Herramientas online para la evaluación de riesgos laborales por exposición a vibraciones
Online tools for assessing occupational risks related to exposure to vibrations
Factores estadísticos: población laboral expuesta
Tal como puede apreciarse en la figura 1, el 47,5% de los trabajadores de la Unión Europea (EU27) y el 54,4% de los de España que trabajan en la industria1, manifiestan estar expuestos a vibraciones por máquinas o herramientas al menos una cuarta parte de la jornada de trabajo, según la 5ª Encuesta Europea sobre Condiciones de Trabajo (EWCS-2010).
En cuanto a la evolución del conjunto de los trabajadores de la Unión Europea que indican estar expuestos a vibraciones por máquinas o herramientas, al menos una cuarta parte del tiempo, se puede observar en la figura 2 que entre los años 1995 y 2010 se han producido solo pequeñas variaciones.
En la figura 3 se muestran los resultados desagregados por tipo de vibración (VMB y VCC) y por sector de actividad2 del centro de trabajo en España, según se desprende la VII Encuesta sobre Condiciones de Trabajo (INSHT, 2013).
En cuanto a la evolución de los datos globales por exposición a vibraciones en España y en el conjunto de los sectores de actividad, en 2011 el 13,9% de los trabajadores señaló que en su puesto de trabajo tenían vibraciones con un resultado coincidente con el 14% indicado en 2007 (INSHT, 2013) y significativamente superior al 8,2% de 2003 (INSHT, 2003) y el 7,2% de 1999 (INSHT, 1999).
Factores tecnológicos
El artículo 4 del Real Decreto 1311/2005 establece la obligación del empresario de evaluar el riesgo derivado de la exposición a vibraciones, pudiendo recurrir para ello a la observación de los métodos de trabajo concretos y remitirse a la información apropiada sobre la magnitud probable de la vibración del equipo o del tipo de equipo utilizado en las condiciones concretas de utilización, incluida la información facilitada por el fabricante. Esta operación es diferente de la medición, que precisa del uso de aparatos específicos y de una metodología adecuada.
Como norma general, y excepto en aquellos casos en que la naturaleza y el alcance de los riesgos hagan innecesaria una evaluación detallada de estos, la evaluación se basará en la cuantificación del riesgo, que se llevará a cabo mediante la determinación del parámetro A(8). Este parámetro representa el valor de la exposición diaria a vibraciones, normalizado para un periodo de ocho horas, y se puede obtener por medición de la aceleración o por su estimación a partir de datos disponibles tal como detalla INSHT (2009).
Para el cálculo del parámetro A(8) se han desarrollado en los últimos años desde diferentes organismos públicos europeos (entre otros) diversas herramientas informáticas de cálculo y evaluación a las que se puede acceder de forma gratuita a través de sus páginas web.
Igualmente ha ocurrido en el ámbito de las bases de datos de vibraciones (VMB y VCC), proporcionándose así una importante fuente de información que facilita el proceso de evaluación de riesgos, especialmente por estimación.
Factores relacionados con riesgos nuevos y emergentes
A través de la Agencia Europea para la Seguridad y la Salud en el Trabajo (EU-OSHA), Flaspöler et al. (2005) elaboraron un estudio sobre las previsiones de expertos en materia de riesgos físicos emergentes en Europa, mediante el cual identificaron entre los 10 principales3 de dichos riesgos la exposición combinada a las vibraciones y a las posturas forzadas, así como la exposición combinada a las vibraciones y al trabajo muscular. También se consideraron4 en el mencionado informe los siguientes riesgos emergentes relacionados con las vibraciones: vibraciones mano-brazo; evaluación incompleta de las propiedades de amortiguación de dispositivos antivibración; vibraciones cuerpo completo; exposición combinada a vibraciones y pobre diseño ergonómico; exposición a vibraciones que conducen a trastornos de trauma acumulativo (TTA) y otras lesiones relacionadas con el trabajo; exposición combinada a ruido y vibraciones; exposición combinada a vibraciones, y factores ambientales desfavorables.
En la comunicación de la Comisión de las Comunidades Europeas sobre mejorar la calidad y la productividad en el trabajo: estrategia comunitaria de salud y seguridad en el trabajo (2007-2012), se recoge que entre las prioridades en materia de investigación de nuevos riesgos, deben incluirse los riesgos derivados de varios factores cruzados, por ejemplo, organización del trabajo y diseño de los lugares de trabajo, ergonomía y exposición combinada a agentes físicos y químicos.
Objetivos
Los objetivos del presente trabajo se establecen con relación al proceso de evaluación de riesgos por exposición a vibraciones (VMB y VCC), especialmente por estimación, y son:
1. Establecer una visión general de carácter introductorio respecto al proceso de evaluación de riesgos laborales por exposición a vibraciones.
2. Identificar ejemplos representativos de herramientas informáticas online y gratuitas elaboradas por organismos oficiales de la UE de reconocido prestigio en el campo de la PRL, que puedan facilitar el proceso de evaluación de riesgos por exposición a vibraciones, concretamente:
a. Herramientas de cálculo y evaluación.
b. Bases de datos de la magnitud aceleración e información asociada
Metodología
A continuación se describe la metodología utilizada para el desarrollo del presente trabajo:
1. Visión general de carácter introductorio respecto a la metodología de evaluación de riesgos laborales por exposición a vibraciones: se ha tomado como base principal lo indicado por INSHT (2009), considerando la normativa vigente5 así como información adicional cuando se ha estimado oportuno para mayor claridad y conexión con el segundo objetivo de este trabajo, teniendo en cuenta que el alcance es únicamente general e introductorio.
2. Identificar ejemplos representativos de herramientas informáticas online: para identificar los ejemplos de las herramientas consideradas, se ha partido de: HSE (2005, 2008), Griffin el al. (2006, 2008), Lavin (2008), Donati et al. (2008), INSHT (2009), Ayo (2011a), Ayo y Juan y Seva (2012) y EU-OSHA (2013).
Con el fin de complementar, y particularmente ajustar los resultados de las consultas anteriores a los objetivos perseguidos, se han consultado además las páginas web de distintos organismos públicos de reconocido prestigio en el campo de la PRL (p. ej., EU-OSHA, HSE, IFA, INSHT, etcétera), y bases de datos de revistas electrónicas (Dialnet, Ebsco, Science Direc y demás). Las palabras clave utilizadas han sido: vibrations, hand-arm, whole body, assessment, database y calculator.
Evaluación de riesgos por exposición laboral a vibraciones
Generalidades
A continuación se describe con carácter general y a modo orientativo el proceso de evaluación de riesgos por exposición a vibraciones.
Como norma general, y excepto en aquellos casos en que la naturaleza y el alcance de los riesgos hagan innecesaria una evaluación detallada de estos, la evaluación se basará en la cuantificación del riesgo, que tal como se describe más adelante se llevará a cabo mediante la determinación del parámetro A(8) (INSHT, 2009) que representa el valor de la exposición diaria normalizado para un periodo de 8 horas y, a continuación, se comparará dicho parámetro con el valor que da lugar a una acción y con el valor límite que vienen fijados en el propio Real Decreto 1311/2005 y que se recogen en la tabla 1 (Pujol, 2009).
De dicha comparación pueden derivarse tres situaciones, tal como se representa en la figura 4.
