Estudio de la gasificación térmica de biomasa en el laboratorio
Análisis mediante cromatografía de gases y espectrofotometría del gas obtenido en laboratorio a partir de biomasa
Antecedentes y generalidades
Hasta la Revolución Industrial, que supuso la introducción del carbón como fuente de energía, el hombre utilizaba fundamentalmente la biomasa para cubrir sus necesidades de calor e iluminación, es decir, aprovechaba los residuos agrícolas, forestales y domésticos y los transformaba en combustible. Actualmente, en los países en desarrollo, millones de personas siguen dependiendo de esta transformación directa de la biomasa para atender sus necesidades más básicas, como cocinar o calentarse, mientras que en los estados tecnológicamente avanzados se dedica parte de su economía, PIB (Producto Interior Bruto), a la investigación y de sarrollo de energías renovables a causa de la disminución en las reservas del petróleo y el incremento de su precio.
La gasificación térmica de la biomasa es una técnica de proceso diseñada para obtener un gas de síntesis, es decir, un producto que puede ser empleado para producir combustibles, productos químicos o energía. Puede definirse como un proceso pirolítico optimizado por el que una sustancia sólida o líquida con alto contenido en carbono es transformada en una mezcla combustible ga seosa mediante oxidación parcial con aplicación de calor. Las principales ventajas que presenta son:
1. Carácter renovable (abastecimiento casi ilimitado en ciertas áreas), amplia disponibilidad en diversas zonas geográficas, fuente de energía limpia (bajo contenido en azufre, nitrógeno y cenizas) y disminución de las emisiones de CO2 (el CO2 obtenido en este proceso es el mismo que las plantas captaron durante su crecimiento, con lo que no supone un incremento de este gas en la atmósfera.
Los principales inconvenientes en su aprovechamiento son:
1. Mayor coste de producción (frente a la energía que proviene de los combustibles), menor rendimiento energético (en comparación con los combustibles fósiles), producción estacional, materia prima de baja densidad (mayor coste en trans-porte y almacenamiento) y mayor coste en tratamientos previos (trituración, compactación, etc.).
El gas obtenido de dicho proceso se puede emplear en producción de energía en procesos de combustión (sólo o en combinación con gas natural), calderas comerciales para producir energía térmica, motores de combustión interna para producir energía eléctrica y térmica y turbinas de gas en ciclos simples o combinados para producir energía eléctrica.
El gas producido en la gasificación depende del tipo de reactor, el agente gasificante empleado y las características de la biomasa. En nuestro trabajo el reactor es experimental, la biomasa procede de residuos urbanos y el agente gasificante es el vapor de agua. El gas que se obtiene está compuesto principalmente por CO, CH4, H2, CO2 y H2O, su poder calorífico es ˜ 2.500-4.000 kcal/Nm3 y el esquema de las reacciones involucradas se puede ver en la figura 1.
Objetivos generales y programa de trabajo
El objetivo del presente estudio ha si-do el de diseñar un montaje adecuado para el análisis del gas obtenido a partir de la gasificación proveniente de biomasa en un gasificador experimental de laboratorio en semi-continuo con vapor de agua a presión cercana a la atmosférica. Se ha preparado un circuito para analizar el gas producido en un cromatógrafo de gases de dos columnas y en un espectrógrafo IR. Se han seguido las etapas siguientes:
1. Diseñar un montaje para la calibración del cromatógrafo de gases y verificación de que en las columnas se consigue una separación correcta.
2. Realización de ensayos en by-pass y en serie para determinar el tiempo de retención del H2, CO2, O2 CO, N2 y aire.
3. Calibrado del cromatógrafo con H2, O2, N2 y CO2.
4. Idear y diseñar un montaje que permita el análisis directo del gas de síntesis.
5. Ensayos con biomasa para la verificación del método de análisis así como del montaje.
Procedimiento experimental y equipo utilizado
Técnica para el calibrado del cromatógrafo de gases
Se ha empleado cromatógrafo de gases Varian modelo CP3800. Para determinar la concentración de CO, CH4, H2, O2, N2 y de hidrocarburos en general se ha empleado la columna molécular Sieve 5A permite, mientras que para detectar el CO2 se ha utilizado la columna Hayesep Q.
Para el calibrado se ha realizado un montaje en el que se produce la del gas que se quiere calibrar y el He (utilizado como gas vector) antes de la entrada al cromatógrafo (figura 2).
El caudal de gas a calibrar se regula haciéndolo pasar por un debímetro antes de realizar la mezcla gaseosa con el gas vector, el cual tiene un caudal fijo de 20 mL/min. Un controlador de caudal permite obtener diversos porcentajes de abertura de la válvula del debímetro, y de esta forma se puede modificar la concentración del gas sometido a ensayo.
En las curvas de calibrado de cromatógrafo de gases se relaciona la fracción molar del componente gaseoso con el área obtenida. Los ensayos han sido realizados en serie y en by-pass, puesto que el cromatógrafo dispone de dos columnas.
