Carga de una batería y electricidad, dos términos de utilización confusa
El lenguaje puede inducir en ocasiones a la transmisión de conceptos técnicos erróneos, como se muestra con la utilización de estos dos términos eléctricos
Los nombres con que se designan los conceptos suelen ser la primera información que se recibe sobre lo designado y, para muchos, la única. Los términos que nombran conceptos científicos y técnicos son el resultado de la selección que la comunidad científica realiza sobre ellos. Como el resto del conocimiento que llamamos ciencia, las palabras empleadas están sometidas a revisión permanente a través de los libros y artículos que sobre cada materia se publican. Pero este proceso de selección no siempre produce óptimos resultados. El término “fuerza electromotriz” es un ejemplo habitual-mente citado de nombre mal elegido, porque es energía por unidad de carga eléctrica y no fuerza. Por eso su unidad de medida es el julio por culombio, que es el voltio, y no el newton. No obstante, a pesar de su incorrección, se mantiene por su arraigo, lo que no impide que induzca a creer que designa fuerza en vez de energía por unidad de carga. Analizaremos aquí otros dos ejemplos de especial importancia por la amplitud y la frecuencia de su empleo.
La carga de una batería
Puede creerse que lo que almacena una batería eléctrica es carga eléctrica, que las baterías, tal como las de los automóviles, son recipientes en los que se aglomera carga eléctrica. El error puede tener diversos orígenes, pero, desde luego, a él contribuyen no poco expresiones como “cargar una batería” y “carga de una batería”, que son las habitualmente empleadas y que parecen difícilmente sustituibles, porque realmente no son incorrectas si se interpretan bien. El nombre “carga” tiene aquí su significado general de cosa que se almacena para ser transportada o para mantenerla en reserva; designa lo mismo que cuando nos referimos a la carga de un camión, de un barco, de un avión o de un depósito; no se especifica la clase de contenido. Lo que ocurre en el caso de las baterías eléctricas es que se tiende a atribuir a la palabra “carga” su significado eléctrico, y se piensa en “carga eléctrica”. Así, no es extraño que la expresión cargar una batería se interprete como llenarla de carga eléctrica o de car-gas eléctricas, cuando lo que se debe entender es que la batería se llena de energía, que es lo que realmente almacena. Es verdad que ser un recipiente de carga eléctrica no es incompatible con almacenar energía. Es decir, si una batería realmente almacenara carga eléctrica, o sea, que la suma de sus cargas positivas y negativas no fuera cero, como lo es, también almacenaría energía. Esta energía sería entonces la energía electrostática de esa aglomeración de carga. Pero, como veremos, no es energía electrostática la que almacena.
Puede contribuir al error la unidad práctica con que se mide indirectamente la carga de una batería, el amperio/hora (Ah), que es una unidad de carga eléctrica equivalente a 3.600 culombios (1Ah = 1A × 1h = 1A × 3.600 s = 3.600 C). Así, las baterías se caracterizan por su fuerza electromotriz y por su “carga” o “capacidad” en amperios/hora. Por ejemplo, muchas baterías de automóviles son de 12 voltios y 40 amperios/hora. Desde luego que tampoco aquí la acepción de la palabra “capacidad” de una batería tiene que ver con el concepto físico de capacidad de un condensador, sino que, de nuevo, es la del lenguaje común: tiene el significado de “lo que cabe” en la batería y, por tanto, es sinónimo de carga de la batería, de energía que almacena. Se puede decir que la capacidad de una batería es de 40 amperios/hora o que la carga de una batería es de 40 amperios/hora. Ambas expresiones son correctas, pero ha de tenerse claro que las acepciones de las palabras “carga” y “capacidad” son aquí las del lenguaje ordinario, y que los culombios de carga eléctrica a que equivalen los 40 amperios/ hora no se almacenan en el recipiente que es la batería, sino que, como después veremos, sólo pasan por ella en un sentido al cargarse y, en el opuesto, al descargarse.