1. A(8) es inferior al valor que da lugar a una acción.
2. A(8) está comprendido entre el valor de acción y el valor límite.
3. A(8) es superior al valor límite.
La magnitud de los efectos derivados de la interacción de las vibraciones con los trabajadores están determinados, con carácter general, por dos tipos de factores (ISSL, 2006):
a) Factores externos al trabajador:
– Intensidad de la vibración.
– Espectro de frecuencias.
– Dirección de la penetración del movimiento.
– Área de contacto del sistema vibrante con el organismo.
– Método de trabajo: operaciones continuas o intermitentes.
– Características de la herramienta (peso, posibilidad de apoyos, equilibrado, etcétera).
– Posibilidad de utilización de equipos de protección individual.
– Factores ambientales: humedad, temperatura, ruido, etcétera.
b) Factores personales:
– Constitución física del operario, peso, talla, etc.
– Postura en que realiza la tarea.
– Grado de tensión o esfuerzo que mantiene en el trabajo.
– Grado de experiencia.
– Historia laboral referente a exposiciones pasadas a vibraciones.
– Hábitos higiénicos: consumo de tabaco, etcétera.
– Predisposición a patologías relacionadas con el sistema nervioso periférico o con el sistema circulatorio.
Del conjunto de los factores, y desde el punto de vista de sus efectos, pueden considerarse fundamentalmente los siguientes (Pujol, 2009): Magnitud (o intensidad) de la vibración, frecuencia, dirección en que incide (o penetra) en el cuerpo y tiempo de exposición.
No obstante, en el proceso de evaluación de riesgos resulta deseable el registro de todos los factores identificables con el fin de que se disponga de las historias de todas las exposiciones principales (UNE-EN ISO 5349-1, 2002).
A continuación se describen brevemente las características de los principales factores indicados por Pujol (2009).
Magnitud de la vibración
La intensidad de una vibración puede medirse indistintamente en unidades de desplazamiento, velocidad o aceleración del elemento vibrante. Las tres magnitudes están relacionadas entre sí, de forma que solo es necesario medir una de ellas para conocer completamente la intensidad de la vibración (Bernal et al., 2002) . De estas tres posibilidades se ha convenido en utilizar la aceleración (INSHT, 2009), y esta magnitud (en m/s2) es la considerada en el Real Decreto 1311/2005; el mismo ofrece dos posibilidades para disponer de los valores de la aceleración ponderada en frecuencia:
1. Utilizar datos publicados sobre la misma.
2. Medir dichos datos.
En el primer caso pueden utilizarse, teniendo en cuenta las consideraciones que se harán más adelante, los valores que deben figurar en el manual de instrucciones del equipo de trabajo o bien utilizar los que están disponibles en diferentes bases de datos (Ayo, 2011a; INSHT, 2011; Pujol, 2009).
Consideraciones sobre la incertidumbre
La magnitud de la vibración de una máquina particular puede ser tremendamente variable (p. ej., debido a los operarios, a las condiciones de la operación, herramientas insertadas, etcétera) y normalmente es difícil o imposible obtener un valor preciso o un intervalo estrecho de valores, de manera que una indicación del valor medio es todo lo que se puede esperar, de forma que para la estimación de la exposición, es normalmente necesario tener en cuenta el hecho de que los valores son obtenidos dentro de un intervalo de incertidumbre (UNE-CEN/TR 15350 IN, 2008).
En el manual de instrucciones del fabricante debe recogerse el valor de la incertidumbre de la medición efectuada (RD 1644/08). No obstante, sea cual sea el origen de la medición debe tenerse en cuenta que la incertidumbre asociada a las mediciones es alta debido a los numerosos factores que intervienen en la misma, por lo que valores en el entorno del valor de acción deben analizarse especialmente (Ayo, 2011a).
Los errores derivados del proceso de muestreo y medición de la magnitud de vibración, y la estimación de la duración de exposición, puede dar lugar a una incertidumbre en el valor A(8) de al menos ± 20% (HSE, 2008). Así, por ejemplo, en el estudio sobre vibraciones realizado por el INSHT citado en la introducción, se determinó que la incertidumbre asociada a las medidas de vibraciones fue del 26% (Ayo, 2011b).
Determinación del tiempo de exposición
Para determinar el valor de A(8) debe conocerse el tiempo durante el que, diariamente, el trabajador está expuesto a las vibraciones (INSHT, 2009).
Es un parámetro en cuya determinación hay que ser muy cuidadoso, ya que no necesariamente coincide con el tiempo durante el cual se utiliza un equipo de trabajo, pues con este mismo equipo pueden realizarse diferentes operaciones que representen un nivel de vibraciones también diferente (Pujol, 2009). En general, debería admitirse que para la mayoría de las máquinas la duración de la exposición a vibraciones es más corta que el tiempo de utilización, es decir, la proporción de exposición será menor del 100% (UNE-CEN/TR 15350 IN, 2008).
En el caso de que el trabajador realice diferentes tareas en las que se dé esta circunstancia, deberá conocerse el tiempo de exposición correspondiente a cada una de ellas, y es necesario que cada tiempo se corresponda con el valor de la aceleración que vaya a utilizarse. En el caso de que dichas tareas se realicen en forma de ciclos de trabajo deberá determinarse el tiempo de exposición en cada tarea o ciclo de trabajo y el número de veces que este se realiza en cada jornada laboral (INSHT, 2009).
Frecuencia
La frecuencia de vibración, que se expresa en ciclos por segundo (hercios, Hz), afecta a la extensión con que se transmiten las vibraciones al cuerpo (p. ej., a la superficie de un asiento o a la empuñadura de una herramienta vibrante), a la extensión con que se transmiten a través del cuerpo (p. ej., desde el asiento a la cabeza) y al efecto de las vibraciones en el cuerpo (Griffin et al., 2001).
Las vibraciones producidas por los equipos de trabajo prácticamente nunca van a ser vibraciones de una frecuencia determinada, sino una mezcla de vibraciones de diversas frecuencias. De hecho, no se consideran las frecuencias individualmente, sino agrupándolas en bandas de tercio de octava, de forma que con el fin de armonizar las mediciones, se ha convenido que para evaluar la exposición solo se tienen en cuenta las de frecuencias centrales de bandas de tercio de octava (INSHT, 2009):
– VMB entre 6,3 y 1.250 Hz.
– VCC entre 0,5 y 80 Hz.
Por otra parte, debido a que hay frecuencias más perjudiciales que otras, los valores de la aceleración medidos en cada una de las bandas de tercio de octava se ponderan de acuerdo con unos factores que, por regla general, incorporan los instrumentos de medida (vibrómetros) (INSHT, 2009). Se adjunta la figura 5 a modo de ejemplo de la ponderación en frecuencia para las vibraciones transmitidas por la mano (VMB).
Dirección
Cualquier equipo de trabajo capaz de originar vibraciones genera multitud de aceleraciones en muchas y distintas direcciones, y resulta inviable la medición de todas y cada una de las aceleraciones producidas en todas las direcciones posibles. Por ello, las aceleraciones se miden en su proyección sobre tres ejes ortogonales, X, Y, Z (Pérez, 2010). En este sentido y a modo de ejemplo, la Norma UNE-EN ISO 20643 (2008) puntualiza que no incluye otras direcciones de las vibraciones distintas de las translacionales.
De esta forma, los sistemas principales de coordenadas para medir VCC y VMB interesa ligarlos al cuerpo humano y no a referencias espaciales, tal como se muestra en las figuras 6 y 7.
