Cubiertas ligeras para edificaciones
Este sistema de cubrimiento de edificio permite diseñar con libertad y resolver los problemas de estanquidad, acústicos, térmicos y de resistencia al fuego
La cubierta como parte de una edificación
Este artículo aborda un sistema novedoso de cubrición de edificios mediante una cubierta ligera de constitución metálica con vocación especial para salvar grandes luces.
La concepción de una edificación, y con ello su cubierta, adquiere con este sistema una serie de ventajas de diseño, utilidad y coste que lo hacen, por su versatilidad y sencillez, interesante herramienta de trabajo para los proyectistas.
Descripción general
El sistema se desarrolla en base a chapas metálicas de una sola pieza, capaces de desempeñar simultáneamente las funciones de estructura y de cubierta.
Las chapas son diseñadas y calculadas recurriendo a un programa de cálculo automático adaptado para microcomputador usando el método de los elementos finitos.
Las chapas que conforman la cubierta pueden tener eje longitudinal rectilíneo o curvilíneo, siendo ésta la forma más apropiada cuando se pretende vencer grandes vanos.
Las cubiertas están constituidas por la yuxtaposición de chapas paralelas unidas entre sí mecánicamente mediante tornillos. En sus extremos se fijan a la estructura de soporte del edificio a través de perfiles de acero donde son incorporados los aparejos de apoyo articulados de modo que se constituye una estructura isostática (ver figura 1). La fijación de las chapas al sistema de apoyo es hecha mediante pares de tornillos roscados que presionan pequeñas chapas de acero con junta de pvc incluida, atrito(ver figura 2). Cuando la cubierta es arqueada el conjunto se complementa con tirantes de acero tensado, horizontales e inclinados, como sistema de seguridad para absorber esfuerzos excesivos debidos a la acción del viento.
Elementos constituyentes
Las chapas pueden ser de sección omega o trapezoidal. Sus características son las siguientes:
Campo de aplicación
Este sistema de cubiertas está especial-mente ideado para edificios industriales, polideportivos o agrícolas, pudiéndose también emplear para cubiertas de edificios arquitectónicamente diversos, como escolares, de ocio e incluso viviendas.
Las cubiertas basadas en chapas metálicas de pequeño espesor permiten aligerar las estructuras convencionales de los revestimientos verticales, por las propias condiciones de diseño, siendo aptas para desempeñar el papel de estructura y cubierta al mismo tiempo, sin recurrir a estructuras complementarias.
Los límites estructurales a considerar para la utilización de las chapas en cubiertas planas de eje rectilíneo se de finen más adelante en el apartado correspondiente a las condiciones de eje cución de los proyectos, y están condicionadas por la propia geometría del elemento, en que el espesor de la chapa apenas es variable. En las cubiertas en arco, el desempeño estructural varía en función del espesor de la chapa, su radio de curvatura y de la sección de los tirantes.
El comportamiento térmico, acústico y ante incendios deberá ser considerado en cada proyecto mediante la aplicación de los elementos de protección complementarios adecuados a cada caso, según el uso o destino del edificio.
Proyecto: análisis estructural
Cubiertas planas
Las cubiertas de eje rectilíneo son analizadas como vigas simplemente apoyadas o continuas asimilando la estructura a un conjunto de cascadas individuales unidas en paralelo. Se prescinde así del efecto bidimensional de la estructura, el cual sólo tendrá importancia en el caso de la aplicación de fuerzas asimétricas en la cubierta como puede ser el caso de la suspensión de cargas en apoyos puntuales. En estos casos el modelo simplificado propuesto sólo se mantendrá válido cuando se prevean dispositivos que aseguren una eficaz redistribución de los esfuerzos. Tales dispositivos podrían estar constituidos por barras rígidas (perfiles) interligando las chapas adyacentes, dos al menos para cada lado del punto de aplicación de las referidas cargas concentradas.
