La ‘ingeniería del éxito’ en el desarrollo de proyectos
Esta nueva herramienta mejora la planificación de los proyectos, la creación de nuevas ideas de sistema de información y la eficiencia de los recursos humanos dentro y fuera de la empresa
En las empresas se hace necesario nuevas metodologías de implantación de los sistemas de información debido a lo costoso de su planificación. En este sentido se debería utilizar nuevas herramientas de implantación igual de eficaces, pero más eficientes.
La necesidad de la participación de clientes en la recogida de datos de la llamada ingeniería del éxito podría requerir un excesivo uso de recursos de la organización, tanto materiales como humanos, que otras técnicas no requieren.
La obtención de los requerimientos de sistemas de información provoca la adaptación e incorporación de metodologías de distinta procedencia en la ingeniería del éxito.
En este trabajo se ha elegido un proyecto de e-learning como ejemplo para desarrollar la ingeniería del éxito. Se pro-pone el uso de la metodología de análisis de contenido para la identificación de constructos personales, consecuencias de desempeño, objetivos y unión de los mismos en la ingeniería del éxito. Se proporciona un instrumento metodológico innovador en el desarrollo de proyectos.
Factores críticos de éxito
Hasta hace poco tiempo, las organizaciones no determinaban los requerimientos de un sistema de información basándose en el flujo de información desde el núcleo de operaciones al ápice estratégico de la empresa, ni las estrategias que se centraba en el diseño de productos o servicios. Los primeros objetivos principales para el desarrollo de un sistema de información fueron los flujos de información, desde el ápice estratégico al núcleo de operaciones de la organización y la identificación de variables críticas de éxito.
Se acuña el término factores críticos de éxito para las especificaciones de necesidades de la empresa sobre la información de los resultados puede ser crítico para la organización. Estos factores aseguran el desempeño competitivo de la empresa con éxito.
Los usuarios han encontrado una solución en este enfoque porque les ayuda a justificar las inversiones en el desarrollo de nuevos sistemas de información estratégicos y sus grandes beneficios, difícil de cuantificar al principio. Los factores críticos de éxito compensan el mantenimiento de sistemas de información de niveles operacionales, y per-mite el alineamiento de nuevos sistemas de información con los objetivos de la empresa. Este enfoque se centra en los requerimientos de los sistemas de información, aunque no contempla la planificación estratégica. Posteriormente, se comienza a relacionar con las actividades de la organización. No obstante, no existe un procedimiento para la recolección y análisis de datos en la obtención de los factores críticos de éxito.
El uso de los factores críticos de éxito se observa como un procedimiento que asegura la consecución de las necesidades estratégicas de la empresa. En un desarrollo de un modelo completo de factores críticos de éxito, los analistas han recomendado estudiar el punto de vista de participantes de varios niveles de la empresa, añadiéndose al nivel directivo. Los usuarios de niveles operativos podrían representar una información potencial que puede ser utilizada para soportar innovaciones de tecnología de información en la empresa. El buen uso de tales conocimientos podría ser crítico para el éxito de la organización.
Las empresas observan la amplia participación del usuario en el desarrollo de los sistemas de información como un factor decisivo para una buena implantación, ya que tales usuarios aceptan los sistemas implantados. Esto produce una extensión del concepto factores críticos de éxito debido a que convergen el flujo de información, desde el ápice estratégico al núcleo de operaciones, y la amplia participación de la organización que viene motivada por una necesidad de riqueza de información. El análisis de los factores críticos de éxito descubre implícitamente la estructura latente de las necesidades de la organización para unir objetivos y factores de éxito causales relacionados. La información de las relaciones entre los atributos del sistema, el desempeño y los objetivos resulta esencial para que los diseñadores entiendan el sistema como una ventaja competitiva.
Esta información es multidimensional, es decir, se necesitan describir los atributos del sistema de información en términos de características, el desempeño de calidad en términos de consecuencias inmediatas de sistema (relacionadas con los resultados finales deseados) y las metas de procesos de la empresa. Para el cumplimiento de una estrategia con éxito es esencial una comprensión de objetivos organizacionales, el papel de los sistemas de información en la organización y las relaciones entre sistemas de la organización.
El concepto de factores críticos de éxito sugiere una ampliación del mismo para llevarse a cabo sobre los objetivos de la empresa. Si las relaciones implícitas descubiertas en dichos factores se hacen explícitas y se expresan de una manera útil, se podría contribuir en la perfección de las habilidades de los clientes de la empresa. Desde este punto de vista surge la ingeniería de percepciones del cliente como un concepto más amplio, de carácter participativo, estratégico y muy competitivo en el mundo de la consultoría e ingeniería.