Cálculo de la exposición diaria a vibraciones A(8)
Una vez que se haya obtenido el valor de la aceleración (mediante medición o estimación) y del tiempo de exposición, se está en condiciones de calcular el valor de la exposición diaria a vibraciones normalizado para un periodo de ocho horas A(8), y se debe distinguir entre VMB y VCC, así como si en cada caso se está expuesto a una sola fuente de vibraciones o a más.
De esta forma, se resume a continuación el proceso de cálculo a partir de las normas UNE citadas así como del RD 1311/2005 e INSHT (2009, 2010b):
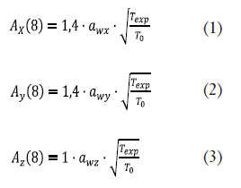
a) VCC con una sola fuente de exposición: se toma como valor del parámetro A(8) el mayor de los tres valores siguientes:
donde awj representa el valor eficaz de la aceleración ponderada en frecuencia según los ejes ortogonales x, y, z (según norma UNE-ISO 2631-1:2008, que es la versión oficial de la Norma Internacional ISO 2631-1:1997 a la que se remite en el anexo del Real Decreto 1311/2005); Texp corresponde al tiempo de exposición y T0, al tiempo de referencia de 8 horas.
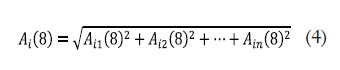
b) VCC y exposición a varias fuentes de vibraciones (n): se determinan los valores de la exposición diaria parciales en las tres direcciones (Ai(8)) para cada fuente de exposición (n) según se ha indicado en el apartado a. A continuación, se calcula el valor global en cada eje utilizando la siguiente expresión:
donde i se refiere a los ejes x, y, z.
A continuación se toma como valor de la exposición diaria equivalente A(8) el mayor de estos tres valores.
c) VMB y una sola fuente de exposición: en este caso el valor de A(8) se determina por:
donde es la raíz cuadrada de la suma de los cuadrados de las componentes de la aceleración ponderada en frecuencia en los tres ejes:
tal como se define en la norma UNE-EN-ISO 5349:2002, partes 1 y 2, que son las versiones oficiales de la adaptación de la Norma Internacional ISO 5349:2001, partes 1 y 2, a la que se remite en el anexo del Real Decreto 1311/2005.
d) VMB y exposición a varias fuentes de vibraciones (n): se determinan los valores parciales correspondientes a cada exposición de la forma indicada en el apartado c y, a continuación, se calcula el valor global dado por:
e) Evaluación de la exposición a vibraciones para periodos superiores a un día:
La norma UNE-EN ISO 5349-2 a la que remite el Real Decreto 1311/2005 con relación a la medición, propone en su anexo B (informativo) que para la evaluación de la exposición a vibraciones para periodos superiores a un día se utilice la expresión:
donde Ad(8) es la exposición a vibraciones en el día d, n es el número de días sobre el que se determina la exposición y Atípica (8) es la exposición típica diaria estimada sobre un periodo de n días.
De acuerdo con la anterior expresión y con el Real Decreto 1311/2005, que prevé la posibilidad de evaluar la exposición con referencia a un periodo de 40 horas bajo las condiciones descritas en su artículo 3, puede utilizarse la siguiente expresión para calcular la exposición a vibraciones que se comparará con los
valores límite y con los valores que dan lugar a una acción para evaluar el riesgo:
Evaluación de riesgos por estimación
Para poder determinar la aceleración sin tener que recurrir a su medición deben cumplirse todas y cada una de las siguientes condiciones (INSHT, 2009):
a. Disponer de los valores de emisión del equipo, que pueden ser suministrados por el fabricante o proceder de otras fuentes.
b. Las condiciones de funcionamiento reales del equipo son similares a aquellas para las que se han obtenido los niveles de emisión publicados.
c. El equipo debe estar en buenas condiciones y su mantenimiento se realiza según las recomendaciones del fabricante.
d. Las herramientas insertadas y los accesorios utilizados deben ser similares a los empleados para la determinación de los valores declarados de la aceleración.
A continuación se describen brevemente dichas características, para lo que se ha tomado principalmente como base lo indicado por Lavin (2008) e INSHT (2009).
Valores de emisión del equipo
a) Suministrados por el fabricante:
El Real Decreto 1644/2008, sobre comercialización y puesta en servicio de máquinas, recoge en su anexo I los requisitos esenciales de seguridad y de salud relativos al diseño y la fabricación de las máquinas, y destacan los siguientes aspectos con relación a los valores de emisión de las vibraciones de la máquina que deben incluirse en su manual de instrucciones, y que se recogen de forma resumida en la tabla 3:
– Contenido del manual de instrucciones (apartado 1.7.4.2.j del anexo I del RD 1644/08): el mismo incluirá (cuando proceda) las instrucciones relativas a la instalación y al montaje, dirigidas a reducir el ruido y las vibraciones.
– Manual de instrucciones de las máquinas portátiles y las máquinas guiadas a mano; se indicará lo siguiente sobre las vibraciones transmitidas (apartado 2.2.1.1 del RD 1644/08):
– El valor total de las vibraciones a las que esté expuesto el sistema manobrazo, cuando excedan de 2,5 m/s2. Cuando este valor no exceda de 2,5 m/s2, se deberá mencionar este hecho.
– La incertidumbre de la medición.
Estos valores se medirán realmente en la máquina considerada, o bien se establecerán a partir de mediciones efectuadas en una máquina técnicamente comparable y representativa de la máquina que se va a fabricar.
Cuando no se apliquen las normas armonizadas, los datos relativos a las vibraciones se deben medir utilizando el código de medición que mejor se adapte a la máquina.
Deberán describirse las condiciones de funcionamiento de la máquina durante la medición, así como los métodos utilizados para esta, o la referencia a la norma armonizada aplicada.
• Manual de instrucciones de las máquinas que presentan peligros debido a su movilidad; se indicará lo siguiente sobre las vibraciones que la máquina transmita al sistema mano-brazo o a todo el cuerpo (apartado 3.6.3.1 del anexo I del RD 1644/08):
– El valor total de las vibraciones a las que esté expuesto el sistema manobrazo, cuando excedan de 2,5 m/s2. Cuando este valor no exceda de 2,5 m/s2, se debe mencionar este hecho.
– El valor cuadrático medio más elevado de la aceleración ponderada a la que esté expuesto todo el cuerpo, cuando este valor exceda de 0,5 m/s2. Cuando este valor no exceda de 0,5 m/s2, se debe mencionar este hecho.
– La incertidumbre de la medición.
Estos valores se medirán realmente en la máquina considerada, o bien se establecerán a partir de mediciones efectuadas en una máquina técnicamente comparable y representativa de la máquina que se va a fabricar.
Cuando no se apliquen normas armonizadas, las vibraciones se deben medir utilizando el código de medición que mejor se adapte a la máquina.
Deberán describirse las condiciones de funcionamiento de la máquina durante la medición, así como los códigos de medición utilizados para esta.
