La energía eólica en Aragón
El potencial eólico aragonés es enorme, especialmente en el valle del Ebro. Esta energía limpia, segura y renovable se utiliza desde antiguo en Aragón, pero todavía no ha sido explotada suficientemente, según el autor
…que aquellos que allí se parecen, no son gigantes, sino molinos de viento, y lo que en ellos parecen brazos son las aspas que, volteadas por el viento, hacen andar la piedra del molino.
Cervantes. El Quijote
Desde la aparición de la agricultura en el Neolítico, el hombre necesitaba triturar el grano para producir harina apta para el consumo humano. La “mola manuaria” y la “mola asinaria” de los romanos resultaban poco rentables en relación con la fuerza empleada. La escasez de agua o las características del terreno, limitaban el uso de los molinos movidos por agua en grandes zonas de Europa. Tratando de subsanar esta deficiencia, se pensó en un molino que aprovechara la fuerza del viento.
Distinguiremos entre molino de viento con eje vertical y los de eje horizontal: los primeros, de procedencia árabe, se localizan en Sijistán a partir del siglo X de nuestra era. Han sido estudiados por Caro Baroja. Europa conocerá este tipo de molino, que seguirá su propia evolución histórica.
Vitrubio diseña un molino que Gullén describe así: “una gran rueda que lleva en su circunferencia unas tablas planas (pinnae) haciendo la corriente de aire girar la rueda. En uno de los extremos del eje horizontal había un engranaje vertical que giraba y este engranaje o rueda dentada vertical engranaba otra horizontal, más pequeña, y la hacía mover. El eje vertical de este último engranaje llevaba en su extremidad inferior un hierro en forma de hacha de dos cortes, en el que se sujeta la muela, el castillus”.
Sería el perfeccionamiento del molino de Vitrubio el que diera lugar a los primeros molinos de viento en Europa, a partir del siglo X, desde donde los Cruzados lo llevarían al próximo Oriente, según las teorías de White. Se trata de los molinos de poste o trípode, consistentes en una construcción de madera, de planta cuadrada o poligonal, en la que se aloja la maquinaria, el trigo y la harina. Todo el edificio giraba sobre un eje. La fuerza motriz se obtenía mediante unas aspas en número de cuatro o seis.
Según José M.ª Lacarra, de este tipo serían los molinos que en Tarragona recoge Ibn’Abd al Mun’im al Himyari, y los que se refieren a la concesión de Pedro II de Aragón a Pedro de Vilanova en el año 1200, para la construcción de molinos de viento en su territorio.
Sin embargo, tales artefactos no estaban exentos de dificultades. La caja de madera, asentada sobre el eje, contiene la maquinaria y el grano, lo que la hace de escasa capacidad y precaria estabilidad. Se crea entonces el molino de viento de torre, que constituye un capítulo fundamental en la historia de la tecnología.
Sus modificaciones más notorias serán:
– La construcción del edificio en piedra y en el cual se alberga, repartido en plantas divisorias, la maquinaria, el trigo y la harina, lo que viene a solucionar el problema antes apuntado.
– Lo que se hace girar no es el molino entero, sino el tejado, en el que se asientan las aspas. Nace la caperuza giratoria, de ahí la necesidad de construir un edificio de planta circular, que al prolongarse en altura se configura como cilíndrico o troncocónico, según las diferentes áreas geográficas. Sobre éste, y ayudada por unas pequeñas ruedas que circulan sobre un carril metálico, se asienta la cubierta que, en forma cónica, cierra el edificio. En ella se sitúan las aspas también giratorias, permitiendo su adecuada colocación según la dirección del viento para que éste las haga girar al incidir sobre ellas, permaneciendo estable el edificio de mampostería.
El retablo de San Jorge, de Pere Niçard (1468) del Museo Diocesano de Mallorca, presenta un edificio cilíndrico con caperuza cónica giratoria y seis aspas, situado en la ciudad de Palma.
Por estas fechas, el reino de Aragón construirá el primer molino de viento, que persiste en nuestros días, localizado en Luna (Zaragoza) con torre ligeramente troncocónica y de excepcionales características. Su construcción a base de perfectos sillares, tanto en el muro interior como exterior, con ventana saetera y arco ojival en la entrada, le confiere una estampa plenamente defensiva. Por ello no es de extrañar que durante algún tiempo se hayan considerado torres vigías.