La procedencia de la carga
Los conceptos erróneos producen una notable incomodidad al asimilarlos como verdaderos, por la dificultad de encajarlos con el conocimiento correcto que se posea. Esta incomodidad es el mejor indicio de que nuestro nuevo conocimiento puede no ser el adecuado. A veces, un análisis detallado utilizando esos otros conocimientos ya adquiridos puede bastar para desechar el posible error. Educar en la práctica de comprobar la compatibilidad de lo recientemente aprendido con lo ya sabido es una buena protección contra la asimilación de conceptos erróneos.
Siguiendo con el ejemplo, intentaremos acomodar ahora la errónea idea de que las baterías almacenan carga eléctrica con otros conocimientos. Enseguida aparecerá la imposibilidad del encaje.
Una primera dificultad que surge, si creemos que las baterías almacenan carga eléctrica, es el signo de esa carga, positivo o negativo, electrones o protones.
La inclinación suele ser favorable a los electrones, porque suele entenderse, con razón, que es más difícil conseguir pro-tones, que están en los núcleos de los átomos. Pero, si son electrones los que almacena la batería, ¿de dónde proceden?, ¿de conductores metálicos? En ese caso, esos conductores quedarían cargados positivamente con una carga muy grande, pues para introducir 40 amperios/hora en una batería se necesita extraer de algún sitio 144.000 culombios (40 Ah = 40 A × 3.600 s = 144.000 C).
A veces, ante este razonamiento, surgen algunas respuestas que se inclinan por los iones, principalmente en aquellas personas que tienen una cierta formación química. Pero, enseguida se repite la misma pregunta a la que es difícil responder: ¿qué clase de iones?, ¿positivos o negativos? Si son negativos, los electrones en exceso han tenido que salir de algún sitio, y se reproduce la dificultad inicial. Si son positivos se han cedido electrones a otro cuerpo, que se habrá cargado negativamente. ¿Qué cuerpo es ese?
Otra dificultad de encaje surge si se considera la intensidad de carga de una batería: si realmente almacenara carga eléctrica, la intensidad que entra en ella por un terminal debería ser distinta de la que sale por el otro, lo que no ocurre ni en la carga ni en la descarga: la intensidad a través de cualquier sección del circuito es la misma.
La fuerza de repulsión
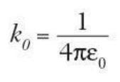
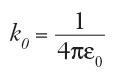
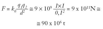
Se puede hacer una estimación de la fuerza de repulsión de las hipotéticas car-gas aglomeradas. Aunque sólo se almacenaran dos culombios de carga negativa o dos culombios de carga positiva, la fuerza de repulsión entre esas cargas sería enorme, cualquiera que fuera la forma de repartirlas dentro de la pequeña caja que es la batería. Si, para simplificar el cálculo, suponemos que se distribuyen los dos culombios en dos esferas dentro del recipiente, la fuerza de repulsión entre esas dos esferas es la misma que si la carga de cada una estuviera situada en su centro. Así, podemos aplicar la ley de Coulomb para hallar esa fuerza de repulsión. Si imaginamos los centros de las esferas separados, digamos, 10 cm, que es una distancia acorde con las dimensiones de una batería, y tomamos para la constante de Coulomb K0 ? 9 × 109 Nm2/ C2, la fuerza de repulsión vale
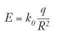
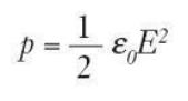
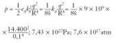
unos 90 millones de toneladas. Las paredes de una batería no son tan resistentes: evidentemente ellas no pueden contener esos dos culombios. Nótese, además, que, para hacer este cálculo, hemos ignorado la fuerza de repulsión entre las cargas de una misma esfera. Si quisiéramos apelmazar dentro del recipiente no sólo dos culombios, sino los 144.000 que constituyen la carga de una batería ordinaria, la fuerza que habría que hacer para contenerlos sería mucho mayor. Se podría pensar que los conductores, los metales, podrían servir para retenerlos en su superficie. Por ejemplo, podríamos intentar que una esfera o cáscara esférica metálica de radio retuviera una carga q = 144.000 C. Entonces esa carga se situaría uniformemente repartida en la superficie externa de la esfera, y la presión con que la propia carga se repelería a sí misma tratando de expandirse es
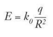
E es el campo eléctrico en un punto exterior de la superficie de la esfera, que vale
y e0 la permitividad de vacío. Como
resulta que
Más de 1017 veces la presión atmosférica, una presión inconcebible, que la haría explotar como una potente bomba. Realmente, antes de que esto ocurriera las cargas saldrían del conductor repelidas por esa fuerza.