El anexo B (informativo) de la norma UNE-CER/TR 15350:2008 IN proporciona un procedimiento para la estimación de la exposición diaria de vibraciones utilizando los valores de emisión declarados por el fabricante, diferenciando entre valores basados en la medición en tres ejes o ejes individuales, así como considerando la determinación del tiempo de exposición, tanto directamente como por estimación. El anexo C de la misma norma proporciona información adicional para entender las diferencias entre los valores de vibración de acuerdo con los códigos de ensayo y durante el trabajo habitual. Asimismo, recoge un procedimiento para estimar la exposición a vibraciones en el lugar de trabajo a partir de los valores de emisión declarados por el fabricante, distinguiendo tres grupos de máquinas en función de su fuente de energía: máquinas con motor de combustión interna, máquinas eléctricas y máquinas neumáticas. Al respecto se advierte del alto grado de incertidumbre de los valores así calculados (ambos anexos).
En cuanto a las vibraciones que se transmiten al cuerpo entero, los datos de emisión se obtienen, por lo general, de códigos de ensayo armonizados. Sin embargo, hay muy pocos disponibles (INSHT, 2009). b) Utilización de datos de otras fuentes:
Para determinar en la práctica si es probable que se superen los valores de exposición que dan lugar a una acción o los valores límites de exposición a través del cálculo de A(8) tal como se ha introducido en el presente trabajo, no siempre es posible disponer o localizar la información del fabricante para obtener la magnitud de la vibración del equipo de trabajo que se va a evaluar, por lo que en este caso se puede recurrir de forma alternativa (o complementaria si se dispone de los valores del fabricante) a otras fuentes de información, que pueden clasificarse de manera no exhaustiva de la siguiente forma:
I. Bases de datos específicas en Internet:
– Organismos oficiales de reconocido prestigio.
– Fabricantes:
– Asociaciones.
– Empresas específicas.
– Empresas consultoras especializadas en vibraciones.
II. Publicaciones científico-tecnológicas.
La información anterior se complementa en muchos casos con aplicaciones informáticas que facilitan el cálculo de A(8) y/o permiten una evaluación de riesgos por exposición a vibraciones basada en variables complementarias al parámetro A(8).
Más adelante se exploran con mayor detalle estos recursos electrónicos.
Condiciones de funcionamiento del equipo
En el proceso de comparación, las condiciones de funcionamiento reales del equipo deben ser similares a aquellas para las que se han obtenido los niveles de emisión publicados.
La observación de los métodos de trabajo se centrará en comprobar que las condiciones reales de utilización del equipo son las mismas que las incluidas por el fabricante en el manual de instrucciones, teniéndose en cuenta entre otros los aspectos indicados con anterioridad respecto a la aplicación de los valores de emisión declarados por el fabricante.
Condiciones del equipo de trabajo
El equipo debe estar en buenas condiciones y su mantenimiento se debe realizar según las recomendaciones del fabricante.
Dado que los valores de emisión de la vibración declarados por el fabricante son el resultado de medidas realizadas cuando los equipos de trabajo son nuevos, asociarlos a equipos de trabajo con un mantenimiento deficiente o irregular puede dar lugar a conclusiones erróneas, ya que dichas deficiencias pueden desembocar en cambios sustanciales de los valores emisores de la vibración reales respecto a los declarados.
La única forma de garantizar que los niveles de emisión van a estar probablemente dentro del rango indicado por el fabricante consiste en que el empresario realice el mantenimiento de los equipos de trabajo siguiendo las indicaciones del fabricante. En este sentido es importante recordar que esta obligación (mantenimiento) queda recogida con carácter general en el artículo 3.5 del RD 1215/97 sobre equipos de trabajo, y de forma específica en materia de vibraciones en el artículo 5.2.d del RD 1311/2005.
Herramientas insertadas y accesorios utilizados
Las herramientas insertadas y los accesorios utilizados deben ser similares a los empleados para la determinación de los valores declarados de la aceleración.
Dado que las propiedades de las herramientas insertadas tienen una gran influencia en la emisión de la vibración, la utilización de los valores de aceleración obtenidos de alguna de las fuentes anteriormente indicadas (fabricante, organismos oficiales, etcétera) debe realizarse en condiciones equivalentes, ya que, de lo contrario, pueden suponerse valores sustancialmente superiores o inferiores (según el caso) a los reales.
Herramientas online para la evaluación de la exposición a vibraciones
Herramientas de cálculo y evaluación
Tal como se adelantó anteriormente, además de existir distintas fuentes de información online donde recurrir para obtener la aceleración de la vibración del equipo de trabajo que se va a evaluar por estimación, también existen de forma complementaria herramientas informáticas gratuitas que pueden facilitar el proceso de cálculo y evaluación.
Dichas herramientas se pueden dividir básicamente en hojas de cálculo y aplicaciones informáticas. Las primeras permiten el proceso de cálculo propiamente dicho del parámetro A(8), y las segundas ayudan en el proceso de evaluación en un sentido más amplio, es decir, considerando información adicional respecto a la aceleración y el tiempo de exposición.
En la tabla 4 se muestran ejemplos de organismos europeos que disponen de una sección de su web dedicada a las vibraciones mecánicas en el ámbito de la PRL, donde, además de existir información técnica relacionada, se pueden encontrar diversas herramientas de evaluación tal como se ha indicado. A partir de las direcciones consideradas se puede acceder para cada organismo considerado a sus diferentes herramientas informáticas en el ámbito de las vibraciones6. En la tabla 4 se muestran las características generales de cada una de ellas, y se pueden agrupar las mismas de la siguiente forma:
– Formato de la herramienta: a) Excel® (descargable); b) Aplicación (descargable); c) Online;
– Tipo de herramienta: a) calculadora; b) aplicación para la evaluación del riesgo.
– Tipo de vibración: a) vibración mano-brazo (VMB); b) vibración cuerpo completo (VCC).
– Idioma: idioma de las herramientas informáticas específicas de vibraciones.
Para la utilización de dichas herramientas deben adoptarse las precauciones necesarias, ya que no pueden considerarse directamente equivalentes entre sí, considerando especialmente, entre otros, la información que en cada sitio web se aporta al usuario, así como la normativa que en cada Estado miembro sea específicamente de aplicación.
Al respecto téngase en cuenta que a pesar de tener como nexo común la Directiva 2002/44/CE8, existen particularidades propias de la transposición de la misma que cada Estado miembro de la UE haya realizado (en España a través del RD 1311/08). Por ejemplo, en Italia, a través del artículo 201 del DL 81/2008, se indica que el valor límite de exposición diaria normalizado para un periodo de referencia de ocho horas se fija en 5 m/s2, mientras que para periodos cortos es igual a 20 m/s2. Obsérvese que en España no se incluye a través del RD 1311/2005 ningún límite para periodos cortos.
Equivalente consideración debe realizarse en el plano más estrictamente técnico, especialmente teniendo en cuenta que las herramientas están desarrolladas en contextos científico-tecnológicos.
Por otra parte, del análisis conjunto de las herramientas consideradas en la tabla 4, se desprenden diferencias y matices que pueden resultar de interés, según se describe a continuación.
Las calculadoras tienen como elemento común el cálculo del parámetro A(8), así como el cálculo del tiempo de exposición para alcanzar el valor que da lugar a una acción así como el valor límite. El parámetro A(8) se obtiene tanto para cada equipo de trabajo considerado individualmente como para el conjunto que da lugar a la exposición. En cuanto al cálculo del tiempo de exposición se calcula9 de forma individual para cada equipo a partir de las expresiones (1), (2), (3) y (5).
En cuanto a las diferencias entre calculadoras, destacan las siguientes:
– Calculadoras como las del HSE, IFA o LA complementan los resultados expresados en m/s2 por el sistema de puntos10. Además, los comparan con los valores que dan lugar a una acción y el valor límite.
