Ingeniería Kansei para un diseño de productos centrado en los usuarios
Consideración de los aspectos funcionales, sensoriales y semióticos en la concepción de un producto. Aplicación al caso de accesorios para cuarto de aseo
Introducción
El escenario económico actual se caracteriza por la alta competencia que existe entre las empresas del mercado. Por ello, es cada vez más común que se utilicen técnicas novedosas de diseño que se centran en investigar las necesidades del usuario para trasladarlas a los atributos del producto a diseñar, y cumplir las expectativas y deseos esperados, consiguiendo las empresas un reclamo para captar clientes, incrementando su nivel de competitividad 1. Para conseguir esto, existen diversos métodos, algunos de ellos basados en el diferencial semántico (DS). El DS es considerado como un instrumento para analizar los adjetivos que el usuario emplea para transmitir las emociones y los sentimientos que le provoca la utilización del producto. Junto al diferencial semántico, existen otros enfoques del diseño de producto basados en las expectativas y deseos de los clientes en base a estudios previos. Entre estos métodos2 se encuentran el método Kano, la ingeniería Kansei y el DS
El diferencial semántico
El diferencial semántico (DS)2es un instrumento creado por el investigador social Charles Osgood (1957) y un grupo de colaboradores. Osgood se ve influido por el conductismo, centrándose en el estudio de las actitudes por medio del lenguaje, del cual destaca dos significados particulares:
1. Significado denotativo: El significado tal cual lo define un diccionario.
2. Significado connotativo: El significado que para cada persona tiene un objeto. Es el significado que interesa evaluar en la técnica de diferenciales semánticos.
El objetivo, entonces, de esta técnica es obtener datos cuantitativos que permitan alcanzar una medida objetiva del significado psicológico que para el sujeto suponen una serie de conceptos. El diferencial semántico no aporta información sobre el significado del objeto, sino sobre las emociones que genera. El procedimiento de investigación del DS puede esbozarse como sigue: se le presenta a un usuario un objeto o una imagen y se le pide que dé una opinión subjetiva del mismo3. Este juicio debe darse de acuerdo a una escala con dos adjetivos opuestos, y se les pide a los sujetos que valoren la imagen o la experiencia de uso y la pongan en alguna parte de la escala que existe entre estos dos adjetivos. Estos adjetivos extremos sirven para calificar la actitud hacia el objeto ante el cual se solicita la reacción del sujeto.
Las dos aportaciones principales de esta técnica son las que Osgood llamó espacio semántico y distancia semántica4, que permite cartografiar las ex periencias que el usuario tiene con el uso de un producto o sus expectativas y deseos en relación con los atributos del mismo. Éstas se describen brevemente a continuación:
El espacio semántico. La localización de un concepto (atributo del producto) se encuentra definida por la confluencia de las tres puntuaciones en los tres facto-res: evaluación, potencia y actividad. La evaluación de la actitud hacia el producto (bueno-malo, justo-injusto), la potencia hace referencia a la fuerza que para un sujeto tiene un determinado atributo producto (grande-pequeño, duroblando) y la actividad se refiere a la agilidad que representa el atributo del producto para el sujeto (rápido-lento). Se entiende por concepto neutro el punto de referencia que puntúa cero en los tres factores.
La importancia del espacio semántico está dada por su capacidad de mostrar de forma gráfica la percepción (experiencia de uso) que tiene una persona o población sobre un concepto (producto) en los tres ejes.
La distancia semántica. Fundamental-mente este concepto es útil de cara a establecer la distancia existente ya no tanto con el concepto neutro sino entre dos o más conceptos, es decir, para establecer el grado en que dos conceptos diferentes provocan las mismas reacciones en el sujeto. Sirve fundamentalmente para ver las semejanzas semánticas existentes entre conceptos.
Método Kano
Hacia fines de la década de 19702,3, Noriaki Kano, académico japonés de la Universidad de Tokio, amplió el concepto de calidad utilizado hasta entonces, que juzgaba la calidad de los productos sobre una sola escala, de “bueno” a “malo”. Kano utilizó dos dimensiones para evaluar la calidad: por un lado, el grado de rendimiento o funcionalidad de un producto y, por el otro, el grado de satisfacción del cliente que lo utiliza, de forma que permite clasificar los requerimientos de los productos tal y como se muestra en la siguiente figura 5.
En la figura 5 se representan tres tipos ideales de requerimientos, en función de la relación entre funcionalidad y satisfacción:
1. Los requerimientos atractivos, son aquellos que, por debajo de cierto umbral de funcionalidad, mantienen un nivel de satisfacción relativamente bajo y constante, pero que, una vez superado ese umbral, producen un aumento significativo de la satisfacción.