Instalación experimental de gasificación de biomasa
El componente principal del equipo experimental lo constituye el reactor de la figura 3, en el que tiene lugar la gasificación de la biomasa. Las principales características son:
1. Carácter isotérmico (inexistencia de puntos calientes que pudieran dar lugar a fenómenos de sinterización o aglomeración de las cenizas producidas).
2. Alta transmisión del calor.
3. Admite sólidos (biomasa) de tamaños, formas, humedades y origen muy variados.
El reactor consiste en una célula de cuarzo constituida por dos partes, las cuales se sujetan gracias a hilos de platino. En el interior de dicha célula se encuentra un soporte de cerámica, la porosidad del material cerámico permite el paso del vapor de agua (agente gasificante), sobre dicho soporte se deposita la biomasa. El aporte de calor al reactor se realiza por un horno eléctrico que lo rodea, conectado a dos controladores de temperatura.
Procedimiento para el análisis directo del gas de síntesis
La entrada del agente gasificante (vapor de agua) se realiza por la parte inferior y la salida del gas producto por la parte superior (figura 4). Como generador de vapor se ha utilizado un balón de 500 mL que suministra la cantidad de vapor de agua suficiente para gasificar unos 30 g de biomasa. El gas obtenido a la salida del reactor es dirigido a un matraz Erlemmeyer que está en un baño de hielo, donde se condensa el agua y los alquitranes.
Además de la entrada de gas producto, también hay una entrada para el helio (gas vector), y una salida que conecta directamente con el cromatógrafo de gases.
Los análisis en el cromatógrafo pueden hacerse en by-pass o en serie. Gracias a disponer de estas dos opciones se puede conseguir una mejora en la selectividad de los diferentes compuestos y mayor precisión en los análisis.
El gas producto que sale del cromatógrafo se envía directamente a una célula cilíndrica de gas ubicada en el espectrofotómetro Perkin Elmer FTIR modelo Paragon 500. La muestra se expande en dicha cubeta, que está equipada con placas NaCl (transparentes al IR). La célula está rodeada de hilos recalentados (resistencia eléctrica), alimentados por corriente eléctrica, que regulan la temperatura adecuada del gas para que éste no se diluya. Se ha habilitado también una entrada de aire a la célula, con el fin de crear un ambiente de gas que sea casi idéntico de una experiencia a otra. Una purga sale de la célula con el fin de evacuar el gas al exterior y no modificar dicho ambiente
Técnica operativa y cálculos para el calibrado
Calibrado del cromatógrafo con H2, O2, N2 y CO2
1. Realización de la recta que relaciona el porcentaje de obertura de la válvula con el caudal que se obtiene (figura 5).
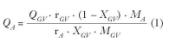
2. Se fija el rango de concentraciones para el He y se realiza el cálculo indicado en la ecuación (1) para determinar cuál es el caudal que corresponde del gas a analizar.
donde:
QA = Caudal del gas a analizar (ml /min.).
QGV = Caudal del gas vector (ml/min.),fijado a 20 mL /min.
rA = densidad del gas a analizar.
rGV = densidad del gas vector (en este caso
el He).
XGV = fracción molar del gas vector
MA = Masa molar del gas a analizar.
MGV = Masa molar del gas vector (en este caso el He).
XGV y XGV se calculan aplicando las ecuaciones (2) y (3).
donde:
P = Presión de la columna (Pa)
T = Temperatura del horno (K)
R = 8,314 J / (kg·mol·K)
y
1. Con la recta de calibrado del debímetro se determina la relación entre el porcentaje de abertura de la válvula y caudal que lo atraviesa.
2. Se fijan caudales de gas con distintos porcentajes de obertura de la válvula, con lo que se obtienen diferentes concentraciones de éste. Se calcula la XGA correspondiente a cada porcentaje de obertura.
3. Se relaciona el área medida a la salida del cromatógrafo con la correspondiente concentración calculada para cada caudal de gas.
4. Se siguen los pasos indicados con los componentes de la corriente de biomasa gasificada, obteniendo las correspondientes curvas de calibrado (ver figuras 6a a 6d).
Desarrollo de la técnica operativa para el análisis
En la fase de gasificación, se obtienen varias fracciones de productos que se separan básicamente en residuo carbonoso y gas producto. El residuo car bonoso de la biomasa, generado en el proceso y no reaccionado con el vapor de agua, queda en forma de lodo en el soporte cerámico, y se determina por diferencia de pesada después de su combustión en un horno mufla de 550 ºC a 950 ºC.
En el gas producto, que es la fracción más importante, se determinará el contenido en H2, CO2, O2 CO, N2 y aire. En la tabla 1 se muestra el valor del tiempo de retención, que es el tiempo que tarda en ser detectado cada componente desde que entra en la columna.