– Calculadoras como la desarrollada por LA permiten introducir los valores de la aceleración en cada eje para VMB. Por ejemplo, la herramienta del INSHT o del HSE solo permite para el caso de VMB introducir el valor total de la aceleración (ahv).
– Excepto la calculadora de UMEA, las demás permiten el cálculo de las VCC considerando los valores de los tres ejes.
– La calculadora de VCC desarrollada por el HSE permite decidir si en los cálculos se incluye el factor de ponderación “k” (k = 1,4 en los ejes X, Y; k = 1 en el eje Z. Véanse expresiones (1), (2) y (3), aspecto que resulta útil especialmente para evitar cálculos intermedios cuando se utilizan valores procedentes de fuentes como bases de datos.
En cuanto a las aplicaciones identificadas, en el caso de la del IFA permite realizar la evaluación de riesgos por exposición a VMB y establecer un programa de reducción a partir del ckecklist n.º 52 desarrollado por DGUV (2012), permitiendo entre otros determinar el parámetro A(8) a partir de los valores de la aceleración en cada eje (ahwi) o del valor total de la aceleración eficaz ponderada en frecuencia (ahv).
En cuanto a la aplicación online que el INAIL dispone en su página de web para evaluar la exposición a VMB, permite introducir los datos de los equipos de trabajo a partir de su propia base de datos, o del manual de fabricante o de los datos obtenidos en mediciones, a partir de los que se puede calcular el parámetro A(8) y comparar con los valores de referencia. Uno de los aspectos destacables en esta aplicación es la versatilidad en el origen y características de los datos, ya que, por citar algunos ejemplos, permite seleccionar la norma de referencia cuando los datos provienen del fabricante o incluir el valor de la incertidumbre (a partir del manual de instrucciones o de medidas de campo).
En el caso de la aplicación del INRS, permite la evaluación de riesgos por exposición a VCC, estimando el valor de la aceleración a partir de la selección por el usuario del tipo de vehículo objeto de evaluación así como de las condiciones de utilización y del tiempo de exposición. Con esta información la aplicación calcula el parámetro A(8) y lo compara con los valores de referencia, aportando, además, medidas para reducir el riesgo.
En el presente trabajo se han considerado únicamente ejemplo de herramientas informáticas desarrolladas por organismos públicos de reconocido prestigio de la UE, aunque, obviamente, existen de forma alternativa tanto herramientas desarrolladas por organismos de otros países, como aplicaciones comerciales específicas y pequeñas aplicaciones en web de fabricantes de equipos de trabajo (p. ej., herramientas eléctricas).
Bases de datos online de vibraciones asociadas a equipo de trabajo
Tal como se indicó anteriormente, para determinar en la práctica si es probable que se superen los valores de exposición que dan lugar a una acción o los valores límites de exposición a través del cálculo de A(8), no siempre es posible disponer o localizar la información del fabricante para obtener la magnitud de la vibración del equipo de trabajo que se va a evaluar, por lo que en este caso se puede recurrir de forma alternativa (o complementaria si se dispone de los valores del fabricante) a otras fuentes de información.
Dichas fuentes de información son, a menudo, suficientes para estimar de forma aproximada la exposición diaria a las vibraciones de los trabajadores y para ayudar a decidir si es probable que se exceda el valor de exposición que da lugar a una acción o el valor límite de exposición (UNE-CEN/TR 15350 IN, 2008).
Entre dichas fuentes de información se encuentran las bases de datos, de forma que para utilizarlas, se debe comenzar con los datos del fabricante, marca y modelo del equipo que se pretende evaluar. En el caso de no disponer de esta información, como punto de partida se puede utilizar la información conocida de otro equipo de trabajo de características similares, sustituyendo los datos provisionales por los definitivos cuando estén disponibles (Lavin, 2008).
Asimismo, las bases de datos también pueden hacer referencia a las condiciones concretas de operación en el momento de la medición (p. ej., velocidad de trabajo de la máquina, tipo de superficie o material sobre el que se trabaja, etcétera). Por ello, la observación del trabajo permitirá, a su vez, poner de manifiesto si las condiciones reales de utilización coinciden con las de determinación del valor de la aceleración obtenida en la base de datos. Atendiendo a criterios técnico-preventivos, en caso de ser significativamente diferentes se recomienda recurrir a la medición (INSHT, 2009).
Cuando se manejen datos publicados sobre vibraciones, constituye una buena práctica intentar comparar datos de dos o más fuentes (Lavin, 2008; INSHT, 2009).
En la tabla 5 se muestran ejemplos de organismos públicos europeos de reconocido prestigio que disponen de una sección de su web en la que alojan bases de datos de vibraciones mecánicas. A partir de las direcciones de las web consideradas se puede acceder a dichas bases de datos. En la tabla 5 se muestran las características generales de cada una de ellas, y se pueden agrupar de la siguiente forma:
– Tipo de vibración: a) vibración manobrazo (VMB); b) vibración cuerpo completo (VCC).
– Idioma: idioma de base de datos específica de vibraciones.
– Calculadora/ficha equipo/base de datos de ruido: cuando existe esta información asociada al sitio web en cuestión se indica con un “●”.
– Número de registros11: con carácter general, la cifra indicada incluye tanto registros con los valores de las vibraciones declarados por el fabricante como registros con los valores de las vibraciones medidos en la realización de un trabajo concreto y en condiciones reales (mediciones de campo). No obstante, se indican a continuación las particularidades en este sentido más significativas para cada base de datos:
– INAIL: permite tanto para VMB como VCC ordenar los resultados según procedan de medición de campo o valores declarados.
– INSHT: todos los registros se han obtenido a partir de mediciones de campo.
– LA (KARLA): se diferencia entre valores de inmisión y de emisión tanto para VMB como VCC. Cuando se accede a la ficha de cada registro se puede identificar el origen de los datos.
– UMEA: cuando se trata de VMB, permite ordenar los resultados según procedan de medición de campo o valores declarados. En el caso de VCC, cuando se accede a la ficha de cada registro se puede identificar el origen de los datos.
Finalmente, tal como se indicó anteriormente, se recuerda que para la utilización de dichas herramientas deben adoptarse las precauciones necesarias con relación a la normativa y criterios técnicos que en cada caso sean de aplicación, tomando en consideración la información aportada en cada base de datos.
Bases de datos de fabricantes
Tal como recoge Lavin (2008) e INSHT (2009), las asociaciones de fabricantes pueden disponer de niveles de vibraciones en determinadas máquinas además de los datos que algunos fabricantes ofrecen en sus páginas web sobre los niveles reales de vibración durante el uso real típico de la herramienta.
Un ejemplo de ello es la web HAVTEC12 (Hand-Arm Vibration Test Centre), instalación de OPERC (Off-highway Plant and Equipment Research Centre), que dispone de una base de datos de VMB en la que previo registro se puede acceder a la información (valores de la aceleración, tiempos de exposición para alcanzar valores de acción, etcétera) relativa a herramientas de diferentes fabricantes, como los pertenecientes a EPTA (European Power Tool Association). Complementariamente, también se puede acceder a una calculadora descargable (Excel®) de VMB así como a diferentes publicaciones y materiales específicos.