La tecnología bajomedieval aragonesa, no sólo sería suficiente para construirlos en sus territorios, sino que la exportaría a otros reinos, como Portugal, donde el rey Juan II concede el monopolio para la implantación de molinos destinados a la extracción del agua a unos españoles. De este tipo se conservan algunos ejemplares en el campo de Cartagena.
Por su parte, Castilla, replegada sobre sí misma, aislada de las corrientes intelectuales de Europa y más aún del Mediterráneo, será tardía en la recepción de las nuevas tecnologías que va alumbrando el Quinqueccento.
Castilla conoció durante el siglo XVI un molino de viento perfeccionado consistente en la inclinación del 10 % del eje y de las aspas, con relación al eje central del molino, lo que permitió un aumento de su fuerza y, como consecuencia, de su rendimiento. Es entonces, un siglo más tarde que en los Estados de la Corona de Aragón, cuando comienza la implantación de semejantes avances tecnológicos en tierras manchegas.
Molinos de viento en Aragón
Durante los siglos XV y XVI se construyeron en Aragón una serie de molinos de viento, cuyo propósito fundamental fue la producción de harina mediante la molienda del grano.
Generalmente estaban localizados en zonas que carecían de río, y donde se hacía necesario el aprovechamiento de la energía eólica, y en zonas de desarrollo industrial, ya que allí ocupaban un lugar importante en la cadena de producción del pan. Posteriormente fueron desplazados poco a poco con la llegada del vapor como fuente de energía alternativa.
De todos ellos, hoy en día sólo se conservan, entre otros los siguientes, de los cuales la gran mayoría se encuentran en muy mal estado de conservación, aunque se mantienen enhiestos como reliquias del pasado.
Aguilón
Construida su torre con mampostería y argamasa. Tiene una altura de seis metros y un perímetro exterior de 18 m. Tiene dos puertas de acceso y dos ventanas saeteras sobre las mismas.
Bujaraloz
Fue construido en el siglo XVII, es de mampostería y cubierto de yeso. Su perímetro exterior es de 20 m. Originariamente tenía forma cilíndrica que ha sido destruida al demolerse hace unos años una zona de la pared que amenazaba ruina.
Luna
Construido en piedra de sillería, cosa poco frecuente en este tipo de construcciones. Tiene forma troncocónica con 8 m de altura y 16 m de perímetro exterior. Posee una sola puerta sobre la que se sitúa una ventana saetera.
Tabuenca
Tiene forma troncocónica y está construido con piedras planas según la técnica de espina de pez. El perímetro exterior es de 18 m. Fue utilizado con posterioridad como pajar, por lo cual se modificó la puerta original.
Sestrica
Torre de mampostería con un perímetro exterior de 17,10 m. Posee dos puertas de acceso al interior, una de las cuales se encuentra tapiada. La cubierta cónica original se perdió, por lo que fue sustituida por una cubierta a dos vertientes, curiosa para este tipo de construcciones.
Torralba de Ribota
Es de mampostería con una sola puerta de entrada, altura de 6 m y perímetro exterior de 16,90 m. Todavía se conservan las piedras que servían para moler el grano.
Ojos Negros
Edificio cilíndrico de mampostería, de perímetro exterior de 20,30 m y 7 m de altura. Cuenta con dos puertas de entrada, sobre las que se sitúan sendas ventanas saeteras. Recientemente, el Ayuntamiento de Ojos Negros lo ha rehabilitado completamente, instalando incluso todo el equipo de molienda.
Used
Sólo se conservan las ruinas de este viejo molino de viento. El perímetro exterior era de 17 m. Todavía quedan restos de las piedras de moler.
Además de los citados, que son los más importantes de nuestra región aragonesa, existen otros molinos localizados en el territorio. En la provincia de Teruel: Jabaloyas, Sarrión y Castelseras; en la de Huesca: Samitier, etc.