Ingeniería del éxito
La ingeniería del éxito busca la solución a los inconvenientes que ocasiona el procedimiento tradicional de implantación de sistemas de información para el desarrollo de proyectos. Estos sistemas tradicionales requieren un excesivo uso de los recursos humanos y materiales de la empresa.
Se introduce la ingeniería de percepciones del cliente como la base de un modelo de factores críticos de éxito extendido. La ingeniería del éxito es una herramienta que se utiliza en la planificación de los sistemas de información para el desarrollo de proyectos, y que se basa en la ingeniería de percepciones del cliente, carácter participativo, e incorpora los factores críticos de éxito, carácter estratégico.
Ingeniería de percepciones del cliente
Esta rama de la ingeniería entiende el universo como un resultado de las observaciones individuales e interpretaciones de eventos para predecir y controlar ambientes individuales. Cada usuario es un observador que desarrolla su propio modelo único sobre cómo es el mundo. En este modelo, los clientes hacen observaciones, desarrollan, testan hipótesis e interpretan los resultados.
Los modelos están basados en muchas dimensiones (especificaciones de éxito en el desarrollo de proyectos) desarrolladas por el cliente (figura 1). Estas especificaciones describen sus consecuencias de resultado y sus efectos en valores.
Los métodos de recolección de datos, basados en la ingeniería de percepciones del cliente, buscan la obtención de información sobre las estructuras de conocimiento de las personas mediante las respuestas a diferentes estímulos. Esta metodología se utiliza para el modelado de las estructuras mentales de los clientes relacionadas con las preferencias de los productos y sus características. Éstas se agregan para producir modelos de redes y explicar las interrelaciones de las especificaciones de los participantes.
Estos modelos agregados ayudan a los analistas a comprender el razonamiento que existe tras las preferencias de un grupo de personas mediante atributos de sistemas particulares. Éstos se utilizarán en la planificación del desarrollo de las características de nuevos productos que tienen valores altos para clientes potenciales.
La extensión de los factores críticos de éxito aplicando la ingeniería de percepciones del cliente
Los factores críticos de éxito son consecuencias del desempeño que se relacionan con los objetivos de la empresa y aseguran con éxito el desempeño competitivo de la empresa. Estos desempeños son importantes para conseguir las metas del usuario.
El término ingeniería de percepciones del cliente (figura 2) hace referencia a esta conexión entre las especificaciones del sistema de información, los factores críticos de éxito y los objetivos de eficiencia en el desarrollo de proyectos de la empresa.
Si la persona está actuando como representativa de la empresa, las especificaciones del sistema de información tienen consecuencias para la empresa y afectarán a los objetivos de la misma.
Las especificaciones personales, individuales y similares de un número de personas se agrupan para producir modelos. Adaptando la metodología de la ingeniería de percepciones del cliente se desarrollan modelos, que muestran las preferencias de los clientes por ciertas características de un sistema de información. Cuando estos modelos son agrupados sobre un número de usuarios, ayudan a los analistas a comprender las ideas de la colectividad de personas sobre las relaciones entre especificaciones de sistemas, consecuencias de desempeño y valores u objetivos de la empresa.
Aplicación práctica
Una vez revisada la literatura, referida a los factores críticos de éxito y la ingeniería del éxito, se establecerá una aplicación al proyecto de e-learning o enseñanza virtual. No obstante, es aplicable a cualquier proyecto donde existan clientes.
El término e-learning hace referencia, por una parte, al uso de internet (e-), y por otra, a una metodología centrada en el sujeto que aprende (learning). Por tanto, e-learning es esencialmente el desarrollo de la formación o educación mediante medios electrónicos. Estos medios pueden incluir CD-ROM, internet, intranet, satélite u otros.
Diseño del experimento
Internet ha llegado a ser el mejor canal de comunicación para las empresas de entretenimiento y de intercambio de información. Por este motivo, las instituciones académicas también las utilizan para establecer sistemas de enseñanza. La definición de la estructura básica de e-learning se presenta como un proceso complejo, debido a que la propia literatura que desarrolla todo el entramado de la educación a distancia no ha establecido un marco único. Internet tiene todo el potencial suficiente para reemplazar a los tradicionales medios comunicativos en la educación a distancia, como el teléfono o la correspondencia, de ahí que sea considerado como el medio de comunicación más importante en el futuro de la educación, tanto presencial como a distancia.
Se diseña la estructura básica del curso para el presente estudio de investigación, basándonos en un tipo de propuesta para sistemas de instrucciones basados en internet.
Tras un exhaustivo análisis de las opciones existentes se decidió por la plataforma WebCT, debido a que cuenta con numerosas herramientas síncronas y asíncronas de comunicación, así como varias posibilidades de difusión y publicación del material, lo que permite hacer una aproximación completa a todo el proceso de e-learning.