Otras fuentes de datos
Las bases de datos de publicaciones así como las páginas web de los organismos públicos nacionales e internacionales (en materia de PRL) también suponen buenas fuentes donde encontrar trabajos científicos y técnicos específicos en el campo de las vibraciones mecánicas que recojan resultados y análisis de mediciones que puedan resultar de interés, especialmente en el proceso de evaluación de riesgos por estimación. A modo de ejemplo, en España, se pueden citar los trabajos desarrollados por Santurio et al. (2006), CTM (2008) e INSHT (2010a).
Conclusiones
La exposición a vibraciones supone un riesgo laboral que afecta a un número importante de trabajadores de la Unión Europea, tanto porcentual como sectorialmente, y debe realizarse una evaluación de riesgos de dicha exposición a partir de la Directiva 2002/44/CE (transpuesta al derecho español por el RD 1311/2005), cuyo procedimiento basado en la determinación del parámetro A(8) puede incluir la medición de la aceleración o su estimación a partir de los datos disponibles en diferentes fuentes.
Para la determinación del parámetro A(8) se han desarrollado en los últimos años desde diferentes organismos públicos europeos (entre otros) diversas herramientas informáticas de cálculo y evaluación que se encuentran accesibles online y, aunque comparten la Directiva 2002/44/CE, están en muchos casos adaptadas a los criterios propios de cada organismo y país, de forma que en general no se pueden considerar entre ellas equivalentes, aunque sí complementarias o alternativas, en función del grado de detalle requerido en cada caso.
De forma paralela, se han desarrollado bases de datos de vibraciones (VMB y VCC) que proporcionan una importante fuente de información para facilitar o mejorar el proceso de evaluación de riesgos, especialmente por estimación. Dichas bases de datos se encuentran todavía en una fase temprana desde el punto de vista del número de registros almacenados, especialmente cuando estos son el resultado de mediciones de campo.
De este modo, dado el interés creciente que diversos organismos europeos de reconocido prestigio están mostrando en los últimos años hacia las vibraciones como contaminante laboral, es previsible que tanto el número de herramientas informáticas de cálculo y evaluación como bases de datos relacionadas sigan aumentando y mejorando.
Además, cabe subrayar que la exposición a vibraciones no debería analizarse únicamente de forma aislada o tradicional, sino que, además, desde la consideración de dicho agente como un riesgo nuevo y emergente, especialmente cuando existe una exposición combinada, como son vibraciones y factores ergonómicos, o incluso vibraciones y otros a agentes físicos (p. ej. ruido).
Finalmente, resulta conveniente recordar la importancia de analizar con criterio técnico adecuado cada herramienta informática antes de su utilización, teniendo en cuenta su compatibilidad con los objetivos perseguidos, así como con el conjunto de normativa que en cada situación sea de aplicación, contando, en cualquier caso, con la información asociada a cada herramienta de forma específica.
Notas
1 Industria: categorías de la A hasta la H (A: agricultura, ganadería, caza y silvicultura; B: pesca; C: industrias extractivas; D: fabricación; E: producción y distribución de agua, gas y electricidad; F: construcción; G: comercio mayorista y minorista; H: hostelería) según clasificación NACE de actividades económicas (EUROFOUND 2010).
2 Agrupación de actividad económicas según CNAE 2009 (INSHT 2013).
3 Considerados por los expertos que participaron en el estudio como: “Totalmente de acuerdo en que el riesgo identificado es emergente”.
4 Considerados por los expertos que participaron en el estudio como: “De acuerdo en que el riesgo es considerado emergente”.
5 En el momento de la publicación de INSHT (2009), estaba en vigor el RD 1435/1992, que fue derogado por el RD 1644/2008 a partir del 29 de diciembre de 2009.
6 En la mayoría de los casos, en la web del organismo considerado existen otras herramientas informáticas específicas en materia de PRL, por ejemplo para la evaluación de la exposición a ruido.
7 Para mayor claridad, se ha distinguido según el caso, la dirección web específica.
8 La Directiva 2002/44/CE recoge las disposiciones mínimas de seguridad y salud relativas a la exposición de los trabajadores a los riesgos derivados de los agentes físicos (vibraciones), lo que permite a los Estados miembros la posibilidad de mantener o adoptar disposiciones más favorables para la protección de los trabajadores.
9 A partir de las expresiones (1), (2), (3) y (5), según se trate de VMB o VCC, el cálculo del tiempo se efectúa despejando “Texp” y sustituyendo el parámetro A(8) por el valor que da lugar a una acción o el valor límite, según el caso.
10 Los puntos de exposición a vibraciones son una alternativa sencilla al valor A(8) para describir la exposición diaria total o parcial a las vibraciones de las personas. Por ejemplo, en el caso de VMB una puntuación de 100 puntos para la exposición total a vibraciones en un día es igual al valor de exposición que da lugar a una acción A(8) = 2,5 m/s2, y una puntuación de 400 puntos es igual al valor límite de exposición A(8) = 5 m/s2 (UNEEN ISO 20643:2008).
11 A fecha de enero de 2013.
12 La propia web KARLA dispone de un apartado de “otras bases de datos” que enlaza con las páginas web de UMEA, HAVTEC e INAIL.
Bibliografía
Agencia Europea para la Seguridad y Salud en el Trabajo (EU-OSHA), Recherche in Fachdatenbanken [Consultado 21/1/13]. Disponible en: http://bb.osha.de/good_practice/fdb/fdbbb.htm#VIBDB
Ayo, F. (2011a). Evaluación de las vibraciones mecánicas. Jornada Técnica ¿Cómo evaluar las vibraciones mecánicas? R.D. 1311/2005. Instituto Nacional de Seguridad e Higiene en el Trabajo (INSHT).*
Ayo, F. (2011b). Estudio del nivel de exposición a vibraciones mecánicas en los puestos de trabajo. Jornada Técnica ¿Cómo evaluar las vibraciones mecánicas? R.D. 1311/2005. Instituto Nacional de Seguridad e Higiene en el Trabajo (INSHT).*
Ayo, F., Juan y Seva Guevara, B. (2012). Evaluación por estimación del riesgo por vibraciones mecánicas. Base de datos del INSHT. ORP2012 – 10º Congreso Internacional de Prevención de Riesgos Laborales, Bilbao, España.*
Bernal, F., Castejón, E., Cavallé, N. and Hernández, A. (2002). Higiene Industrial. 2ª ed. Madrid: Instituto Nacional de Seguridad e Higiene en el Trabajo. ISBN:84-7425-603-8.