Cualquier reparto de carga en un conductor con forma distinta de una esfera produciría en algunos de sus puntos presiones aún mayores.
La energía electrostática
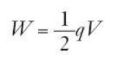
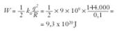
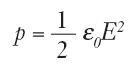
Pero aún mejor que hallar la fuerza de repulsión entre las cargas sería estimar la energía electrostática que esa aglomeración de 144.000 culombios almacenaría. La energía electrostática es la energía que se debe a la fuerza entre las cargas, es decir, la energía de la expansión que se produciría si, al dejarlas sólo sometidas a sus propias fuerzas de repulsión, se les permitiera dispersarse. Puesto que se trata de una estimación, para que resulte sencillo el cálculo, supondremos de nuevo la carga de 144.000 culombios, que designaremos por q, distribuida uniformemente en la superficie de la esfera conductora anterior. Entonces la energía electrostática es1
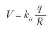
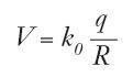
donde el potencial V es el de cualquier punto de la superficie de la esfera, que es el potencial del conductor, y vale
Por tanto,
Como 1kWh = 1kW × 1h = 1.000W × 3.600s = 3,6 × 106 J, dividiendo por 3,6 × 106, resulta que esa energía es W = 2,6 × 1014 kWh.
Para hacernos una idea de esa cantidad, averiguaremos cuánto tardarían las dos centrales de Aldeadávila en producirla. La potencia instalada en las centrales de ese salto es, en números redondos, 1,2 GW. Si ambas centrales funcionaran a plena potencia, la energía que producirían cada año se obtiene multiplicando por el número de horas de un año:
1,2 × 365 × 24 = 10.512 GWh = = 10.512 × 106 kWh
Por tanto, funcionando ininterrumpidamente a plena potencia, las dos centrales de Aldeadávila tardarían en cargar nuestra batería un tiempo
t= (2,5 x 1014 /10.512 x 106 ) = 24,6 x 103 años = 246 siglos
Como se ve, la interpretación de que la carga de una batería consista en almacenar carga eléctrica no encaja en absoluto con lo razonable.
La energía que realmente almacena una batería
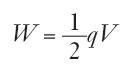
La fuerza electromotriz e de una batería es la energía que la batería entrega a la red cuando por ella circula un culombio en el sentido de la fuerza electromotriz, es decir, desde el terminal negativo al positivo por dentro de la batería. O sea, si pasan q culombios, la batería entrega una energía que vale qe. Por el contrario, si se hace pasar un culombio desde el terminal positivo al negativo por dentro de la batería, ésta almacena la energía e, que ahora se llama fuerza contraelectromotriz. Por tanto, si se hace pasar así la carga q, la energía que almacena la batería es qe. Cuando se carga una batería de 12 V y 40 Ah, se hacen pasar los 40 Ah de forma que el sentido de la intensidad sea desde su terminal positivo al negativo por dentro de la batería. La energía que almacena entonces es
W = qe =40 x 12 = 480 AhV = = 480 Wh = 0,480 kWh
Casi medio quilovatio hora. Esta es, realmente, la energía que almacena una batería ordinaria de automóvil, aproximadamente la misma que consume un horno de microondas doméstico de 1.000 W durante media hora de funcionamiento ininterrumpido (las potencias de estos hornos suelen estar entre los 700 y 1.200 vatios).