Se impartió un curso que consistía en el manejo de un programa de hojas de cálculo. Estaba compuesto por 250 usuarios de formación multidisciplinar.
Según el análisis de contenido, a partir de ciertos datos obtenidos mediante unos cuestionarios dirigidos al diseñador, instructores y alumnos, se realizaron inferencias reproducibles y válidas que puedan aplicarse en su contexto por medio de procedimientos especiales para el procesamiento de datos científicos.
El análisis de contenido se identificó como la metodología de investigación más adecuada para la recopilación de información, ya que pone al descubierto los intereses y las atenciones de un cliente. Esta técnica cualitativa realiza una descripción objetiva, sistemática y cuantitativa del contenido manifiesto de la comunicación. Se analizaron los contenidos de los cuestionarios y se formularon inferencias que identificaron, de manera sistemática y objetiva, ciertas características especificadas en las respuestas.
Aunque el análisis de contenido exige que sea predictivo de elementos, en principio observable, los cuales faciliten la toma de decisiones o que contribuyan a conceptualizar la porción de la realidad que dio origen al texto analizado, debe realizarse en relación con el contexto de los datos y debe tender a una naturaleza secuencial.
El proceso de análisis desarrolla, en la definición del universo, establecimiento y definición de las unidades de análisis, las categorías y subcategorías que presentaron las variables de investigación, los codificadores, elaboración de las hojas de codificación y las conclusiones de la codificación.
El universo se definió como los 250 usuarios, tres instructores y un diseñador. Todas estas personas formaban parte del curso.
Se determinaron dos tipos de unidades: de muestreo y de registro. Las unidades de muestreo se definen como las porciones de la realidad observada que se consideran independientes unas de otras o respuestas emitidas por cada usuario a cada una de las preguntas formuladas tras la realización del curso. Las unidades de registro son fracciones o segmentos específicos de contenido de las unidades anteriores, que determinan la codificación de las diferentes categorías.
Se emitieron discursos como respuesta al cuestionario definitivo de seis preguntas cada uno, arrojando un total de 17 cuestionarios o 102 discursos o unidades de muestreo.
Considerando la importancia que la etapa de definición de las categorías significa en el resultado del análisis, el proceso se llevó a cabo con el consenso de dos profesionales, verificando que dichas categorías cumplían las condiciones exigidas de exhaustividad (de forma que se abarquen todas las posibles unidades), ser mutuamente excluyentes (por lo que cada unidad de registro debe recaer en una y sólo una categoría), de pertinencia (acordes con el objetivo del trabajo) y de objetividad (lo que se aseguró realizando la categorización los dos investigadores independientemente).
Es necesario destacar que la codificación se realizó en todo momento de forma deductiva, ya que el objetivo del proyecto exigía la predeterminación de las aportaciones realizadas por los miembros que forman parte del proceso de e-learning.
Los criterios sobre la calidad del análisis de contenido están basados en la validez y la fiabilidad del análisis. La importancia de la fiabilidad procede de la seguridad que ofrece en cuanto que los datos han sido obtenidos con independencia del suceso, instrumento o profesional que los mide. Los datos fiables son aquellos que permanecen constantes en todas las variaciones del proceso de medición.
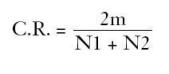
La fiabilidad se medirá con el coeficiente C.R.:
donde “m” es el número de decisiones de codificación en las que coinciden el codificador 1 y el codificador 2.
“N1” es el número de decisiones de codificación del codificador 1.
“N2” es el número de decisiones de codificación del codificador 2.
Los coeficientes de fiabilidad calculados en cada una de las cuestiones superaron el 0,8, lo cual indica un elevado nivel de fiabilidad en la codificación.
La fiabilidad establece límites a la validez potencial de los resultados de la investigación y no garantiza su validez.
Centrándonos en la validez de este proyecto, se debe contar con criterios claros para una validación de los resultados, con el fin de que otros individuos puedan recoger las pruebas adecuadas y comprobar si las inferencias producidas son exactas. Dentro de la tipología de los procedimientos de validación, algunos profesionales distinguen entre validez interna y externa. En este sentido, el requisito de que la metodología del análisis de contenido sea sensible al contexto es una exigencia de validez externa. Otros profesionales señalan que los procedimientos de análisis de contenido deben tener validez orientada a los datos, a los resultados y al proceso.
Los constructos consistentes individuales se clasificaron por consenso de los codificadores en 12 atributos de sistema, 27 factores claves de éxito y 7 objetivos de los procesos de e-learning.