Centro Tecnológico del Mármol (CTM) (2008). Estudio metodológico para la reducción de riesgos higiénicos ante vibraciones mano brazo y cuerpo completo en la industria del mármol de la Región de Murcia. Disponible en:
http://www.prevenpiedra.com/upload_folder/Manual%20vibr aciones%20CTM%202008%20(1).pdf
Comisión de las Comunidades Europeas (2007). Comunicación de la Comisión al Parlamento Europeo, al Consejo, al Comité Económico y Social y al Comité de las Regiones: Mejorar la calidad y la productividad en el trabajo: estrategia comunitaria de salud y seguridad en el trabajo (2007-2012). Bruselas, COM (2007) 62 final. Disponible en: http://eur-lex.europa.eu/LexUriServ/LexUriServ.do?uri=CELEX:52007DC0062:ES:NOT
Donati, P., Schust, M., Szopa, J., Starck, J., Gil, E., Pujol, L., Fischer, S., Flaspöler, E., Reinert, D., Op de Beek,
R. (2008). Workplace exposure to vibration in Europe: an expert review. European Agency for Safety and Health at Work, European Risk Observatory, Bélgica. ISBN 978-92-9191-221-6. Disponible en: https://osha.europa.eu/en/publications/reports/8108322_ vibration_exposure
EPTA (European Power Tool Association), [Consulta 21/1/13]. Disponible en: http://www.epta.eu/
EUROFOUND (2010). Quinta Encuesta europea sobre las condiciones de trabajo (EWCS-2010). European Foundation for the Improvement of Living and Working Conditions (Eurofound). Disponible en: http://www.eurofound.europa.eu/surveys/ewcs/2010/index_es.htm
Fachbereich Holz und Metall (DGUV) (2012). Fachbereich-Informationsblatt Hand-Arm-Vibrationen, Checkliste zur Gefährdungsbeurteilung. Nr. 052. Disponible en: http://www.dguv.de/fb-holzundmetall/publikationen/infoblaetter/infobl_deutsch/052_hand-arm-vibrationen.pdf
Flaspöler, E., Reinert, D., Brun, E. (2005). Expert forecast on Emerging Physical Risks related to occupational safety and health. European Agency for Safety and Health at Work, European Risk Observatory, Bélgica, ISBN 92-9191-165-8. Disponible en: https: //osha.europa.eu/en/publications/reports/6805478/
Griffin, M.J., Seidel , H., Bovenzi, M., Benson, A.J. (2001). Vibraciones. Enciclopedia de salud y seguridad en el trabajo, Organización Internacional del Trabajo, Vol II, Cp 50, Ginebra. ISBN : 84-8417-047-0. Disponible en: http://www.insht.es/InshtWeb/Contenidos/Documentacion/TextosOnline/EnciclopediaOIT/tomo2/50.pdf
Griffin, M.J., Howarth, H.V.C., Pitts, P.M., Fischer, S., Kaulbars, U., Donati, P.M., Bereton, P.F. (2006). EU Guide to good practice on Hand-Arm Vibration (HAV Good practice Guide V7.7 English 260506.doc). European Commission Directorate General Employment, Social Affairs and Equal Opportunities, contract VC/2004/0341. Disponible en: http://resource.isvr.soton.ac.uk/HRV/VIBGUIDE.htm
Griffin, M.J., Howarth, H.V.C., Pitts, P.M., Fischer, S., Kaulbars, U., Donati, P.M., Bereton, P.F. (2008). EU Guide to good practice on Whole-Body Vibration (WBV_Good_prac-tice_Guide v6.7h English.doc). European Commission Directorate General Employment, Social Affairs and Equal Opportunities, contract VC/2004/0341. Disponible en: http://resource.isvr.soton.ac.uk/HRV/VIBGUIDE.htm
Health and Safety Executive (HSE) (2005). Whole-body vibration. The Control of Vibration at Work Regulations 2005. Guidance on Regulations. U.K., ISBN 978 0 7176 6126. Disponible en:
http://www.hse.gov.uk/pubns/priced/l141.pdf
Health and Safety Executive (HSE) (2008). Hand-arm vibration. The Control of Vibration at Work Regulations 2005. Guidance on Regulations, U.K., ISBN 978 0 7176 6125
1. Disponible en: http://www.hse.gov.uk/pubns/priced/l140.pdf Instituto Nacional de Seguridad e Higiene en el Trabajo
(INSHT) (1999). IV Encuesta Nacional de Condiciones de Trabajo. España.*
Instituto Nacional de Seguridad e Higiene en el Trabajo (INSHT) (2003). V Encuesta Nacional de Condiciones de Trabajo 2003. España.*
Instituto Nacional de Seguridad e Higiene en el Trabajo (INSHT) (2009). Guía Técnica para la Evaluación y Prevención de los Riesgos relacionados con las vibraciones mecánicas (R.D. 1311/2005). España.*
Instituto Nacional de Seguridad e Higiene en el Trabajo (INSHT), Centro Nacional de Verificación de Maquinaria (CVM) (2010a), Estudio del nivel de exposición a vibraciones mecánicas en diferentes puestos de trabajo. España.*
Instituto Nacional de Seguridad e Higiene el Trabajo (INSHT) (2010b). Calculadora de vibraciones mecánicas. España, [Consulta 21/1/13]. Disponible en: http://calculadores.insht.es:86/Vibracionesmec%C3%A1nicas/Entradadedatos.aspx
Instituto Nacional de Seguridad e Higiene en el Trabajo (INSHT) (2013), VII Encuesta Nacional de Condiciones de Trabajo 2011. NIPO 272-12-039-5 España.*
Instituto de Seguridad y Salud Laboral (ISSL) (2006). Las vibraciones mecánicas en el ambiente laboral. 2ª edn. Nº4. España.*
Lavin, N. (2008), NTP 792: Evaluación de la exposición a la vibración mano-brazo. Evaluación por estimación. Centro Nacional de Nuevas Tecnologías, Instituto Nacional de Seguridad e Higiene en el Trabajo. España.*
Pérez, G. (2010), Exposición Laboral a vibraciones. Ficha Técnica FT-01/2010, Instituto de Seguridad y Salud Laboral (ISSL), Región de Murcia. España. Disponible en: http://www.carm.es/web/pagina?IDCONTENIDO=6645&RASTRO=c721$m&IDTIPO=100
Pujol, L. (2009). NTP 839: Exposición a vibraciones mecánicas. Evaluación del riesgo. Centro Nacional de Nuevas Tecnologías, Instituto Nacional de Seguridad e Higiene en el Trabajo. España.*
Santurio, J.Mª, Rodríguez, J., Argüelles, E. (2006), Estudio de la exposición a vibraciones mano-brazo en el trabajo con máquinas-herramienta portátiles. Instituto Asturiano de Prevención de Riesgos Laborales, Universidad de Oviedo- Proyecto SV-PA-04-09. Disponible en: http://iaprl.asturias.es/export/sites/default/es/instituto/riesgos_laborales/higiene/proyectos/vibra_mano_brazo.pdf
Legislación
España. Real Decreto 1435/1992, de 27 de noviembre, por el que se dictan las disposiciones de aplicación de la Directiva del Consejo 89/392/CEE, relativa a la aproximación de las legislaciones de los Estados miembros sobre máquinas. BOE-A-1992-27456 (Derogado).*
España. Real Decreto 1215/1997, de 18 de julio por el que se establecen las disposiciones mínimas de seguridad y salud para la utilización por los trabajadores de los equipos de trabajo. BOE nº 188 07-08-1997.*
España. Real Decreto 1311/2005, de 4 de noviembre, sobre la protección de la salud y la seguridad de los trabajadores frente a los riesgos derivados o que puedan derivarse de la exposición a vibraciones mecánicas. BOE nº 265 05/11/2005.*