El último cálculo muestra la ventaja de utilizar el amperio/hora como unidad de carga eléctrica. Con ella es muy fácil hallar la energía que la batería almacena: basta multiplicar esa carga en amperios/hora por la fuerza electromotriz en voltios y se obtiene en vatios/hora la energía que la batería almacena. Si se divide por mil, se obtiene en quilovatios/hora, quizá la unidad de energía más conocida entre los ingenieros eléctricos.
Es del todo inevitable que existan influencias terminológicas o de otra índole que afecten negativamente a los conocimientos que se adquieren o, incluso, a los ya correctamente asentados. Sin embargo, con frecuencia es posible, sólo con los propios conocimientos, un análisis crítico de esas influencias, si no para contrarrestarlas del todo sí, al menos, para poner en duda la información errónea que pueden transmitir. El encaje con el resto de los conocimientos que se poseen es una buena prueba de calidad para las nuevas informaciones que se reciben.
De dónde procede la energía de una batería
La energía qe que la batería entrega al circuito, cuando circula por él la carga q, procede de una reacción química: un compuesto se transforma en otro con liberación de energía. En la clásica pila Daniell, por ejemplo, con electrodos de cobre y cinc en ácido sulfúrico, disminuye la cantidad de sulfato de cobre y aumenta la de sulfato de cinc cuando la batería se descarga. La energía que se libera es la que se entrega al circuito. Es decir, la energía almacenada en una batería es energía química. Si la reacción es reversible, haciendo circular corriente eléctrica desde el terminal positivo al negativo por dentro de la batería, se le comunica energía, que es almacenada por regeneración del compuesto inicial.
Energía eléctrica
Como hemos dicho, la energía electrostática es la energía potencial de una distribución de carga eléctrica, que es la energía necesaria para conseguir situar la carga eléctrica según esa distribución. Los científicos no designan esta energía con el nombre de energía eléctrica, sino con su nombre específico de energía electrostática. Se reserva la expresión “energía eléctrica” para la intercambiada entre dos partes de una red eléctrica. Por eso nosotros definimos la energía eléctrica como “la energía que se intercambia entre cuerpos o partes de ellos por medio de corrientes eléctricas.
Este intercambio se realiza, en síntesis, así: aplicando fuerzas sobre las car-gas libres, un cuerpo, el generador, les comunica energía y produce el movimiento de estas cargas, que es la corriente eléctrica. Las cargas libres ceden esta energía a otros cuerpos. Por ejemplo, la energía mecánica comunicada a un grupo turbina/alternador puede entregarse a un motor a través de corrientes eléctricas, o a una resistencia, que aumenta su energía interna y quizá emita calor, o a una batería de acumuladores eléctricos, que aumenta la energía de sus enlaces químicos. Para el intercambio suelen organizarse conductores en forma de líneas eléctricas, aunque también puede intercambiarse energía por medio de los iones de los gases, de disoluciones y de los portadores de los semiconductores. Nótese que, en cualquier caso, la energía eléctrica es una energía en tránsito de un cuerpo a otro: un alternador recibe energía mecánica y entrega a la línea energía eléctrica, que es recibida por el motor, que la vuelve a transformar en mecánica. Esa energía se llama eléctrica sólo en el intercambio. Conviene, por tanto, matizar la afirmación muy extendida de que la energía eléctrica no se puede almacenar. La energía sí se puede almacenar, lo que ocurre es que, entonces, deja de llamarse eléctrica: es química si se almacena en una batería, es potencial si se almacena elevando agua con bombas, como se hace en las centrales de bombeo, o es energía interna si se calienta agua o ladrillos, como se hace en los radiadores de tarifa nocturna, que se calientan por la noche. Es decir, la energía eléctrica es una energía en tránsito: cuando deja de serlo, como cuando la almacenamos, ya no la llamamos eléctrica, le damos otros nombres. Algo similar pasa con el calor, que también es una energía en tránsito, pues en termodinámica se llama calor a la energía que pasa de un cuerpo a otro sólo por la diferencia de las temperaturas de los dos cuerpos. Por eso también podría decirse que el calor no se puede almacenar, pues en cuanto esa energía pasa a un cuerpo cuyo volumen no cambia, ya no se llama calor, sino energía interna de ese cuerpo. Lo mismo ocurre con la energía eléctrica, que puede comunicarse a una masa de agua al elevarla por medio de bombas, y entonces se almacena en forma de energía potencial. Ha cambiado de nombre, pero es la misma energía, ahora almacenada. Este es, como es sabido, el método que utilizan las compañías eléctricas para almacenar energía en gran cantidad.