Integración de la energía eólica
Para integrar la energía eólica con otro tipo de recursos energéticos, la figura 1 nos muestra cómo puede realizarse. Se observa que la utilización de la energía eólica se encuentra ampliamente influenciada, en las tres escalas de uso, por la cuestión del almacenamiento de la energía generada. Así, en generación a gran escala no se necesita almacenamiento directo, mientras que para producción a pequeña escala se trabaja almacenando la energía generada para su posterior utilización.
Cuando se conecta una aeroturbina, o una central eólica, a la red eléctrica principal, ésta actuará como un economizador de combustible, o de agua, si las centrales que suministran a la red son hidroeléctricas. En la misma figura varias fuentes de energía suministran a la red principal. No es realista intentar dar los costes de energía para las tecnologías de producción a gran escala, ya que dependen ampliamente de las condiciones que se presentan en cada caso particular. Por ello no podemos evaluar la influencia económica de su utilización.
La energía eólica no puede ser considerada como un sistema para disminuir la utilización de centrales térmicas, ya que una central eólica no puede asegurar una producción constante. Con una red diversificada de centrales eólicas y varias centrales alimentando la red principal desde distintos lugares, podría asegurarse un valor constante de potencia generada (siempre existiría alguna central produciendo).
Utilizada conjuntamente con centrales hidroeléctricas, o con un sistema mixto de centrales térmicas e hidroeléctricas, la energía eólica adquiere cierta importancia. Podemos utilizar la energía eólica para reducir el consumo de agua de las reservas disponibles, de tal forma que podemos mantener un potencial constante, alimentando la red con energía eólica cuando sea posible y disminuyendo así la producción hidroeléctrica.
La utilización de toda la energía eólica anual disponible requiere que la red que va a alimentarse con la misma sea capaz de recibir la potencia generada en cualquier momento. Esto limita la capacidad eólica que puede conectarse a una red. Es decir, si en un momento determinado se están produciendo 20 MW eólicos que están alimentando a una red eléctrica, esta red ha de ser capaz de absorber estos 20 MW, ya que no disponemos, general-mente, de capacidad inherente de almacenamiento para la energía generada de forma eólica. El límite se sitúa en la carga mínima de la red, sobre un 15 % aproximadamente, de la carga total, límite suficientemente elevado en el estado actual de desarrollo de la energía eólica.
En su utilización a media escala, la energía suministrada por un aerogenerador puede alimentar una red local, o alternativamente, suministrar cargas con capacidad de almacenamiento inherente.
El primer uso implica que el generador eólico actuará como un economizador de combustible, de igual manera que la utilización a gran escala. Mientras dispongamos de potencia eólica no debemos consumir otros combustibles para la producción de energía.
El objetivo de introducir cargas con capacidad de almacenamiento inherente, es evitar la necesidad de equipos costosos de almacenamiento de energía, tales como baterías o acumuladores. Las reservas de agua son un claro ejemplo de este tipo de cargas, ya que al bombear agua hacia una reserva, estamos almacenando la energía que después extraeremos de la misma en un salto hidroeléctrico.
En la utilización de la energía eólica a pequeña escala, uno de los aspectos de mayor relevancia es el almacenamiento de la energía generada. Para lograr una buena rentabilidad es necesario en primer lugar recoger toda la energía eólica posible, para poder disponer después de ella de manera libre y sin estar sujetos a condicionantes externos. En la figura 2 se muestran de forma esquemática algunas de las formas de almacenamiento de la energía generada y los diversos usos que podemos dar a la misma.
Evaluación del potencial eólico
La faceta más importante a tener en cuenta en el análisis del viento como recurso para la producción de energía eléctrica, es la relación existente entre la potencia producida y el cubo de la velocidad del viento. Es decir, si la velocidad se duplica, la potencia se multiplica por un factor de ocho.
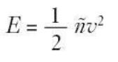
Esta relación se deriva directamente de la expresión que toma la energía cinética del viento. Una masa de aire que se mueve a una velocidad v tiene una energía cinética por unidad de volumen:
siendo ? la densidad del aire.
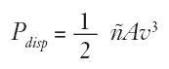
La energía que fluye por unidad de tiempo, es decir, la potencia eólica disponible en una sección de área A perpendicular a esa corriente de aire en movimiento es:
Por tanto, la potencia eólica es proporcional al cubo de la velocidad y al área expuesta. Si consideramos una aeroturbina de diámetro D, la potencia eólica valdrá:
Gráficamente, en la figura 3 podemos observar la variación de la potencia eólica con estos dos parámetros, considerando f = 1,225 kg/m3. Si D viene expresado en my v en m/s, la potencia vendrá expresada en W.

