalaciones. Así la guía técnica de aplicación de la ITC-BT 52 limita la potencia del circuito C13 en monofásico a 9.200 w (32 A), para limitar los desequilibrios.
En su anexo 2, que desarrolla la previsión de cargas, introduce detalles que no incluye la ITC-BT 52. Distingue entre potencia diurna y nocturna, y a esta última le aplica un coeficiente de 0,5 que toma de los datos de consumo agregados publicados por REE. En consecuencia, disminuye el valor de P1 en un 50 % y las fórmulas (1) y (3) quedarían de la siguiente forma:
Este coeficiente de 0,5 puede servir para tener una idea, lo más aproximada posible, de las posibilidades de uso de los cargadores, pero en ningún caso para ajustar, a la baja, la potencia prevista del edificio.
Se excluye expresamente el caso de las viviendas con tarifa nocturna (no se les puede aplicar el coeficiente de 0,5). Este sistema, que puede servir como indicativo, puesto que guía técnica no modifica reglamento, ni siquiera tiene rango de legal, no puede utilizarse, en ningún caso, para justificar una previsión de potencia inferior en el edificio. Ni es su función, ni tiene soporte legal.
Hay una particularidad en el Reglamento de Baja Tensión que conviene destacar. El punto 3.1 de la ITC-BT 10 al referirse a la carga de un conjunto de viviendas dice textualmente, refiriéndose a la previsión de cargas:
“Se obtendrá multiplicando la media aritmética de las potencias máximas previstas en cada vivienda por el coeficiente de simultaneidad indicado en la tabla 1 según el número de viviendas.”
Para ilustrar lo anterior, se plantea el caso de un edificio de 20 viviendas: 10 viviendas de 180 m2 , por tanto de electrificación elevada, y otras 10 de 100 m2 y con grado de electrificación básico. La media aritmética de la potencia eléctrica de la totalidad de las viviendas del edificio será:
A esta potencia media hay que aplicarle el coeficiente de simultaneidad de la tabla 1 de la ITC-BT 10, con lo que la potencia total del conjunto de viviendas, no del total del edificio, sería de:
En el supuesto de que todas las viviendas tuviesen el mismo grado de electrificación, la solución es directa. Se multiplica la potencia según su grado de electrificación (o la superior que proceda si hay circuitos suplementarios) por el coeficiente de simultaneidad y se obtiene directamente el resultado del cálculo. Hay que recordar que esto no es aplicable cuando hay calefacción con tarifa nocturna.

Electrificación de los servicios generales de un edificio de viviendas
Los servicios generales del edificio como el portal, las escaleras, los ascensores, los grupos de presión y bombeo, las salas de calor y frío y otros usos generales eléctricos se computarán por su potencia prevista y sin aplicar ningún coeficiente de simultaneidad.
Para estimar la potencia eléctrica de los portales y escaleras, la guía técnica del reglamento, en el caso de que no se conozcan los consumos reales, sugiere una potencia de cálculo, para el alumbrado del portal, de 15 W/m2 si las lámparas son incandescentes y 8 W/m2 si son de fluorescencia. Para las escaleras, estima 7 W/m2 en el caso de incandescencia y 4 W/m2 si el alumbrado es fluorescente. Estos valores se pueden utilizar como indicativos, aunque prácticamente supone el mismo trabajo diseñar la instalación que determinar las superficies y hacer después la estimación de potencia. Tanto el alumbrado incandescente como el fluorescente han quedado obsoletos, los equipos led lo han sustituido todo y son de menor potencia (aproximadamente, el 50% de la potencia fluorescente). De todas maneras, y hasta que el Ministerio actualice, como es su obligación, dichos parámetros, hay que tomar el menor de los valores reglamentarios previstos, aunque el consumo led será inferior.