Los cromatogramas (figura 7), permiten cuantificar la concentración de cada componente de la biomasa gasificada, en virtud de las curvas de calibrado (figuras 6a a 6d). La identificación de cada componente se realiza gracias a su tiempo de retención (tabla 1), determinado previamente con la disposición de las dos columnas en serie o bien en paralelo.
Además de lo indicado, la cromatografía cumple una importante función de separación de todos los componentes de la mezcla gaseosa, permitiendo el siguiente análisis por espectrofotometría infrarroja componente a componente.
Los espectrogramas de infrarrojos proporcionan principalmente una información de tipo cualitativo. En el espectro de cada componente hay unas bandas de absorción características que lo distinguen fácilmente de los del resto. Analizando las bandas obtenidas en el espectro de cada componente separado por la columna del cromatógrafo de gases, y comparándolo con los espectos IR de referencia elaborados con los patrones se pueden identificar los hidrocarburos, el CO, etc. Sólo las especies homonucleares, debido a su simetría molecular, no absorben en la región del IR.
Con los resultados obtenidos del tiempo de retención para los componentes puros (ver tabla 1), se ha determinado la secuencia de cambios de serie a by-pass más adecuada para realizar el análisis cualitativo del gas producto sin obstruir las columnas. Esto es importante, puesto que el CO2 no se puede pasar por la segunda columna, la molecular Sieve A, ya que se obstruye debido al tamaño de la molécula. Así pues, los análisis de la biomasa se deben realizar en serie hasta 1,50 minutos, pasando a by-pass hasta el minuto 4, en que se debe volver a serie hasta el minuto 10. De esta forma, el CO2 (figura 8) queda retenido en la primera columna, mientras que los demás productos (CO, CH4, H2, O2, N2 e hidrocarburos en general) son detectados en la segunda columna. La disposición serie hasta el minuto 10 es para que dé tiempo a que las columnas se acondicionen antes de la siguiente inyección de gas producto.
Conclusiones y recomendaciones técnicas para los análisis
A partir de las experiencias de puesta a punto del cromatógrafo, se pueden indicar algunas recomendaciones técnicas y opciones de mejora para el aprovechamiento óptimo del equipo:
1. Realizar una inyección en el cromatógrafo y un análisis en el espectrofotómetro cada 50 ºC, a partir de los 200 ºC, para estudiar la evolución de la gasificación.
2. El metano, uno de los principales gases a analizar, se puede detectar en las dos columnas (es decir, que se puede detectar tanto en serie como en by-pass).
3. Una vez finalizado el proceso de gasificación, determinar el residuo carbonoso de la muestra que se ha sometido a ensayo.
4. Repetir periódicamente el calibrado del cromatógrafo.
5. Impregnar la biomasa con K2CO3. Los carbonatos alcalinos promueven las reacciones del vapor de agua con el residuo carbonoso, con los alquitranes y con los hidrocarburos, y esto permite eliminar los alquitranes sin tener que trabajar a temperaturas muy elevadas.
6. Acondicionar las columnas al finalizar cada experiencia, por lo menos durante seis minutos.
Bibliografía
C. Franco, F. Pinto, I. Gulyurtlu, I. Cabrita. The study of reactions influencing the biomass steam gasification process. Fuel. Vol. 82 (7). Pags. 835-842. 2003.
J. M. González Saiz. Gasificación de Biomasas con vapor de agua en Lecho Fluidizado. Servicio de Publicaciones de la Universidad de la Rioja. 2003.
P. McKendry. Energy production from biomass (part 3). gasification technologies. Bioresource technology. Vol. 83 (1). Págs. 55-63. 2002.
D. A. Skoog, F. James Holler y Timothy A. Nieman. Principios de Análisis Instrumental. Editorial McGraw Hill, quinta edición, 2001.
Internet
http://www.chem.cinvestav.mx/RLQ/tutoriales/cromatografia/thin.html
http://epsar.cop.gva.es/depuradorasv/valenciano/estudios/aguas%20residuales.pdf
http://www.estrucplan.com.ar/contenidos/Impacto/Energias/biomasa/casos08.asp
http://www.energies-renouvelables.org/observer/stat_baro/eufores/baro164.pdf
RESUMEN
En el presente trabajo se ha ideado un montaje para el análisis directo del gas de síntesis que se obtiene al gasificar biomasa en una instalación de laboratorio. Se ha empleado un cromatógrafo de gases (análisis cuantitativo) y un espectrofotómetro IR (análisis cualitativo). La mayor dificultad en la puesta a punto de este método de análisis ha sido la calibración del cromatógrafo de gases, así como la determinación de los tiempos de retención en serie y by-pass de los componentes gaseosos: H2, CO2, O2, CO, N2 y aire. Los resultados obtenidos han permitido establecer los tiempos más adecuados para el análisis en serie y by-pass del gas producto. Se han calibrado los dispositivos de análisis y se ha verificado el correcto funcionamiento del montaje experimental ideado, y su adecuación a los ensayos con biomasa.








(1)