Figura 3. Potencia eólica disponible en función del diámetro del rotor y de la velocidad del viento.
Pero no toda la potencia disponible en el viento puede ser extraída. La potencia eólica aprovechable depende (además de la velocidad del viento) de las características constructivas y de funcionamiento de la aeroturbina.
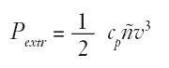
La potencia eólica aprovechable en el rotor de una máquina eólica que expone un área A a la corriente de aire, a velocidad v y densidad ?, es:
24 donde c pes el denominado coeficiente de potencia.
El máximo valor de cp, establecido por Betz (1919) en su teoría del rotor, es de 16/27 (aproximadamente 59 %), y se conoce como límite de Betz. En el estado actual de desarrollo de la tecnología de aeroturbinas, este valor alcanza niveles del 40 % en los mejores casos.
Si consideramos la potencia eólica instantánea por unidad de superficie, obtendremos una expresión para el cálculo de la potencia aprovechable que no considera las dimensiones del aerogenerador, y que por lo tanto sólo depende de las condiciones climáticas del emplazamiento. De esta forma
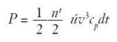
Para el cálculo del valor promedio de la potencia en un período de tiempo t debemos utilizar:
donde se ha supuesto ? constante.
Si pasamos la fórmula anterior a sumatorios, para poder hacer el cómputo de la misma, la expresión que nos queda es:
donde vi es la velocidad media en el intervalo de tiempo seleccionado (10 min por ejemplo) y n es el número de observaciones realizadas.
Esta potencia aprovechable se refiere a la potencia mecánica que podemos obtener en el eje de la aeroturbina, y no a la potencia eléctrica extraíble. Para calcular ésta deberemos restar las pérdidas debidas a la eficiencia mecánica y eléctrica de todos los componentes de la aeroturbina que llevan a cabo la conversión energética: transmisión, generador, transformadores, pérdidas caloríficas, etc.
Por todo ello, y como ya ha quedado claro con anterioridad, es conveniente realizar y poseer un estudio exhaustivo de las condiciones de viento reinantes en nuestra región, con el objetivo de valorar el potencial eólico que poseemos y mejorar así las condiciones de estudio sobre proyectos de viabilidad para el aprovechamiento de este potencial.
Datos eólicos
Debido a la dependencia expresada entre el potencial eólico y la velocidad del viento, es importante realizar una buena caracterización del régimen de vientos existente en la zona de interés. Para ello necesitamos acumular una serie de datos tanto de la velocidad como de la dirección del viento.
La frecuencia de la toma de datos, y el período de toma de los mismos, vendrán determinados por el alcance del análisis que queramos realizar. Así, para determinar curvas de duración de velocidad, tomas cada 10 min o incluso horarias pueden ser suficientes. Si lo que deseamos determinar es la variabilidad del viento o la turbulencia, necesitaremos tomar datos con frecuencia de uno o dos segundos.
Para obtener datos fiables acerca de las condiciones de viento de un emplazamiento, con el objetivo de determinar el comportamiento del viento a largo plazo, necesitamos poseer medidas de un amplio período de tiempo, alrededor de diez años.
La representación más utilizada para velocidades del viento en un determinado emplazamiento es la función de densidad de probabilidad, que expresa la probabilidad estadística (o porcentaje de tiempo), que persiste una determinada velocidad del viento. En el caso de no poseer suficientes datos experimentales, acumulados en un amplio período de tiempo (mayor a diez años), se obtiene mediante el análisis estadístico de los datos registrados, asumiendo una determinada distribución analítica que se asemeje a la distribución real. Estudios realizados muestran que la estadística de Weibull o la de Rayleigh reproducen los valores experimentales de las curvas de distribución de vientos.
Una vez conocida esta función de densidad es necesario extraer de la misma la curva de duración de viento, o función de probabilidad acumulada, que expresa el número de horas al año (o porcentaje de las mismas) en las que la velocidad del viento es superior a un valor determinado.