Electrificación de los garajes
En el reglamento, se establece una potencia mínima por m2 de garaje. En esta norma, para calcular la previsión de potencia de los garajes que tienen ventilación natural, se establece un valor de cálculo mínimo por superficie de 10 W/m2 y de 20 W/m2 para los garajes que precisan ventilación forzada. Se fija también un valor mínimo de 3.450 W, con independencia de la superficie del garaje y del sistema de ventilación, lo que no tiene nada que ver con la potencia de carga de los cargadores de los vehículos eléctricos, que se determina aparte.
La Directiva UE 2024/1275, relativa a la eficiencia energética de los edificios, considera insuficiente el criterio del actual Código Técnico de la Edificación (CTE), de un punto de recarga por cada 40 plazas de garaje. Distingue, en su artículo 14, entre edificios residenciales y no residenciales. Entre estos últimos realiza una nueva clasificación:
- Edificios residenciales nuevos o con renovaciones importantes que, si disponen de más de cinco plazas, deberán de tener:
- Sistemas de conducción de cables para el 100% de las plazas (tubos o bandejas).
- Cables para, al menos, el 50% de las plazas.
- Al menos un punto de recarga para cada cinco plazas y si el edificio es de oficinas, un punto por cada dos plazas.
- Edificios no residenciales existentes:
- Sistemas de conducción de cables para al menos el 50% de las plazas.
- Al menos un punto de recarga por cada 10 plazas.
- Si el edificio es de uso residencial nuevo o con una renovación importante y tiene más de tres plazas, se instalarán:
- Sistemas de conducción de cables para el 100% de las plazas.
- Cables para, al menos, el 50% de las plazas.
- Al menos un punto de recarga (solo en nuevos edificios).
La situación actual es que el RD 450/2022 (CTE) solo prescribe disponer de sistema de conducción de cables para el 100% de las plazas, sin cableado. Pero a este criterio le queda, como mucho, hasta mayo de 2026.
Electrificación de locales comerciales y de oficinas
Para locales comerciales y oficinas se toman 100 W/m2, con un mínimo de 3.450 w por local (independientemente de su superficie) y un coeficiente de simultaneidad unitario.
Electrificación en edificios industriales
En el reglamento, la carga de los edificios destinados a industrias o a concentración de industrias se toma con un valor de 125 W/m2 de la norma anterior. Se establece, además, una potencia mínima de 10.350 W por local, independientemente de la superficie de la industria. Dado que el reglamento es de mínimos, se considera que la citada potencia es la más baja posible, independientemente de que el consumo real pueda ser inferior. Esta potencia es la que se debe utilizar para dimensionar la instalación, su acometida y la red de baja tensión, a no ser que se conozca la potencia real y sea superior o la superficie del local supere los 82,8 m2, en cuyo caso el cálculo por área arroja un resultado mayor.
Una vez expuestos los datos de partida y los detalles de la reglamentación vigente, se realizan una serie de casos prácticos. Se han ordenado de la letra A a la E y corresponden a un grupo de naves industriales, edificios de viviendas de electrificación elevada y media o básica, un edificio de oficinas y otro destinado a la concentración de industrias, respectivamente. En cada apartado se presentan tablas, una según el reglamento de 2002, otra que combina el reglamento anterior con la Directiva 2024/1275 y una última según la guía técnica de la ITC-BT 52, de manera que se puedan apreciar claramente las diferencias.
A) Conjunto de naves industriales
Como primer supuesto, se plantea la previsión de potencia de un grupo de naves industriales que cuentan con un grupo de presión común que les suministra agua potable, un grupo de bombeo de agua común para todas las naves, un alumbrado exterior de la calle particular donde se encuentran y unos cargadores obligatorios ubicados en la vía pública.
