Cálculo de los sistemas de puesta a tierra en edificios
La realización de las instalaciones de puesta a tierra en edificios presenta novedades a la luz del nuevo Reglamento Electrotécnico de Baja Tensión
Introducción
En España el esquema TT (neutro del CT a tierra y masas de los receptores a tierra) es obligatorio para la distribución pública de energía eléctrica. Por tanto, todos los receptores de instalaciones sin CT propio deben conectar las masas de su instalación a tierra obligatoriamente.
El objeto de la puesta a tierra de las masas de los receptores es asegurar la seguridad de las personas ante contactos indirectos. En el esquema TT la utilización del interruptor diferencial (ID) es generalizada, con lo que la máxima tensión que puede aparecer en las masas de los receptores (tensión de defecto), cuando ha habido un defecto a tierra, será el producto de la máxima intensidad de defecto sin que actúe el diferencial por la resistencia de tierra.
El REBT, en su ITC-BT-24, exige que la tensión de defecto sea inferior a la tensión límite de contacto convencional:
RA·Ia < U (1) siendo RA la suma de la resistencia de la toma de tierra y los conductores de protección de las masas, Ia la corriente que asegura el funcionamiento de protección (si protegemos con ID será 30 mA en viviendas, 300 mA en industrias generalmente), y U es la tensión de contacto límite convencional (24 V en locales conductores y 50 V en los demás casos).
En la tabla 1 se recogen las resistencias de tierra RA máximas admisibles (según la ecuación 1), dependiendo de la conductividad del local y de la sensibilidad del diferencial.
Puesta a tierra en edificios
Las instalaciones de puesta a tierra se harán según la instrucción ITC-BT-18 del REBT. Para el caso de edificios de viviendas, habrá que cumplir también la ITC-BT-26.
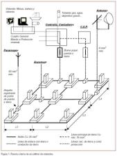
En la figura 1 se resume la instalación de puesta a tierra de un edificio. Todas las masas metálicas del edificio deben conectarse a tierra: masas de los receptores BT a través de los conductores de protección. Bañeras, duchas metálicas y canalizaciones de agua mediante conector equipotencial. Y por último, canalizaciones metálicas de agua, gas, depósitos de gasoil y antenas de radio y TV y toda masa metálica importante existente en la zona.
Las canalizaciones de agua, gas, calefacción… no deben ser usadas como toma de tierra. Las envolventes de plomo y de otro tipo que no sean corrosibles pueden utilizarse como toma de tierra, previa autorización del propietario.
Electrodos y anillo de puesta a tierra
Según la ITC-BT-26, en los edificios de nueva construcción, antes de comenzar la cimentación, en el fondo de las zanjas de cimentación se instalará un cable de cobre desnudo formando un anillo cerrado que cubra todo el perímetro del edificio.
A este anillo se le conectará la estructura metálica del edificio.
Las uniones se harán mediante soldadura aluminotérmica o autógena de forma que se asegure su fiabilidad. Las tomas de tierra estarán enterradas como mínimo 0.5 m para evitar que la pérdida de humedad o la presencia de hielo en las capas más superficiales del terreno les afecte, aunque se recomienda que el conductor esté enterrado al menos 0.8 m.
El anillo será de cobre desnudo y de sección mínima según la tabla 2 (tabla 1 de la ITC-BT-18) de 25 mm2, aunque según la NTE de 1973 “Puestas a tierra” debe ser al menos de 35 mm2, con lo que nos quedaremos con este último valor. Al anillo se conectarán electrodos verticalmente hincados en el terreno cuando se prevea la necesidad de disminuir la resistencia de tierra. Cuando las construcciones comprendan varios edificios próximos se procurará unir entre sí los anillos que forman la toma de tierra de cada uno de ellos.
Bornes o puntos de puesta a tierra
Habrá uno o varios bornes o puntos de puesta de tierra, donde se conectarán los conductores de protección procedentes de las masas metálicas de los receptores, los conductores de uniones equipotenciales de canalizaciones metálicas de agua, gas, depósitos de gasoil y antenas de radio y TV y toda masa metálica importante existente en la zona.
Los puntos o bornes de puesta a tierra, para edificios nuevos de viviendas, serán los siguientes (ITC-BT-26):
• En el lugar o local de la centralización de contadores, si la hay (éste será el borne principal de tierra).
• En la base de las estructuras metálicas de los ascensores, si los hay.
• En el punto de ubicación de la CGP (la LGA debe llevar conductor de protección que constituirá la línea principal de tierra).
También se podrá poner un punto de puesta a tierra en cualquier local donde se prevea la instalación de elementos destinados a servicios generales o especiales y que por sus condiciones deban ponerse a tierra.