Electricidad
La palabra “electricidad” puede transmitir información errónea si se emplea en lugar de “energía eléctrica”. La comunidad científica atribuye sólo dos significados a “electricidad”: uno, la propiedad de algunos cuerpos por la que se atraen o repelen con fuerzas que resultan de la aplicación de la ley de Coulomb, y otro, la ciencia que estudia los fenómenos que se derivan de esta propiedad. Sin embargo se oyen y se leen expresiones como “La producción de electricidad este año ha sido mayor que el anterior”, “El precio de la electricidad ha aumentado”, “Las centrales nucleares producen un gran porcentaje de la electricidad que consumimos”, “El intercambio de electricidad con Portugal es muy alto”, etc. Como las expresiones correctas son “El precio de la energía eléctrica…”, “La producción de energía eléctrica este año…”, “El intercambio de energía eléctrica con Portugal…”, etc., parece que se emplea conscientemente la palabra “electricidad” con el significado de energía eléctrica. Sin embargo, el contexto en que se encuentran esas expresiones no suele ser el de la precisión científica, ni indicar que esa utilización sea meditada, sino más bien producto de la reproducción sistemática de una forma de hablar fuertemente instalada en ciertos ámbitos periodísticos, de la economía y del derecho principalmente.
Una razón para preferir en estos medios “electricidad” a “energía eléctrica” puede ser lo que se llama economía del lenguaje: es más corto y más fácil decir “electricidad” que “energía eléctrica”, pero también la idea de objeto que se fabrica, se transporta, se vende, se compra… que la palabra electricidad parece transmitir. Cuando se importa carbón, petróleo o gas, lo realmente válido es la energía que contienen. Sin embargo, el lenguaje comercial emplea las toneladas de carbón, de petróleo o de gas para entenderse: se habla de importar carbón, petróleo o gas, y no de su energía, que al final es lo que cuenta. Es decir, en todos estos casos la energía está contenida en un cuerpo, que es con el que se comercia. No es así en el caso de la energía eléctrica. Importar de Francia 5.000 gigavatios/hora en forma eléctrica no significa que introduzcamos en España un cuerpo que contenga esa energía. Ni siquiera que pasan electrones de un país a otro, pues sólo oscilan ligeramente en los conductores. Lo único que pasa de un país a otro es energía, no otra cosa. Lo mismo cuando se genera, se vende, se compra o se consume energía eléctrica. Sin embargo, no es fácil para los no especialistas concebir la energía aislada de algo que la contenga, sino que se prefiere situarla en algún cuerpo, como el representado por la palabra “electricidad”, aunque esa representación sea notablemente confusa. Y así se adquiere la idea de la electricidad como contenedor de la energía, como lo son el carbón, el petróleo y el gas. Y es el contenedor, o sea la electricidad, la que se cree que se fabrica o se produce en las centrales, la que se cree que se transporta, se vende, se compra y se consume. Que es ésta la idea que transmiten al lector los escritos que están redactados con la palabra electricidad, donde debería decir energía eléctrica, puede comprobarse con la sola lectura de unos cuantos.
La utilización ambigua del término “electricidad” no es nueva. Desde siempre ha estado presente, principalmente en los documentos legislativos, donde las centrales eléctricas llegaron incluso a denominarse en algunas normas legales –Real Orden de 1º de enero de 1911– de la primera mitad del siglo pasado “fábricas de electricidad”. Este nombre no se oye ahora, pero se puede retornar fácilmente a él si el significado de “electricidad” sigue tendiendo hacia “energía eléctrica”, pues ya se dice que las centrales eléctricas “producen electricidad”; por tanto, sólo hay un paso para volver a llamarlas fábricas de electricidad, lo que sería avanzar más hacia la confusión.