Se representaron los datos obtenidos en una tabla con 17 filas y 46 columnas. Las filas correspondían a los usuarios de la muestra y las columnas a los constructos consistentes personales. De esta forma se obtuvo una matriz de 17×46 elementos, que representa los constructos descritos por cada uno de los clientes, o bien, el número de clientes que mencionaron un determinado constructo (figura 3).
En este proyecto no se agrupan los constructos individuales para la obtención de los constructos colectivos debido a la pérdida de información que originan. Éstos se dibujan como círculos con un número en su interior que representa el número de usuarios que lo ha mencionado en los cuestionarios. El área del círculo es proporcional al número que contiene.
Se ha realizado una agrupación de las percepciones del cliente basándonos en la metodología de análisis de contenido. En esta agrupación se han modelado especificaciones desde el punto de vista más significativo del contexto del experimento, es decir, desde el diseñador.
La secuencia de las cadenas se ha obtenido mediante el análisis de la tabla de relación de los constructos consistentes individuales. Los analistas han interpretado las posibles secuencias causales de constructos colectivos originadas por la interacción de los constructos individuales por parte de los participantes. Los detalles de la secuencia de los hechos dependen de la información consistente contenida en los cuestionarios de los usuarios. Éste es el motivo de que los cuestionarios sean abiertos.
La cadena se interpreta desde la izquierda a la derecha de la misma y de una forma secuencial para la obtención del éxito del proyecto (figura 4).
Además, se puede fortalecer estratégicamente el sistema de información teniendo en cuenta los círculos más grandes del modelado para la planificación del mismo. En estos modelos se observa la eficiencia que nos proporciona la ingeniería del éxito en la empresa gracias a la participación de las opiniones de los usuarios.
Por último, con respecto a la incorporación de la metodología del análisis de contenido en la ingeniería del éxito, se puede asegurar la disminución de las interpretaciones de los analistas en la creación de las mismas. Esto se debe a que esta metodología recoge la información desligándola del contexto.
Conclusiones
En el presente trabajo se observa la utilización de la ingeniería del éxito como una nueva herramienta de mejora en la planificación de los proyectos de ingeniería, la creación de nuevas ideas de sistema de información y su incorporación en la participación eficiente de los recursos humanos, dentro y fuera de la empresa. La ingeniería del éxito ha aportado aplicaciones importantes como apoyo a los desarrollos e implantación de sistemas de e-business, dentro de los sistemas de información en general y en concreto en Sistemas de e-learning.
La metodología propuesta en este trabajo justifica la eficiencia en la implantación de los proyectos debido a lo costoso de su planificación en la empresa. La necesidad de la participación en la recogida de datos mediante los cuestionarios abiertos, en el modelado de la ingeniería del éxito, minimiza la utilización de los recursos de la organización, tanto materiales como humanos.
La herramienta estudiada evita la interpretación excesiva de las secuencias de hechos por parte de los analistas. Por un lado, no se pierde información en la agrupación de especificaciones colectivas a partir de las individuales y, además, no se usan técnicas de agrupación de modelos de ingeniería de éxito. Esto se debe a que los modelos vienen implícitos en la nueva metodología de recogida de información.
Bibliografía
Flynn, D.J. y Arce, E.A. A CASE tool to support critical success factors analysis in IT planning and requirements determination. Information and Software Technology 39, pp. 311-321. 1997.
Jenster, V. Using critical success factors in planning. Long Range Planning 20(4), pp. 102-109. 1997
Lau, L. Distance Learning Technologies: Issues, Trends and Opportunities Londres: UK, Idea Group Publishing 2000.
Peffers, K. y Saarinen, T. Measuring the business value of it investements: inferences from a study of senior bank executives. Journal of Organizational Computing and Electronic Commerce. En prensa. 2001.
Rockart, J.F. The changing role of the information systems executive: a critical success factors perspective. Sloan Management Review 24(1), pp. 3-13. 1982.
Salmeron, J.L.. EIS success: Keys and difficulties in major companies. Technovation 23(1), pp. 35-38. 2003.
RESUMEN
El presente trabajo tiene como objetivo el diseño de una herramienta de mejora en la implantación de sistemas de información. Las llamadas “cadenas críticas de éxito” son una herramienta que desarrolla propuestas de implantación de dichos sistemas en la empresa. Su objetivo reside en la creación de nuevas ideas de sistemas de información, y su incorporación en la participación eficiente de los recursos humanos dentro y fuera de la organización. Estas cadenas tienen aplicaciones importantes como apoyo a los desarrollos e implantación de sistemas de e-business, dentro de los sistemas de información en general. También se puede extender a cualquier tipo de proyecto, de hecho, estos métodos los vienen empleando los autores en consultoría e ingeniería para asegurar el éxito de los proyectos.