La energía eólica en Aragón
Aragón, y en especial el Valle del Ebro, posee un enorme potencial eólico. Sólo algunas zonas en España le superan. Sin embargo, hasta ahora, estos recursos no han sido explotados suficientemente.
Las instituciones aragonesas y en especial la Diputación General de Aragón, apoyan y promueven la utilización de las energías renovables como fuentes alternativas de producción de energía. El Decreto 170/1994 del 18 de julio de la Diputación General de Aragón establece subvenciones en materia de ahorro y diversificación energética, uso racional de la energía y aprovechamiento de los recursos autóctonos y renovables.
Tiene como objeto la regulación de las subvenciones en dicho campo y en el apartado de energía eólica se recogen como proyectos que pueden ser subvencionados los siguientes:
– Instalaciones con aplicaciones a bombeo, riego e instalaciones agrícolas y ganaderas, y la electrificación rural.
– Parques eólicos: aplicación a generación eléctrica.
La utilización de la energía eólica en Aragón en los últimos años se concentra en una serie de proyectos, que van desde la utilización a pequeña escala hasta un gran parque de aerogeneradores para suministro de energía a la red general.
A finales de septiembre de 2004 la energía eólica instalada en Aragón era de 1.038,96 MW, producida en los parques eólicos que figuran en la tabla 1.
Avanzando hacia el futuro
Los últimos parques eólicos ubicados en la Comunidad de Castilla y León le han permitido superar los megavatios instalados en Aragón, con lo cual le arrebata el tercer puesto en el “ranking” eólico español. Galicia sigue liderando, con mucha diferencia, la pugna en potencia instalada, seguida por Castilla-La Mancha. Aragón ha pasado del tercero al cuarto puesto en los últimos meses.
Sin embargo, el futuro es esperanzador. La localidad zaragozana de Magallón contará con un nuevo y pionero parque eólico, el primero que se construye en España con aerogeneradores de 2 MW. La instalación, de nombre “Santo Cristo” supondrá una inversión de 50 millones de euros y estará formada por 20 molinos, con una potencia total instalada de 40 MW.
El día 23 de septiembre de 2004 fue presentado en el marco de la Feria Internacional de la Energía Power Expo que se celebró en Zaragoza por sus tres socios: la empresa local General Eólica Aragonesa, la firma eólica Vastas y la compañía danesa Energi-2, que es la encargada de la distribución de la energía eléctrica en Copenhague. Las obras del parque se iniciarán en mayo de 2005, para que la instalación eólica pueda entrar en funcionamiento a finales de año.
España es la segunda potencia mundial eólica, con una cantidad instalada que ha ascendido desde 834 MW en 1998 hasta 6.411 en 2004, sólo por detrás de Alemania. En junio de 2004 superaba a EE.UU (tabla 2).
La energía eólica es una fuente de energía segura, limpia y renovable que no produce emisiones a la atmósfera ni genera residuos, salvo los de la fabricación de los equipos y el aceite de los engranajes. Los beneficios medioambientales de estos parques son la principal bandera que enarbolan los partidarios de este sistema.
Según la Asociación de Productores de Energías Renovables (APPA), la energía eólica evitó en 2001 la emisión de 10 millones de toneladas de CO2 a la atmósfera y la importación de 1,5 millones de toneladas de petróleo. Pero hay más: si las instalaciones eólicas aumentan y sustituyen a otras fuentes de generación de electricidad, España reducirá, de aquí a 2011, un 11 % sus emisiones de dióxido de carbono. Esto evitará la compra de derechos de emisión de contaminantes a la atmósfera a países excedentarios de energía limpia, a 20 euros por tonelada de CO2 y ahorrará 1.300 millones de euros. Los defensores de la energía eólica argumentan más virtudes aún: la construcción de estos parques dura sólo seis meses y dado el caso, pueden desmantelarse y devolver a la zona su paisaje.
Energía eólica, reto apasionante para los próximos años.
Bibliografía
Atlas eólico de Aragón. Gobierno de Aragón.
Heraldo de Aragón. 16 de abril 2004, 5 de mayo 2004, 31 de mayo2004, 22 de julio 2004, 24 de septiembre 2004.











