Influencia de la rigidez en el diseño de apoyos flexibles para equipos industriales
RESUMEN
Una parte importante del proceso de diseño de una planta industrial es el cálculo de las estructuras de soporte de equipos industriales. Habitualmente estas estructuras se diseñan como entramados compuestos por elementos flexibles. Una práctica común durante el proceso de cálculo es que se asuma que la rigidez de la estructura soporte, sobre la cual se apoyan los equipos industriales es igual en todos los puntos de apoyo, con el fin de distribuir las cargas gravitatorias proporcionalmente al número de soportes del equipo.
Esta práctica puede conducir a diseños inseguros, tanto para el propio equipo como para la estructura soporte del mismo, si no se tiene en cuenta el efecto que la rigidez tiene sobre la reacción en los apoyos. En este artículo se hace una llamada de atención sobre este hecho, ilustrándose con dos ejemplos donde se muestra la influencia de la rigidez en el diseño, y se aportan propuestas de soluciones y metodología de cálculo recomendada para este tipo de problemas.
Recibido: 31 de mayo de 2010
Aceptado: 21 de enero de 2011
Palabras clave
Cálculos, diseño industrial, estructuras, equipos industriales, rigidez, flexibilidad
ABSTRACT
An important part of the design process of an industrial plant is the calculation of the supporting structures of industrial equipment. Typically, these support structures are designed as frameworks composed of flexible elements. A common practice during the calculation process is to assume that the stiffness of the support structure, upon which the industrial equipment is based, is the same at all points of support, in order to distribute the gravity loads in proportion to the number of equipment supports.
This practice can lead to unsafe design for both the equipment itself and for its supporting structure, if we do not take into account the effect of stiffness on the reaction at the supports. This article draws attention to this subject, illustrating with two examples which show the influence of rigidity in the design, and provide proposed solutions and calculation methodology recommended for this type of problem.
Received: May 31, 2010
Accepted: January 21, 2011
Keywords
Calculations, industrial design, structures, industrial equipment, stiffness, flexibility
El apoyo de equipos sobre estructuras flexibles es una práctica muy extendida en la industria. Es difícil imaginarse un proyecto industrial en el que no se realice un diseño de equipos soportados en estructuras flexibles, pues son casos habituales en la industria química, petroquímica, minería, farmacéutica, energética y un largo etcétera.
Cuando el calculista estructural realiza el reparto de cargas de los equipos soportados en una plataforma estructural, es regla común asumir que la rigidez del piso es igual para todos los puntos de apoyo y simplemente se divide la carga del equipo entre el número de soportes del mismo para obtener la carga por punto de apoyo.
Otras veces es el propio fabricante del equipo el que suministra en el plano de conjunto del equipo las acciones a considerar en los apoyos (figura 1).
El fabricante del equipo no suele disponer de información de la estructura donde se apoyará el equipo y, por tanto, asumirá que no tiene efecto la influencia de la rigidez (normalmente asumirá rigidez infinita en los puntos de apoyo).
Reacciones en apoyos elásticos
El cálculo de las reacciones sobre apoyos elásticos está ampliamente cubierto en los textos específicos de mecánica estructural, resistencia de materiales y diseño estructural avanzado1-5.
Los apoyos elásticos quedan definidos por su constante de resorte (fuerza resultante dividida por el desplazamiento). Una forma de resolver el problema de apoyos elásticos es sustituir el apoyo elástico, en el modelo estructural, por barras que produzcan el mismo efecto.
Por ejemplo, para la viga continua de la figura 2, se podría sustituir el apoyo R2 por una columna de inercia despreciable frente a la de la viga, pero con sección transversal y longitud tal que su acortamiento elástico sea el mismo que el del resorte:
Donde:
P2 = Reacción del apoyo 2.
k2 = Constante de muelle.
E = Módulo elástico.
L25 = Longitud de la barra.
F25 = Área de la barra.