De otro modo, deberá ser analizado el comportamiento de la estructura teniendo en cuenta la asimetría de las fuerzas aplicadas, considerando entonces una estructura compleja constituida por la unión de las chapas entre sí. La estructura debe ser convenientemente analizada haciéndose su discretización en elementos finitos de la chapa, con formas poligonales que se aproximen a la geometría real. En general se considerarán las cuatro combinaciones de:
1. Sobrecarga, 2. Nieve, 3. Viento de succión y 4. Vientos descendentes, sin pre-esfuerzo.
Cubiertas en arco
En las cubiertas de eje curvilíneo, el análisis estructural es siempre más complejo que en las cubiertas planas analizadas anteriormente, debido sobre todo al efecto del pre-esfuerzo.
En primer lugar, se procede en los casos corrientes al estudio de un arco atirantado representativo de la estructura, admitiéndose que todas las chapas de la cubierta se deforman igualmente. El arco es discretizado siguiendo un polígono de 10 lados, después de verificar que no es necesario proceder a una discretización más fina (Las diferencias en términos de esfuerzos y desplazamientos entre estructuras en 10 y 40 elementos son inferiores al 3%).
El análisis de esta estructura es realizado para la totalidad de las acciones en juego, con excepción del pre-esfuerzo todavía desconocido haciéndose las respectivas combinaciones siguientes:
Combinación 1
Sd= 1,5 SGk+ 1,5 SQk
Combinación 2
Sd= 1,5 SGk+ 1,5 SSk
Combinación 3
Sd= 1,0 SGk+ 1,5 SWk
Combinación 4
Sd= 1,5 SGk+ 1,5 SWk
(El coeficiente de mayoración del pre-esfuerzo será de 1,0 o 1,2.)
Se determina entonces el preesfuerzo, con una fuerza igual a la fuerza de compresión instalada en el tirante con la hipótesis más desfavorable de combinación de acciones (con coeficientes de mayoración unitarios).
A continuación se analiza de nuevo la estructura para la acción del pre-esfuerzo antes calculado (pre-esfuerzo final); final-mente, se reformulan las combinaciones de acciones de forma que se tengan en cuenta los esfuerzos del pre-esfuerzo.
Como resultado final del análisis estructural, realizado con ordenador usando un programa de análisis estático, se obtienen los esfuerzos provenientes de las diversas combinaciones de acciones y se seleccionan las más desfavorables teniendo presente la verificación de seguridad a la rotura de la estructura analizada.
Se obtienen también las reacciones en el apoyo necesarias para el dimensionado de los aparejos de apoyo y de los respectivos accesorios: tornillos, tuercas y arandelas.
En lo referente a los desplazamientos estructurales, importa destacar que son relevantes los desplazamientos horizontales máximos en el apoyo, y los desplazamientos verticales máximos de las chapas de cubierta, que dan una idea de la viabilidad de suspensión de cargas (aparatos de iluminación o de ventilación, conductos. etc.).
Verificación de seguridad y dimensionado
Verificación de seguridad en relación con el estado límite de rotura
Las chapas de cubierta están sujetas a esfuerzos de flexión simple y compuesta, según se trate de estructuras planas o en arco. En este caso, ocurren también situaciones de flexión con compresión o con tracción. Cuando se trate de chapas comprimidas, habrá que proceder con la verificación de seguridad en relación con su inestabilidad, lo cual será tratado en un apartado específico.
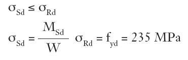
La verificación de seguridad de elementos a flexión simple es hecha de acuerdo con:
Tirantes de acero de alta resistencia
Se trata de elementos exclusivamente traccionados en los que la verificación de la seguridad se debe hacer para dos fases distintas.
Una primera verificación se debe hacer para la fase de aplicación del tensionamiento previsto, correspondiente a lo que se denomina como pre-esfuerzo en origen, o sea, el valor de la fuerza ejercida en el tirante, junto con el dispositivo de aplicación de la fuerza y en el momento de aplicación de la fuerza y en el momento de quitar la aplicación.