2. Los requerimientos unidimensionales se caracterizan porque la satisfacción que producen aumenta de modo aproximadamente proporcional al nivel de funcionalidad. A mayor funcionalidad, se observa una mayor satisfacción.
3. Los requerimientos obligatorios, son aquellos que, en las gamas bajas de funcionalidad, aumentan la satisfacción en relación directa con la funcionalidad pero que, superado cierto umbral, dejan de producir un incremento importante en la satisfacción.
4. Los requerimientos indiferentes se representarían como una recta paralela al eje horizontal de la figura 5. Esto indica que una mayor o menor funcionalidad respecto a esta característica no se refleja en un aumento o disminución de la satisfacción del cliente.
La manera que ideó Kano para llegar a esta clasificación es mediante un cuestionario, en el cual cada pregunta se compone de dos secciones en donde se formula las preguntas: ¿Cómo se siente si la característica “x” está presente en el producto? (requerimientos funcionales) y, ¿Cómo se siente si la característica “x” no está presente en el producto? (requerimientos disfuncionales). Para cada pregunta, el encuestado responde entre cinco opciones, como se muestra a continuación. Basándose en las respuestas a las dos secciones se clasifican los requerimientos.
Basándose en las respuestas a las dos secciones de cada pregunta, se busca su combinación, según muestra la figura 7, y así se puede clasificar en una de las seis categorías, que guiarán la actuación del proceso de diseño y desarrollo del producto.
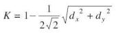
Además, también permite calcular el índice de concentración de respuestas K, que mide la distancia promedio al centro de masa de las respuestas a cada una de las preguntas y se expresa con la siguiente ecuación:
Donde:
-K es el coeficiente de concentración de las respuestas.
-dx es la distancia promedio absoluta al centro de masa para las respuestas disfuncionales.
-dy es la distancia promedio absoluta al centro de masa para las respuestas funcionales.
Ingeniería Kansei
Kansei1-3es un término japonés que, adaptado a la ingeniería sensorial o a la usabilidad emocional, se emplea para expresar la capacidad que tiene un objeto de despertar el placer cuando se usa, es decir, la capacidad que tiene de motivar una respuesta de los sentidos del usuario más allá del aspecto físico del producto. Así, un producto será más “Kansei” que otro en función de la respuesta emocional del usuario respecto al objeto.
A partir del significado de este término, se creó una metodología, bautizada como Kansei Engineering System (KES)8 o, Ingeniería Kansei, que fue desarrollada en lo años 70 por el profesor Mitsuo Nagamachi, con el fin de incorporar el aspecto emocional al proceso de desarrollo ya fuera de objetos o productos de uso cotidiano, interfaces de usuario, etc.
La ingeniería Kansei es una herramienta auxiliar en el desarrollo de nuevos productos orientada al consumidor, basándose en trasladar y plasmar las imágenes mentales, percepciones, sensa ciones y gustos del consumidor a los elementos de diseño que componen el producto. Recoge las necesidades emocionales y establece modelos matemáticos de cómo las necesidades emocionales conectan con las propiedades de los productos, es decir, cuantifica las necesidades emocionales y las desarrolla en los productos.4
I.K: trasladar y plasmar las imágenes mentales, percepciones, sensaciones y gustos del consumidor a los elementos de diseño que componen un producto. Traducción de los sentimientos del consumidor respecto al producto, a elementos de diseño. (Nagamachi)
Al recoger y analizar la voz del usuario para conocer los requisitos que éste desea que satisfaga un producto, puede ocurrir que su posterior traducción en especificaciones de diseño sea más o menos directa o inmediata. Es decir, puede saberse cómo cumplir un conjunto de requisitos y cómo medir si éstos se alcanzan mediante una propuesta de diseño, o bien, no saber cómo materializarlos. En ese caso se requiere un trabajo de investigación e interpretación de requerimientos subjetivos y poco definidos en el cual la labor del diseñador5 es dar forma a un nuevo producto integrando los deseos y demandas de sus usuarios, de forma que no solamente se consideren aspectos técnicos o funcionales, sino también factores estéticos, emocionales, o las sensaciones de uso, siendo el procedimiento general para obtener el Kansei el que se muestra a continuación:
1. Obtención y cuantificación de la Figura 10. Experiencia de uso. respuesta del usuario en términos Kan-sei. Figura 11. Metodología de diseño.
2. Identificar las características de diseño de un producto desde la percepción del usuario.
3. Traducir los valores Kansei cuantificados al diseño del producto.
$. Implantación de la herramienta a partir de los datos anteriores.