Lo que dicen los diccionarios
La utilización del término “electricidad” con el significado más o menos confuso de “energía eléctrica” aparece también en ciertos diccionarios, algunos incluso con carácter de especializados. En otros, por el contrario, las definiciones son más próximas a los conceptos científicamente correctos. Este es el caso del Espasa, Enciclopedia Universal Ilustrada Europeo Americana que, sin ser una enciclopedia especializada, y a pesar de la antigüedad del volumen que contiene la definición, que aparece en el tomo XIX, editado con anterioridad al 30 de mayo de 1921, define “electricidad” como: “Agente natural muy poderoso, que se manifiesta por atracciones y repulsiones, por chispas y penachos luminosos, por las conmociones que ocasiona en el organismo animal y por las descomposiciones químicas que produce. Se desarrolla por frotamiento, presión, calor, acción química, etc.”. Esta es también la única definición que incluye en su novena edición, de 1970, de la Real Academia del Diccionario de la Lengua Española.
El Vocabulario Científico y Técnico de la Real Academia de Ciencias Exactas, Físicas y Naturales se aproxima mucho a las dos definiciones científicamente correctas: “Electricidad: Parte de la física que estudia los fenómenos que proceden de la interacción de cargas eléctricas. Cualidad de los electrones y núcleos atómicos responsable de las propiedades de los átomos y de las moléculas”. La segunda definición realmente no caracteriza a la electricidad, pues la masa de los núcleos, que incluye la de los neutrones, es una cualidad también responsable de algunas propiedades de los átomos y moléculas como, por ejemplo, de su peso atómico y molecular.
El Diccionario de Términos Científicos y Técnicos de McGraw-Hill, Boixareu. Mar-combo, de 1981, aunque mucho menos preciso, se mantiene aproximadamente dentro de la misma idea: “Electricidad. Fenómeno físico que incluye cargas eléctricas y sus efectos, tanto en reposo como en movimiento”.
En la definición nada precisa de la Nueva Enciclopedia Larousse, aparece la palabra energía: “Electricidad: Nombre dado a una de las formas de energía que se supone debida a la separación o movimiento de ciertas partes constituyentes del átomo, llamadas electrones, y que se produce cuando se frotan dos cuerpos o incluso en una acción mecánica cualquiera (la compresión, por ejemplo), o bien en la acción del calor sobre ciertos cristales, etc., y que manifiesta su acción por medio de fenómenos de atracción o de repulsión, o bien por medio de fenómenos mecánicos, caloríficos, químicos, etc. Parte de la física que estudia los fenómenos eléctricos”.
También el Diccionario Científico y Tecnológico Chambers, de 1979, da una definición ambigua con la inclusión de la palabra energía: “Electricidad. La manifestación de una forma de energía que se supone debida a la separación o movimiento de ciertas partes constituyentes del átomo, llamadas electrones”.
Las dos únicas acepciones que la vigesimaprimera edición de la Real Academia del Diccionario de la Lengua Española asigna a la palabra “electricidad” se aproximan a las científicas: “Agente fundamental constitutivo de la materia en forma de electrones (negativos) y protones (positivos) que normalmente se neutralizan. En el movimiento de estas partículas cargadas consiste la corriente eléctrica. Parte de la física que estudia los fenómenos eléctricos”. La segunda acepción es correcta. La primera, sin embargo, parece identificar a los electrones y protones con la electricidad, que es una de sus propiedades, como también lo son la masa en reposo y el spin, por ejemplo; pero, evidentemente, la definición de “electricidad” se aproxima al concepto de “propiedad”, con el que, sin mucho esfuerzo, se puede identificar “agente”. Sin embargo, en su vigesimasegunda edición, la última, la Academia añade otra acepción, que numera como la segunda, y que coloca después de la ya citada como primera. La nueva segunda acepción es: “Forma de energía basada en esta propiedad, que puede manifestarse en reposo, como electricidad estática o en movimiento, como corriente eléctrica, y que da lugar a luz, calor, campos magnéticos, etc.”. Es decir, incorpora la acepción de forma de energía, incluyendo la confusión inherente a ese significado. Nuestra opinión es, pues, que esa acepción debiera eliminarse.