El REBT en la ITC-BT-18 exige un dispositivo que permita medir la resitencia de tierra, que puede estar en el borne principal de tierra, y que debe ser desmontable mediante un útil, mecánicamente seguro y asegurar la continuidad eléctrica (figura 2). El borne de puesta a tierra de la CGP se podrá usar además como puesta a tierra para mantenimiento y reparación de la red de distribución. En la figura 1 se ven 5 puntos de puesta a tierra: CGP, Centralización de contadores (borne principal de tierra), antenas, ascensor y pararrayos. En edificios en rehabilitación o reforma se podrá hacer la puesta a tierra en los patios de luces.
Conductor de tierra o línea de enlace con tierra
Del borne principal de tierra saldrá el conductor de tierra o línea de enlace con tierra, que enlazará con el anillo o los electrodos de puesta a tierra (toma de tierra), y cuya sección se calcula según la tabla 2. Según el antiguo REBT debía ser al menos de 35 mm2 de Cu o 50 mm2 de acero galvanizado, mientras que el nuevo REBT permite secciones menores (25 mm2 de Cu desnudo, y menores todavía si el cable está protegido contra la corrosión con envolvente).
Línea principal de tierra y derivaciones
La línea principal de tierra, así como sus derivaciones (líneas secundarias) y los conductores de protección (circuitos interiores) cumplen la función de unir las masas con la puesta a tierra del edificio.
En edificios de viviendas, la línea principal de tierra irá por la misma canalización que la línea general de alimentación (LGA), y será de Cu sección mínima 16 mm2 si las fases son de sección menor de 35 mm2, y para valores mayores de sección de fase, serán la mitad de dicho valor, según la tabla 3 (tabla 2 de la ITC-BT-18).
Serán barras planas o redondas, o conductores desnudos o aislados, debiendo colocar protección mecánica donde sean accesibles. Las derivaciones de las líneas principales de tierra (líneas secundarias de tierra) irán por las mismas canalizaciones que las derivaciones individuales y su sección se calculará según la tabla 3. Los conductores de protección irán por las mismas canalizaciones que los conductores activos de cada circuito de la vivienda, serán de Cu y del mismo aislamiento que los conductores activos, y se calculan según la tabla 3.
Cálculo de la toma de tierra
Los valores de resistencia de tierra exigibles según el REBT, para sistemas TT con protección diferencial (tabla 1), son muy elevados en general, y se consiguen fácilmente.
En la práctica las tomas de tierra suelen tener valores muy inferiores a los exigidos por el REBT.
La Guía Técnica de Aplicación del REBT, basándose en la Norma Tecnológica de la Edificación (NTE), recomienda realizar la puesta a tierra según la tabla 4. En dicha tabla se entra con el tipo de terreno y la longitud en planta del anillo, L (en la figura 1, L = 3·L1
+ 3·L2 + 3·L3 + 3·L4), y se obtiene el número de picas de 2 m que deberán clavarse verticalmente en el terreno y unirse al anillo. La tabla de la NTE no es más que la aplicación de las expresiones de la resistencia de tierra para electrodos formados por conductores enterrados horizontal-mente y por picas verticales. Esta tabla calcula la tierra para que en el caso más desfavorable de cada tipo de terreno (? máximo) se obtenga 37 ? en edificios sin pararrayos y 15 ? en edificios con pararrayos.
En la tabla 5 se recogen las expresiones para el cálculo analítico de las puestas de tierra, en función del tipo de electrodo utilizado. Si hay N electrodos iguales en la puesta a tierra, la resistencia total a tierra es la de uno dividido por N.
Ejemplo 1
Determinar el número de picas de 2 m necesarias para un edificio con pararrayos (resistencia deseada 15 ?), en terreno de arena arcillosa (? < 500 ?·m) y con una longitud en planta del anillo enterrado de L = 43 m. • Cálculo analítico (tabla 5):
Resistencia del anillo de 43 m (conductor enterrado horizontalmente):
Rt_anillo = 2?/L = 2·500/43= 23,2 ?
Como deseamos Rt = 15 ?, colocaremos picas verticales de 2 m unidas al anillo. El conjunto de picas y el anillo están en paralelo respecto de tierra.
El número de picas necesario, N, se obtendrá de la expresión de la resistencia de N picas en paralelo:
Estas picas se repartirán a lo largo del anillo, y estarán separadas unas de otras al menos 4 m (2 veces su longitud) según NTE-IEP. Habrá que tener en cuenta que a esta distancia la resistencia del grupo de picas en paralelo aumenta un 20%, debido a que se influyen entre sí. Para que la resistencia del grupo sea la de cálculo, deberán separarse las picas al menos 4 veces su longitud (8 m), de esta forma la corriente que disipa cada pica a tierra no influye en las otras.