España. Real Decreto 1644/2008, de 10 de octubre, por el que se establecen las normas para la comercialización y puesta en servicio de las máquinas. BOE-A-200816387.*
Italia. Decreto legislativo 9 aprile 2008, n. 81 Attuazione dell’articolo 1 della legge 3 agosto 2007, n. 123, in materia di tutela della salute e della sicurezza nei luoghi di lavoro. Disponible en: http://normativo.inail.it/bdninternet/docs/Dlgs812008.htm
Normas UNE
UNE-EN ISO 5349-1 (2002). Vibraciones mecánicas, Medición y evaluación de la exposición humana a las vibraciones transmitidas por la mano. Parte 1: Requisitos generales, Madrid, Asociación Española de Normalización y Certificación (AENOR). Puede adquirirse en: http://www.aenor.es/aenor/normas/normas/fichanorma.asp?tipo=N&codigo=N0026649&PDF=Si#.US0 OjzAc9ap
UNE-EN ISO 5349-2 (2002). Vibraciones mecánicas, Medición y evaluación de la exposición humana a las vibraciones transmitidas por la mano. Parte 2: Guía práctica para la medición en el lugar de trabajo, Madrid, Asociación Española de Normalización y Certificación (AENOR). Puede adquirirse en: http://www.aenor.es/aenor/normas/normas/fichanorma.asp?tipo=N&codigo=N0026651 &PDF=Si#.US0OsjAc9ao
UNE ISO 2631-1 (2008). Vibraciones y choque mecánicos. Evaluación de la exposición humana a las vibraciones de cuerpo entero. Parte 1: Requisitos generales, Madrid, Asociación Española de Normalización y Certificación (AENOR). Puede adquirirse en: http://www.aenor.es/aenor/normas/normas/fichanorma.asp?tipo=N&codigo=N0041539&PDF=Si#.US0 PXTAc9ao
UNE-EN ISO 20643 (2008). Vibraciones mecánicas. Maquinaria sujeta y guiada con la mano. Principios para la evaluación de la emisión de las vibraciones, Madrid, Asociación Española de Normalización y Certificación (AENOR). Puede adquirirse en:http://www.aenor.es/aenor/normas/normas/fichanorma.asp?tipo=N&codigo=N0042223&PDF=Si#.US0 QfzAc9ao
UNE-CEN/TR 15350 IN (2008). Vibraciones mecánicas, Directrices para la evaluación de la exposición a las vibraciones transmitidas por la mano usando la información disponible incluyendo la información proporcionada por los fabricantes de maquinaria, Madrid, Asociación Española de Normalización y Certificación (AENOR). Puede adquirirse en: http://www.aenor.es/aenor/normas/normas/fichanorma.asp?tipo=N&codigo=N0041409 &PDF=Si#.US0M0zAc9ao
Calculadoras y aplicaciones informáticas de vibraciones
Health and Safety (HSE), Hand-arm vibration exposure calculator, Version 3 June 2005, Reino Unido, [Consulta 21/1/13] Disponible en: http://www.hse.gov.uk/vibration/hav/vibrationcalc.htm
Health and Safety (HSE), Whole body vibration calculator, Version 1.06 March 2006, Reino Unido, [Consulta 21/1/13]. Disponible en: http://www.hse.gov.uk/vibration/wbv/calculator.htm
Institut für Arbeitsschutz der Deutschen Gesetzlichen Unfallversicherung (IFA), Kennwertrechner für Hand- Arm-Vibrationsbelastungen, Alemania, [Consulta 21/1/13]. Disponible en: http://www.dguv.de/ifa/de/pra/softwa/kennwertrechner/index.jsp
Institut für Arbeitsschutz der Deutschen Gesetzlichen Unfallversicherung (IFA), Gefährdungsbeurteilung Hand-Arm-Vibration, Version 1.0, Alemania, [Consulta 21/1/13]. Disponible en: http://www.dguv.de/ifa/de/pra/softwa/kennwertrechner/index.jsp
Instituto Nazionale per L’Assicurazione contro gli Infortuni sull Lavoro (INAIL), Valutazione del rischio al sistema mano – braccio, Rev. 3 – 10/11/2010, Italia, [Consulta 21/1/13]. Disponible en: http://www.portaleagentifisici.it/fo_hav_valutazione_foglio_ di_calcolo.php?&lg=IT
Instituto Nazionale per L’Assicurazione contro gli Infortuni sull Lavoro (INAIL), Valutazione del rischio al sistema Corpo-Intero, Rev. 1 – 10/11/2010, Italia, [Consulta 21/1/13]. Disponible en: http://www.portaleagentifisici.it/fo_wbv_valutazione_foglio_ di_calcolo.php?&lg=IT
Institut National de Recherche et de Sécurité (INRS), Outil Simplifié d’Évaluation de l’exposition aux Vibrations (OSEV), v3b, Francia, [Consulta 21/1/13]. Disponible en: http://www.inrs.fr/accueil/risques/phenomene-physique/vibration.html
Instituto Nacional de Seguridad e Higiene el Trabajo (INSHT), Calculadora de vibraciones mecánicas, 2010, España, [Consulta 21/1/13]. Disponible en: http://calculadores.insht.es:86/Vibracionesmec%C3%A1nicas/Entradadedatos.aspx
Landesamt für Arbeitsschutz (LA), Ganzkörper-Vibrations-Belastungsrechner, Alemania, [Consulta 21/1/13]. Disponible en: http://bb.osha.de/docs/GKV_calculator.xls
Occupational and Environmental Medicine Department of Public Health and Clinical Medicine Umeå University, Exposure Calculator for Hand-Arm Vibration, Suecia, [Consulta 21/1/13]. Disponible en: http://www.vibration.db.umu.se/Default.aspx?lang=en
Occupational and Environmental Medicine Department of Public Health and Clinical Medicine Umeå University, Exposure Calculator for Whole-Body Vibration, Suecia, [Consulta 21/1/13]. Disponible en: http://www.vibration.db.umu.se/Default.aspx?lang=en
Bases de datos de vibraciones
Landesamt für Arbeitsschutz (LA), KarLA – Catalogue of Representative Noise and Vibration Data at the Workplace, Version 3.0, Germany, [Consulta 21/1/13]. Disponible en: http://www.las-bb.de/karla/db_links.asp
Instituto Nazionale per L’Assicurazione contro gli Infortuni sull Lavoro (INAIL), Banca Dati Vibrazioni Manobraccio, Italia, [Consulta 21/1/13]. Disponible en: http://www.portaleagentifisici.it/fo_hav_list_macchinari.php?&lg=IT
Instituto Nazionale per L’Assicurazione contro gli Infortuni sull Lavoro (INAIL), Banca Dati Corpo Entero, Italia, [Consulta 21/1/13]. Disponible en: http://www.portaleagentifisici.it/fo_wbv_list_macchinari.php?&lg=IT
Instituto Nacional de Seguridad e Higiene el Trabajo (INSHT), Base de datos de de vibraciones mecánicas (VIBRA), 2011, España, [Consulta 21/1/13]. Disponible en:http://vibraciones.insht.es:86/
Occupational and Environmental Medicine Department of Public Health and Clinical Medicine Umeå University, Database Hand-Arm Vibration, Suecia, [Consulta 21/1/13]. Disponible en: http://www.vibration.db.umu.se/HavSok.aspx?lang=en
Occupational and Environmental Medicine Department of Public Health and Clinical Medicine Umeå University, Datebase Whole-Body Vibration, Suecia, [Consulta 21/1/13]. Disponible en: http://www.vibration.db.umu.se/HkvSok.aspx?lang=en
Off-highway Plant and Equipment Research Centre (OPERC), Hand-Arm Vibration Test Centre (HAVTEC),
U.K. [Consulta 03/2/13]. Disponible en: http://www.operc.com/havtec/havinfo.asp (*) Referencias disponibles en: http://www.insht.es/