Una segunda verificación será realizada teniendo en cuenta el pre-esfuerzo final, obtenido a partir del pre-esfuerzo en origen, deducidas las perdidas instantáneas y diferidas.
En tal caso será:
Apoyos
Apoyos son dimensionados para las fuerzas máximas de tracción, compresión y corte, teniendo en cuenta el mecanismo de transmisión de esfuerzos de las chapas de cubierta a los apoyos.
Tornillos
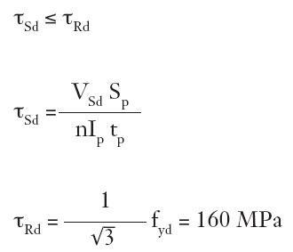
En primer lugar, se verifica la seguridad de los tornillos de unión entre las chapas de cubierta y corte, cuya seguridad se determina relativamente a través de los criterios conforme a los reglamentos:
Siendo V el valor del cálculo del esfuerzo de corte máximo en el apoyo, n = 2 indica el número de tornillos por aparejo de apoyos, indica el valor de cálculo de la resistencia al corte del acero del tornillo, Sp el momento estático de la sección superior del eje de referencia, Ip su momento de inercia y tp la longitud de la sección siguiente al eje de referencia.
Se verifica, además, la seguridad en relación con la tracción inducida por las combinaciones de las acciones que produzcan fuerzas ascendentes en la cubierta, correspondiendo a la acción del viento en las cubiertas poco inclinadas.
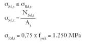
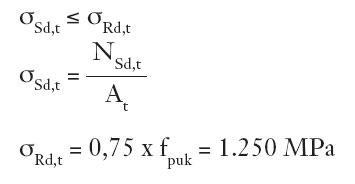
Así, la sección de cada tornillo será determinada por:
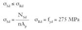
en que NSd representa el valor de cálculo del esfuerzo de tracción máximo en el apoyo , n = 2, o el número de tornillos en ese apoyo, A el área útil de la sección transversal del tornillo, sSd el valor de cálculo de la tensión de la tracción actuante y sRd el valor de cálculo de la resistencia a tracción del acero del tornillo
Uniones entre los caballetes y la estructura de soporte
Según sea la estructura soporte de acero o de hormigón, armado o prefabricado, tendremos que analizar la unión de la siguiente forma:
a) Unión del aparejo de apoyo a perfil metálico.
Puede ser atornillada o soldada. En el primer caso será suficiente garantizar que los tornillos tengan una sección total por lo menos igual a la de los tornillos que hacen la unión entra la chapa de la cubierta y los aparejos de apoyo.
En el segundo caso, se verificarán los cordones de soldadura (cordones en ángulo), en lo que se refiere a su espesor y longitud, de acuerdo con lo establecido en el Reglamento de Estructuras de Acero para Edificios, atendiendo a los esfuerzos en juego (tracción y corte).
b) Unión del aparejo de apoyo a estructura de hormigón.
Esta unión puede ser directa, a través de un elemento intermedio, constituido por un perfil de acero anclado en el hormigón en su ejecución o fijado después mediante tornillos sobre tacos de alta resistencia.
En cualquier caso, la unión a la estructura de soporte debe realizarse con elementos que sean de sección por lo menos igual que la de los tornillos de unión de la chapa a los aparejos de apoyo.
Uniones y accesorios de los tirantes
La verificación de seguridad a rotura de los tirantes debe ser complementada por una verificación idéntica aplicada a sus accesorios y uniones.
Así, deberá garantizarse que el tensor pueda resistir las fuerzas de tracción aplicadas en el tirante, con el siguiente criterio: el tensor deberá asegurar la transmisión de fuerzas compatibles con la resistencia del tirante, o sea, no pudiendo estar condicionada la rotura del sistema por el tensor.