La potencia será la que se expresa en la tabla 3. Aunque las naves no están dotadas inicialmente de garajes, hay que tener en cuenta, al desarrollar el suelo industrial y sus espacios comunes, el Real Decreto Ley 29/2021, de 21 de diciembre, que en su artículo 4 obliga a todos los estacionamientos existentes, con más de 20 plazas, a disponer una estación de recarga cada 40 aparcamientos, o fracción. Suponiendo unas 20 plazas de aparcamiento por nave y contando con ocho naves, salen cuatro cargadores por ubicar en la vía pública. La siguiente pregunta es, ¿de qué potencia? La potencia de cada cargador y su simultaneidad no están detalladas en la ITC-BT 52. Solamente prescribe que utilicen los esquemas de carga 3 o 4. Sin embargo, el mínimo valor prudente que se puede tomar es variable. Reglamentariamente, cumpliría con un mínimo de 2.300 w, potencia muy adecuada para cargar un patinete eléctrico, o una moto eléctrica equivalente y la mínima posible para conectar un coche híbrido enchufable (los fabricantes recomiendan unos 7 Kw). Con un coche eléctrico puro no hay casi ni para empezar a recargar. Los cargadores normalizados que se venden para sistemas domésticos son de 16 y 32 A (3.680 y 7.360 w). También se denominan modos 1 y 2, s/UNE-HD 60364- 7-722.3 puntos 3 y 4. Si se utilizan para carga particular, sin SPL, no es necesario un cable de datos. Si se ubican en edificios de oficinas, industrias, centros comerciales o similares, hay que comunicar cada cargador mediante un cable UTP conectado a un router, switch y un SPL, que supone unos 600 $ + IVA adicional. Lo normal es que los cargadores se configuren como TPV o Electromaps y para cualquiera de las dos opciones es preciso disponer de datos.
Para ver la potencia media de los cargadores que se instalan en las calles, se ha tomado el listado de cargadores autorizados en la provincia de León. El resultado es una media de potencia de cada equipo de 57,93 Kw y su distribución se incluye al pie en la figura 1. Si se toman estos valores como indicativos, cada cargador de la calle debería de ser de unos 50 Kw. Con un valor muy inferior se cumpliría la normativa, pero no sería real. Por ello se asume el valor de 50 Kw por equipo para que sea operativo.
Para estimar la potencia de una bomba se puede aplicar la siguiente fórmula:
Donde:
P = Potencia de la bomba en kW.
C = Constante aproximadamente igual a 8 (incluye g [9,81 m/s2] y los rendimientos de motor, bomba, cables, etc.).
Q = Caudal en m3 /s.
H = Altura manométrica en metros de columna de agua (si se tiene el valor de la presión en kg/cm2 hay que convertirlo en metros de columna de agua, 1 kg/cm2 % 10 metros de columna de agua).
De esta forma, se puede estimar la potencia de la bomba con una precisión suficiente, a nivel de previsión de potencia eléctrica.
B) Edificio de viviendas de electrificación elevada
Como segundo supuesto, se calcula la previsión de carga de un edificio de viviendas de electrificación elevada y dotado naturalmente de los demás servicios comunes, como ascensor, locales comerciales, portal, escaleras, garaje, sala de calderas y grupos de presión y bombeo. La potencia de los locales se calcula aplicando los valores máximos por superficie. La de las viviendas en función de su grado de electrificación (que también depende de la superficie) y de los coeficientes de simultaneidad reglamentarios. En el caso de portales y grupos de elevación y bombeo, se han tomado los valores de carga real para uniformizar la comparación.
Hay que recordar también que de acuerdo con la ITC-BT-52.2.3.2 párrafo 10º, cada cinco circuitos se protegerán mediante un interruptor diferencial diferente y el circuito C13 de recarga de vehículo eléctrico se protegerá con un relé diferencial independiente (s/ITCBT-25.2.3.2) de clase A, comúnmente llamados superinmunizados o protegidos contra disparos intempestivos por armónicos, corrientes pulsantes, etc., e, incluso, considera la posibilidad de que sea de rearme automático. El único problema es su precio y si, además, es rearmable es todavía más caro (unos 500 $). Dicho circuito se protegerá aguas arriba mediante un interruptor automático de curva C (s/ITC-BT-52.6.3).