Un ejemplo sencillo de cálculo de reacciones en apoyos elásticos es el de una viga continua, cargada uniformemente, con un apoyo elástico interior. La viga estará rígidamente soportada en los puntos A y C y elásticamente en el punto B (figura 3).
Definiendo:
W = Carga uniforme kN/m.
L = Longitud total de la viga (m).
K = Constante del muelle (kN/m).
E = Módulo de elasticidad (kN/m2).
I = Inercia de la viga (m4).
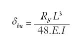
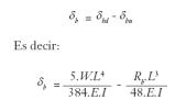
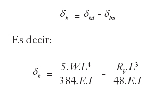
Para determinar la reacción en el punto B se procede de la siguiente forma:
1. Inicialmente se asume que no hay apoyo en B; la viga se comporta como biapoyada, y la deformación se produce en el punto B :
2. La deformación en B causada por la reacción en el apoyo elástico será:
3. La deformación neta en B será la determinada por:
A continuación se presentan dos ejemplos en los que se manifiesta claramente el efecto de la rigidez de los apoyos en el cálculo de las reacciones en los soportes de los equipos y las grandes diferencias que pueden presentarse con la hipótesis adoptada por el fabricante.
Ejemplo 1: equipo horizontal
En este ejemplo se presenta un equipo horizontal apoyado en dos muros de un depósito de hormigón. El fabricante suministra el equipo con tres apoyos.
El depósito de hormigón está soportado en lecho rocoso, con lo cual las deformaciones serán mínimas y, por tanto, el apoyo del equipo en las paredes del depósito puede asumirse como apoyo indeformable.
La oficina de ingeniería debe diseñar una estructura para soportar la carga impuesta por el apoyo central.
El fabricante del equipo proporciona los siguientes datos: Peso total equipo en operación (peso propio + contenido) = 200 kN. Diámetro exterior: 1500 mm, espesor = 10 mm
Reacciones en los apoyos:
RA = RC= 38 kN
RB = 124 kN
Inicialmente, la oficina de ingeniería propone como solución para soportar el equipo una viga central apoyada en los muros de hormigón del depósito (figura 4).
Esta viga de acero tendrá una longitud de 6 m y soportará una carga correspondiente al apoyo B del equipo con 124 kN. Se elige como perfil de soporte una IPE 500 con inercia máxima de Ix = 48.200 cm4 y tipo de acero S275JR.
El momento máximo para la carga concentrada actuando simultáneamente con el peso propio de la viga será:
Comprobación de la viga según el Código Técnico de la Edificación, Documento Básico de Seguridad Estructural, Acero (CTE-DB-SE-A):
Resistencia de la sección. Momento Flector
Resistencia de la sección. Esfuerzo cortante
Pandeo Lateral
La viga se arriostrará horizontalmente para evitar el pandeo lateral.
Verificación de deformación en estado límite de servicio.
Cumple a flecha.
La sección propuesta IPE 500 cumple con los estados límites últimos y de servicio.
Veamos seguidamente las reacciones que se producen en los apoyos considerando la rigidez del apoyo B.
Tal como se había demostrado en el apartado anterior, la reacción en el apoyo central del equipo será:
Sustituyendo en la ecuación (1) , tenemos:
Comparando con las reacciones proporcionadas por el fabricante (Tabla 1).
En este ejemplo se observa que la consideración de la rigidez del apoyo nos indica que la reacción en el apoyo central dista mucho de la considerada por el fabricante, comportándose el equipo prácticamente como biapoyado. De disponerse finalmente una solución de apoyo mediante una viga a flexión debe verificarse el equipo con estas nuevas reacciones o bien diseñar otro tipo de apoyo que asegure un comportamiento de apoyo rígido, en la figura 5 se indican algunas alternativas.