El Kansei tiene como objetivo obtener productos que posean una mayor calidad con relación al usuario, permitiendo el desarrollo de productos de diseño cuya experiencia de uso sea mejorada en relación con los productos que no la consideran, para lo cual incorpora las emociones a la experiencia de uso. Además, sirve como herramienta fundamental empresarial para diferenciar el producto, ya que permite orientar de forma fiable el diseño de un producto de acuerdo con las percepciones, nivel de satisfacción y necesidades del consumidor, garantizando el éxito del producto. La herramienta Kansei permite conocer exactamente qué modelos o diseños gustan más al usuario y cuáles están en su ciclo de decadencia.
Figura 9. Sistema Kansei. 
Figura 10. Experiencia de uso
Metodología propuesta
La metodología propuesta se basa en el Kansei. Por tanto, proponemos abordar el diseño bajo dos puntos de vista diferenciados, desde dos perspectivas de diseño. Por un lado, abarcar lo que denominaremos el espacio semántico. Este espacio comprende los deseos que los clientes tienen sobre el objeto en concreto, y mediante el mismo se debe conseguir que el diseño del producto provoque unos sentimientos que sean los esperados por el usuario, que las sensaciones que la interacción con el objeto diseñado les produce sean las adecuadas y, sobre todo, las que buscan obtener del mismo. Y por otro lado, abarcar el espacio de las propiedades del producto. Dichas propiedades deben estar conectadas con las necesidades que aparecen en el espacio semántico, y es a partir de estas propiedades de las que el diseñador se vale para que provoquen en el usuario las sensaciones que se buscan.
Para poder abarcar ambos espacios nos serviremos de las técnicas explicadas anteriormente, utilizaremos el método Kano para obtener el espacio de las propiedades del producto, y el método del diferencial semántico para obtener los criterios de diseño necesarios en el espacio semántico para deducir las palabras Kansei.
Para la identificación y caracterización de los espacios se deben seguir los pasos de la figura 12.
Identificar y caracterizar el espacio de las propiedades del producto
Para poder llevar a cabo la investigación mediante el método Kano debemos identificar los requerimientos del producto que demandan los clientes, que evaluaremos y clasificaremos.
Para obtener los resultados que se observan en la figura 13, se utiliza entre otras herramientas el mapa de respuestas (figura 14) en el que se puede observar la concentración o dispersión de las mismas
Figura 13. Resultados de la clasificación de los requerimientos (espacio de propiedades del producto). 
Izquierda Figura 14. Mapa de respuestas. Derecha Figura 15. Conceptos semánticos
Identificar y caracterizar el espacio de propiedades semánticas
Para el estudio del DS los conceptos deben ser los objetos a diseñar, y los adjetivos opuestos que formarán las escalas bipolares las palabras Kansei. Todos ellos deben ser evaluados en las dimensiones: actividad, potencia y evaluación.
Sirviéndonos de los datos obtenidos mediante los diferentes métodos de diseño aplicados, se extraen las palabras Kansei que debemos incluir en el diseño de la familia de objetos a diseñar y el listado de propiedades del producto que se deben incluir en el diseño.
Síntesis, diseño del producto y validación
Una vez establecidos los dos conjuntos de palabras, se realiza una síntesis que sirve para deducir los criterios necesarios para diseñar los productos, que se construirán virtualmente mediante programas de diseño asistido por ordenador, que se les presentarán posteriormente a varios usuarios potenciales con el fin de validar la información recopilada y los diseños realizados. Para ello, se le enseñarán las imágenes de los productos y se les pedirá que las evalúen y decidan cuál de ellas se acerca más a la imagen que desean obtener del mismo, cuál de los diseños es más Kansei. Una segunda evaluación se hace mediante prototipos rápidos.
De esta forma se podrá validar el espacio semántico valiéndose de la entrevista en profundidad y con la ayuda de las imágenes de los diseños realizados. Así, utilizando de nuevo la escala de diferenciales semánticos, se comprobará cuál de los diseños realizados se acerca más al esperado por el usuario en términos Kansei.
Diseño final validado
Mediante el análisis exhaustivo de los resultados obtenidos de las diferentes encuestas, se debe elegir el diseño que mejor se adapte a los deseos y necesidad de los clientes, el diseño más Kan-sei, pudiendo realizarse en cualquier caso, en esta última fase del proceso, los cam-bios oportunos para que el diseño final del producto se corresponda con lo que esperan los usuarios del mismo, tanto en el dominio de propiedades del producto, como en el semántico.
