Si progresara el empleo de la palabra “electricidad” como sinónimo de energía eléctrica, estaríamos ante otra grave causa de confusión de conceptos, achacable a los términos, pues se transmitiría la idea de que los generadores de una central producen, crean la “electricidad” que se consume en los hogares y en las fábricas. Interpretar que los generadores crean cargas eléctricas que se envían por los cables hasta los receptores donde son consumidas sería, entonces, de lo más natural. De hecho, eso es lo que mucha gente cree como consecuencia del lenguaje que ya se emplea incluso en publicaciones más o menos especializadas. A esa interpretación contribuye también, como se dijo, la comodidad intuitiva que esta concepción representa: algo material que se fabrica, se envía y se consume para obtener energía, como se hace con el petróleo o el gas. Esta idea encaja, por cierto, con la que cree que almacenar energía en una batería es almacenar cargas eléctricas para echarlas a los circuitos y ser consumidas por los receptores.
Conclusión
Siempre es posible evitar que el lenguaje sea causa de transmisión de conceptos erróneos. Dependiendo del interlocutor, el término “carga de una batería”, por ejemplo, puede requerir alguna aclaración para ser bien interpretado.
La palabra “electricidad” sólo debería designar “la propiedad de la materia por la que los cuerpos ejercen entre ellos fuerzas que cumplen la ley de Coulomb”, y “la ciencia que estudia los fenómenos relacionados con esa propiedad”. Por tanto, por una parte hay que evitar decir que la electricidad es una clase de energía, pues la electricidad es una propiedad de la materia, no una energía y, por otra, no debe utilizarse la palabra “electricidad” para designar la energía eléctrica.
Nosotros proponemos como definición de “energía eléctrica”: “la energía que intercambian cuerpos o partes de ellos por medio de la corriente eléctrica”.
Internet
www3.usal.es/electricidad
Bibliografía
Diccionario Científico y Tecnológico Chambers. Ediciones Omega. Barcelona, 1979
Diccionario de la Lengua Española, vigesimaprimera edición. Real Academia Española, Editorial Espasa Calpe, S. A, Madrid, 1995. Vigesimasegunda edición, Espasa. Madrid, 2001.
Diccionario de Términos Científicos y Técnicos. McGraw-Hill, Boixareu. Marcombo. Barcelona, 1981.
Enciclopedia Universal Ilustrada Europeo Americana, tomo XIX. Hijos de J. Espasa Editores. Barcelona, 1921.
Félix Redondo Quintela. Redes Eléctricas de Kirchhoff. Ed. Revide, S. L. Béjar, 1999.
John R. Reitz, Frederick J. Milford. Fundamentos de la teoría electromagnética. Unión tipográfica Editorial Hispano Americana. México, 1969.
Joseph A. Babor, José Ibarz Arnáez. Química General Moderna. Editorial Marín, S. A. Barcelona, 1977.
Nueva Enciclopedia Larousse, Editorial Planeta. Barcelona, 1981.
Vocabulario Científico y Técnico de la Real Academia de Ciencias Exactas, Físicas y Naturales. Espasa Calpe. Madrid, 1990.
RESUMEN
La utilización correcta del lenguaje no es una exquisitez cultural ni un adorno deseable para la gente culta, sino que de ella depende nuestra capacidad de comunicación y de conocimiento. En la ciencia, sólo cuando un concepto es delimitado inequívocamente por una definición es susceptible de formar parte de una teoría formal, para la que lo único que importa es el concepto contenido en la definición y no la idea que la ha inspirado. Los conceptos son designados por las palabras que los nombran, de ahí que la apropiada aplicación de los nombres sea un requisito para la claridad de la comunicación. En este artículo se comentan dos términos eléctricos que frecuentemente transmiten conceptos erróneos.