Ejemplo 2: equipo vertical
En la figura 6 se muestra un equipo vertical situado en el interior de un edificio industrial; el plano del fabricante indica los siguientes datos:
Peso total equipo …………….300 kN
Nº de puntos de apoyo………………6
Diámetro círculo puntos apoyo…2,90 m
Carga vertical por punto apoyo…. 50 kN
La oficina de ingeniería diseña un entramado de vigas IPE 300 para sopor-tar el equipo tal como se indica en la figura 6.
Si se asume apoyo rígido, cada punto de apoyo soportará 50 kN verticales tal como nos indica el fabricante del equipo.
Como la estructura es flexible, debemos realizar la comprobación del entramado teniendo en cuenta la flexibilidad de los apoyos. Para ello se realiza un modelo de ordenador6 con un conocido programa de cálculo estructural, incluyendo el entramado y el equipo simulado por un elemento de rigidez similar al equipo y los apoyos se modelan como enlaces rígidos (Rigid-Links), articulados en los apoyos con la estructura metálica.
Los enlaces rígidos serán elementos de características siguientes:
E = 7,106 N/mm2
G = 0
μ = 0,3
Densidad material = 0
Área = 6,108 mm2
Ix,Iy,Iz = 4,1011 mm4
En la figura 7 se indica el modelo de ordenador creado para este ejemplo, donde se han indicado la numeración de nodos y barras.
En la figura 8 se muestra el modelo 3D renderizado de este ejemplo, en el cual se ha incluido la modelización simulada del equipo.
Las reacciones obtenidas en los apoyos serán:
Nodos N11 y N4……….…. 106 kN
Nodos N6, N7, N8 y N9……. 22 kN
Se observa la gran variación en las reacciones del equipo debido a la flexibilidad de los soportes. Una solución para igualar las reacciones es aumentar la inercia de las vigas más flexibles. En nuestro caso serían las vigas M1 y M2, en las cuales aumentando la inercia unas tres veces (disponiendo una IPE 400), tendríamos un reparto de reacciones similares en todos los apoyos.
Conclusiones
Se ha presentado en este artículo la importancia de la consideración de la rigidez del entramado de soporte de los equipos industriales en la determinación de las reacciones en los apoyos.
El asumir, por parte de los calculistas de estructuras, el reparto de cargas simplemente dividiendo la carga total del equipo entre el número de apoyos puede conducir en muchos casos a diseños inseguros, tanto para el equipo como para la propia estructura de soporte, especial-mente en aquellos casos en los que la rigidez del entramado de apoyo no es similar para todos los puntos de apoyo del equipo.
Se recomienda que las oficinas de diseño estructural incluyan dentro de sus modelos de ordenador también el modelo de los propios equipos a soportar.
Normalmente, en los diseños de plantas industriales no se requiere un modelado complejo de elementos finitos del equipo junto con la estructura soporte, la consideración de modelos lineales del equipo (con los parámetros de rigidez del propio equipo) y soportación mediante enlaces rígidos a la estructura soporte suele ser suficiente en la gran mayoría de los casos.
Bibliografía
Grekow A, Isnard V, Mrozowicz P. (1976). Formulario del Ingeniero. Urmo S.A. de Ediciones.
Pisarenko G S, Yakovlev P, Matveev V V (1985). Manual de Resistencia de Materiales. Editorial Mir.
Belluzzi O. (1967). Ciencia de la Construcción. (4 Tomos). Aguilar, Madrid.
Argüelles Álvarez R. (1981). Calculo de Estructuras. (2 Tomos). Escuela Técnica Superior de Ingenieros de Montes.
Argüelles Álvarez R, Argüelles Bustillo R (1996). Análisis de Estructuras. Fundación Conde del Valle de Salazar.
RISA Technologies (2009). RISA3D. Rapid Interactive Structural Analysis. V8.1. General Reference Guide. California, EE UU.
Moore J P (1985). Bin Supports – A caution to Designers. Engineering Journal. American Institute of Steel Construction.