• Según la tabla de la NTE (tabla 6):
Entrando en la tabla en la columna “Arena arcillosa, con pararrayos”, los 43 m de anillo nos obligan a colocar vertical-mente en el terreno unidas al anillo 6 picas de 2 m. La tierra formada por las picas y el anillo daría una resistencia de 15 ? para resistividad 500 ?·m.
Ejemplo 2
Idem en el caso de que el edificio del ejemplo 1 no tenga pararrayos.
• Solución: Según la tabla de la NTE, si el edificio no tiene pararrayos, no necesitamos ninguna pica (43 > 28 m). Solo con el anillo ya obtendríamos una resistencia de tierra menor de 37 ?.
Separación entre las distintas tomas de tierra en edificios con CT
Los edificios con Centro de Transformación (CT) en el mismo edificio, las industrias con CT propio, y en general las instalaciones BT cercanas a centros de transformación deben cumplir ciertas condiciones respecto a las puestas a tierra.
En los CT, salvo en el esquema IT (utilizado únicamente en quirófanos y otras instalaciones donde la continuidad del servicio sea crucial), el neutro se conecta a tierra. Las masas de la aparamenta del CT (autoválvulas, interruptores, seccionadores, celdas en general…) se conectan también a tierra, con el objeto de evitar tensiones peligrosas en caso de defectos a tierra.
Por otro lado, como hemos visto, las masas de los receptores BT (tierra del edificio) también se conectan a tierra, con lo que tenemos 3 puestas a tierra distintas.
El REBT, en la ITC-BT-18, aptdo. 10, define que dos tierras son independientes cuando una de ellas no alcance, respecto a un punto de potencial cero, una tensión superior a 50 V cuando por la otra circula la máxima corriente de defecto a tierra pre-vista.
Separación entre la tierra de las masas del CT y la tierra del neutro del CT
Las tierras del CT se suelen calcular según el método UNESA. Cuando hay un defecto a tierra en el lado AT del CT la tensión de defecto que aparece en la tierra de las masas del CT es:
Vd =Id · Rt (2)
donde Id es la intensidad de defecto a tierra (A) en el lado de AT del CT, facilitado por la compañía eléctrica y Rt es la resistencia de tierra de las masas del CT.
Si el neutro del CT está conectado a la tierra de las masas del CT, cuando se produzca un defecto a tierra en el lado A.T. aparecerá en el neutro del CT la tensión Vd. Por tanto las fases de la instalación de BT estarán sometidas a una tensión respecto de tierra VFT =Vd ++VFN, siendo VFN la tensión nominal fase-neutro (230 V). Si VFT es superior a la tensión de aislamiento de Nlos receptores BT (1500 V mínimo según ITC-BT-19), se podrá perforar dicho aislamiento, estropeando los receptores BT, y además provocando tensiones elevadas en las masas, peligrosas para las personas. Para evitar esto se debe limitar Vd < 1.000 V, según el método UNESA, asegurando así que VFT nunca supere los 1.500 V.
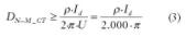
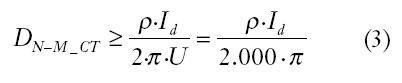
Si Vd > 1.000 V, el neutro deberá tener una tierra independiente, separada de la tierra de las masas del CT una distancia:
siendo _ la resistividad del terreno (_·m), Id la intensidad de defecto a tierra (A) en el lado de AT del CT, facilitado por la compañía eléctrica o calculado.
Separación entre la tierra de las masas del CT y la tierra de las masas de las instalaciones BT
El REBT en su ITC-BT-18, aptdo. 11, exige que la tierra de las masas de la instalación BT y la tierra de las masas del CT estén separadas (tierras independientes),para evitar que durante un defecto a tierra en el CT las masas de la instalación de utilización (receptores BT) puedan quedar sometidas a tensiones de contacto peligrosas. Para asegurar la independencia de dichas tierras se controlará que la tierra de las masas de BT no alcance respecto de un punto a potencial cero una tensión superior a 50 V cuando se dé el máximo defecto a tierra en el lado AT. Si no se puede realizar el control de independencia, se considerarán independientes si cumplen las siguientes condiciones:
• No existen canalizaciones metálicas conductoras entre la zona de la tierra del CT y la zona de los aparatos de utilización BT (edificio).
• El CT está situado en un recinto aislado de los locales de utilización (edificio), o si está contiguo o en el interior del edificio, sus elementos metálicos no están unidos a los elementos metálicos constructivos del edificio.
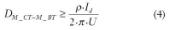
• La distancia de separación es de 15 m para terreno de baja resistividad (? < 100 O·m). Si el terreno es mal conductor (? > 100 O·m), la distancia de separación será mayor:
U es para sistemas TT 1.200 V si el defecto es eliminado en un tiempo t menor de 5 s, y 250 V en caso contrario. El tiempo de eliminación del defecto t lo facilita la compañía eléctrica (sería lo que les cuesta a las protecciones de la SET abrir cuando hay un defecto a tierra).