Este mismo criterio se seguirá para la verificación de seguridad de las uniones del tirante a los aparejos de apoyo; una vez éstas sean obtenidas por valores en forma de lazo, atornilladas o soldadas a los aparejos de apoyo, simplemente asegurar los niveles de resistencia a la tracción y a corte, haciendo variar el diámetro de aquellos valores en función de la fuerza de tracción en el tirante. En principio será suficiente seguir el criterio de utilizar en los tensores y en las uniones aceros de la misma clase de resistencia con el mismo diámetro útil.
La fijación de los cables del tirante a los tensores y a los lazos de “anclaje” se hace a través de tres grapas de acero como mínimo. La fuerza de aprieto de las grapas no debe permitir el deslizamiento de los cables ni la rotura por corte de los mismos.
Contravientos
Tratándose de elementos que no tienen función determinante en el comportamiento normal de las estructuras, es decir, que son elementos constructivos que constituyen un suplemento de seguridad a tratar de describir, explorar en situaciones excepcionales no es dimensionado.
Es importante asegurar la coherencia entre los diferentes elementos que constituyen los contravientos y los respectivos accesorios.
Los contravientos, formados por cables de acero de alta resistencia, de 8, 10 o 12 mm de diámetro nominal, soportan determinados esfuerzos máximos de tracción que deberán ser utilizados para el dimensionamiento, caso a caso, de los restantes elementos (tenso-res y uniones).
Verificación de la seguridad en relación con el estado límite de la curvatura
La verificación de la seguridad en relación con la curvatura, es realizada a través de la aplicación de un criterio específico del estudio de la inestabilidad de los arcos metálicos, a partir del cual se determina la carga máxima, uniformemente distribuida, que la estructura puede soportar sin que se verifique su inestabilidad.
Se verifica que la inestabilidad se producirá siempre por bifurcación, a la carga “p” dada por:
A la que corresponderá un valor característico (de servicio):
En que E = 2,06 x 105 Mpa representa el módulo de elasticidad del acero de la chapa, I el momento de inercia de la sección, h la flecha del arco, l la luz del vano y r el radio de giro de la sección.
La aplicación de este criterio, en función de h y de l, conduce a valores de pk, (carga máxima uniformemente distribuida) que la cubierta podrá soportar sin curvar.
Verificación de la seguridad en relación con los estados límite de deformación
En lo referente al desplazamiento horizontal del apoyo, se verifica que las máximas amplitudes resultan de las acciones combinadas de las cargas permanentes y viento (desplazamiento hacia el interior del edificio) y de las cargas permanentes y sobrecargas de nieve (hacia el exterior del edificio).
Respecto a los desplazamientos máximos verticales de la cubierta (generalmente en la mitad del vano), bastará, en general, considerar un estado límite de corta duración (combinaciones simples de las acciones referidas) con coeficientes de combinación unitarios y definido por valor de la flecha, según la fórmula siguiente, en función del vano, l :
Transporte y aplicación en obra
El transporte de las piezas, una vez perfiladas en factoría, debe hacerse con camiones especialmente preparados mediante una estructura prevista con caballetes para el apoyo de las chapas.
El montaje de las mismas se realiza con autogrúa desde el propio camión a la estructura portante previamente preparada de los aparejos de apoyo.
Una vez fijadas a los apoyos, se pro-cede a la unión lateral entre las chapas mediante tornillos autorroscantes o con tuerca según el caso, quedando final-mente una superficie curva totalmente homogénea, como la que se indica en el esquema siguiente:
Las propiedades más importantes de este sistema de cubiertas son las siguientes:
-Rapidez y sencillez de montaje.
-Versatilidad de aplicaciones por su diseño.
-Estanquidad total al aire y agua.
-Posibilidad de aislamiento térmico y acústico.
-Resistencia al fuengo ensayada RF 30.
-Cubrición hasta luces máximas de 31,00 metros sin estructura.
-Cálculo estructural de acuerdo con CTE y E3.