Para estimar la potencia de los ascensores se puede acudir, de manera indicativa, a la NTE-ITA, teniendo en cuenta que en un edificio de viviendas la capacidad típica es de cinco personas y la velocidad no suele superar 1 m/s, por lo que la potencia del ascensor rara vez excede los 11,5 kW. Las potencias y velocidades más usuales se pueden ver en la tabla 8. Véase la tabla 6.
Se ha añadido, en las tablas 4 y 5, una columna a la derecha, en la que se calcula la potencia según el método expuesto en la guía técnica de la ITC-BT 52. Como se puede ver, aplicando dicho cálculo, la potencia es inferior a la estipulada en el reglamento. Este valor puede ser útil para disponer de una potencia de carga nocturna indicativa mayor. En ningún caso se puede utilizar para minorar la potencia total prevista para el edificio.
La diferencia está en el número de cargadores previstos, que en función del CTE es de uno y, sin embargo, de acuerdo con la Directiva UE 2024/1275 es de cinco, como mínimo.
C) Edificio de viviendas de electrificación media o básica
Se producen muy pocas diferencias entre los cálculos realizados de una y otra forma, principalmente a causa de los redondeos de potencia de las viviendas y a la mayor carga del garaje (Tabla 5).
La diferencia está en el número de cargadores previstos, que, en función del CTE, es de uno y, sin embargo, de acuerdo con la Directiva UE 2024/1275, es de cinco, como mínimo.
D) Edificio de oficinas
Para calcular la potencia de los ascensores se puede recurrir de nuevo a la NTE-ITA. La potencia según que el número de personas sea de 8 o 15 puede llegar a 18,5 o 29,5 kW o incluso más en casos aislados. Los ascensores de este tipo de edificios tienen más capacidad, suelen ser más rápidos y su número de maniobras es mucho mayor, por lo que su potencia es más elevada.
Para facilitar el cálculo de la potencia de los ascensores, se incluyen en la tabla 6 parte de los datos de la norma tecnológica de la edificación NTEITA. Es muy raro encontrar ascensores de tipo superior al ITA-4 en edificios de viviendas donde normalmente se instalan los tipos 1 y 2. Los ascensores de tipos superiores son más frecuentes en los edificios de oficinas o centros comerciales (Tabla 7).
E) Construcción destinada a la concentración de industrias
Las diferencias entre los resultados obtenidos obedecen a la mayor potencia prevista para los cargadores. La diferencia está en el número de cargadores previstos. De acuerdo con el CTE, se colocarán dos y en función de la Directiva UE 2024/1275 es de 25, como mínimo, lo que incrementa mucho la potencia del edificio. Si se coloca un SPL, la potencia es un poco superior, pero no tanto. Probablemente compense la inversión (Tabla 8). Todos estos cálculos pueden arrojar un valor de potencia que, al solicitársela a la compañía distribuidora de la zona, la deniegue por ser muy elevada. En los últimos meses, estas empresas han denegado multitud de solicitudes, alegando falta de potencia o de capacidad en la red, Sin embargo, queda una última solución: aplicar el cálculo de potencia de las normas particulares de las propias empresas distribuidoras, aprobadas por el Ministerio de Industria y disponibles en la web. Dicho cálculo viene a dividir entre dos el cálculo anterior y es la potencia que realmente implementan en sus redes, aunque al promotor le cobren otra diferente. De momento, es la última solución posible ante el monopolio territorial.
CONCLUSIONES
El sistema de cálculo de la previsión de la potencia eléctrica de los nuevos suministros se ha modificado para adaptarlo a las necesidades de los vehículos eléctricos. La potencia de los edificios aumenta considerablemente con la obligatoriedad de colocar los cargadores de los vehículos eléctricos. Sin embargo, si se instala un SPL, dicha potencia prevista se mueve en unos valores mucho más contenidos, aun a pesar de que la instalación será más compleja. La instalación de un SPL obliga a montar un sistema completo del mismo fabricante; es la única forma de asegurar que las comunicaciones funcionen. En caso de ampliaciones, se tienen que realizar también con equipos del mismo productor y, si han pasado unos años, su compatibilidad ya no está asegurada. El sistema de reparto del SPL puede retrasar o impedir la carga completa de los vehículos eléctricos durante el ciclo de carga normal, por exceso de consumo simultáneo. No se puede pretender modificar una ITC mediante una guía técnica; esa no es su finalidad. Se pueden utilizar las normas particulares, aprobadas por el Ministerio de Industria, de las empresas distribuidoras, para minorar la potencia total del suministro.