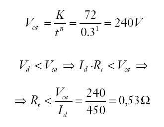
Las masas de la instalación BT y las masas del CT podrán estar unidas si el valor de la resistencia de tierra única es tal que la tensión de defecto (Vd = Id · Rt) sea menor que la tensión de contacto máxima aplicada, Vca, según MIE-RAT-13 del Reglamento sobre Condiciones Técnicas y Garantía de Seguridad en Centrales Eléctricas, Subestaciones y Centros de Transformación. Debe cumplirse Vd < Vca , siendo Vca :
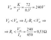
K = 72 y n = 1 si el tiempo de eliminación del defecto, t, está comprendido entre 0.1 y 0.9 s; K = 38 y n = 0.18 si el tiempo de eliminación del defecto, t, está comprendido entre 0.9 y 3 s.
Para tiempos entre 3 y 5 s la tensión Vca será 64 V, mientras que para tiempos superiores a 5 s la tensión Vca será 50 V./P>
En la práctica, si la subestación transformadora (SET) que alimenta el CT tiene el neutro conectado a tierra, conseguir la condición anterior es muy difícil, ya que la corriente de defecto Id será elevada y por tanto se exigirá un valor reducidísimo de Rt. Si la SET tiene el neutro aislado de tierra sí que es posible cumplir la condición anterior con valores asequibles de Rt.
Ejemplo 3
Tenemos una industria con CT propio. El esquema de distribución es TT y la resitividad del terreno es de 300 _·m. La compañía distribuidora nos informa de que el defecto a tierra en el lado AT del CT sería despejado en un máximo de 0.3 segundos. La tierra de las masas del CT calculada según el método UNESA es de 20 _ y la intensidad de defecto a tierra de 400 A. Calcular la separación entre las distintas tierras.
Solución: La tensión de defecto es Vd = Id Rt = 400 20 = 8.000 V > 1.000 V ? Necesaria separación entre la tierra de las masas del CT y la tierra del neutro del CT
La distancia de separación mínima entre dichas tierras será, según el método UNESA:
La distancia de separación mínima entre la tierra de las masas del CT y la tierra de las masas de las instalaciones BT (receptores ) será:
Por tanto, se conectarían las masas de las instalaciones BT y la del neutro del CT al anillo de los cimientos del edificio, y a unos 20 m o más del edificio se realizaría la puesta a tierra de las masas del CT. Aunque el neutro esté conectado de hecho a las tierras de las masas de la instalación, si no tenemos en cuenta las conexiones entre ambas tierras para determinar las condiciones de protección, se considerará TT y no TN (ITC-BT-08, aptdo. 1.2).
Ejemplo 4
Si en el caso del ejemplo 3 no pudiésemos separar las tierras porque no hay espacio suficiente, ¿qué valor máximo debería tener la toma de tierra común para las masas de la instalación BT y las del CT?
• Solución: Deberá cumplirse Vd < V
valor muy difícil de conseguir. Si el neutro de la SET hubiese estado aislado de tierra, Id sería muy pequeña y Rt tendría un valor muy superior al que hemos obtenido, con lo que sería factible unir las tierras.
Bibliografía
Reglamento Electrotécnico para Baja Tensión. Real Decreto 842/2002 de 2 de agosto de 2002.
Guía Técnica de Aplicación del REBT. Ministerio de Ciencia y Tecnología. Septiembre 2003. Revisión 1. http://www.ffii.nova.es/puntoinfomcyt/guia_rbt.asp
Reglamento sobre Condiciones Técnicas y Garantía de Seguridad en Centrales Eléctricas, Subestaciones y Centros de Transformación. Real Decreto 3275/1982, de 12 de noviembre de 1982.
Método UNESA de cálculo de instalaciones de puesta a tierra para Centros de Transformación conectados a redes de tercera categoría.
Normas Tecnológicas de la Edificación (NTE). Puesta a Tierra. 1973.
Tecnología Eléctrica. José Roger, Martín Riera y Carlos Roldán. Editorial Síntesis. 2002.


















Se conectarían las masas de las instalaciones BT y la del neutro del CT al anillo de los cimientos del edificio. Porque se conectarían ? , no hay ningún apartado que hable de esto. Podrías explicarlo por favor.
Gracias.
Hola Carlos, para poder resolver su consulta, lo mejor que puede hacer es ponerse en contacto vía email con el autor. Dicho contacto aparece en el documento en PDF del artículo en la parte final. Gracias. Un saludo,