BIBLIOGRAFÍA
Guía Técnica de aplicación del Reglamento Electrotécnico para Baja Tensión, publicada por el Ministerio de Industria y Turismo. https://industria.gob.es/CalidadIndustrial/seguridadindustrial/ instalacionesindustriales/bajatension/Paginas/guia-tecnicaaplicacion.aspx
Llorente Anton, M. Comentarios al Reglamento Electrotécnico para Baja Tensión. Profepro, Madrid; 2002.
Orden del Ministerio de la Vivienda de 21 de marzo de 1973, por la que se aprueba la Norma Tecnológica de la Edificación sobre instalaciones de transporte, ascensores, NTE-ITA (BOE 31- III-1973).
Prysmian Cables Spain SLU. El libro blanco de la instalación. Manual técnico y práctico de cables y accesorios. Baja tensión. Barcelona; 2022.
Fuentes normativas
Directiva (UE) 2024/1275 del Parlamento Europeo y del Consejo de 24 de abril de 2024 relativa a la e!ciencia energética de los edificios (refundición, DOUE 1275, de 8 de mayo, ref. DOUE-L-2024-80664).
Ley 19/2009, de 23 de noviembre, de medidas de fomento y agilización procesal del alquiler y de la e!ciencia energética de los edificios.
Ministerio de Industria y Turismo. Guía técnica de aplicación de la ITC-BT 52, edición septiembre 2024, revisión 2.
Norma UNE 60364.
Real Decreto 1027/2007, de 20 de julio, por el que se aprueba el Reglamento de Instalaciones Térmicas en los Edificios.
Real Decreto 1048/2013, de 27 de diciembre, por el que se establece la metodología para el cálculo de la retribución de la actividad de distribución de energía eléctrica.
Real Decreto 1053/2014, de 12 de diciembre, por el que se aprueba una nueva Instrucción Técnica Complementaria (ITC) BT 52 «Instalaciones con fines especiales. Infraestructura para la recarga de vehículos eléctricos», del Reglamento electrotécnico para baja tensión, aprobado por Real Decreto 842/2002, de 2 de agosto, y se modifican otras instrucciones técnicas complementarias del mismo.
Real Decreto 184/2022, de 8 de marzo, por el que se regula la actividad de prestación de servicios de recarga energética de vehículos eléctricos.
Real Decreto 2177/1996, de 4 de octubre, por el que se aprueba la Norma Básica de la Edificación NBE-CPI/96, Condiciones de protección contra incendios en los edificios.
Real Decreto 314/2006, de 17 de marzo, por el que se aprueba el Código Técnico de la Edi!cación. Real Decreto 450/2022, de 14 de junio, por el que se modi!ca el Código Técnico de la Edificación, aprobado por el Real Decreto 314/2006, de 17 de marzo.
Real Decreto 647/2011, de 9 de mayo, por el que se regula la actividad de gestor de cargas del sistema para la realización de servicios de recarga energética.
Real Decreto 842/2002, de 2 de agosto, por el que se aprueba el Reglamento Electrotécnico para Baja Tensión.
Real Decreto-ley 15/2018, de 5 de octubre, de medidas urgentes para la transición energética y la protección de los consumidores.
Real Decreto-ley 29/2021, de 21 de diciembre, por el que se adoptan medidas urgentes en el ámbito energético para el fomento de la movilidad eléctrica, el autoconsumo y el despliegue de energías renovables.
