El mercado eléctrico y el precio de la tarifa eléctrica para el pequeño consumidor en España
The electricity market and the price of the electricity tariff for the small consumer in Spain
RESUMEN
Este artículo analiza la regulación jurídica y el procedimiento para fijar el precio de la energía eléctrica en la tarifa de último recurso en España.
Recibido: 28 de junio de 2014
Aceptado: 18 de agosto de 2014
Palabras clave
electricidad, tarifa eléctrica, precio, subasta, mercado eléctrico
ABSTRACT
This article analyzes the legal regulation and the procedure for setting the price of electricity in the tariff of last resort in Spain.
Received: June 28, 2014
Accepted: August 18, 2014
Keywords
electricity, electricity tariff, price, auction, electricity market
Introducción
En enero de 2014, el Gobierno de España y las empresas eléctricas pretendieron realizar una subida desproporcionada de las tarifas eléctricas, que, aunque no se llevó a efecto en su totalidad, despertó la curiosidad y encendió las alarmas sobre la cuestión.
Surge así un interés de los consumidores por conocer la situación del sistema eléctrico en España. El tema resulta inalcanzable en un primer vistazo, por lo que conviene aclararlo.
En primer lugar, hay que partir de la regulación jurídica del sector eléctrico en España, que es muy compleja y difícil de abarcar. Para el presente estudio utilizaremos solamente la regulación general y la específica de tarifas y medidas, que es preciso consultar y, aun así, el tema resulta ampliamente farragoso.
Normativa
A continuación, se realizará un análisis, muy somero y resumido, de la normativa, tanto nacional como europea, respecto a los términos y conceptos que hacen referencia a las facturas de consumo eléctrico en los consumidores domésticos. Las siguientes son algunas referencias normativas en las que se recogen alusiones a las facturas:
– Ley 24/2013, de 28 de diciembre, del sector eléctrico. Se trata de un sector multirregulado y muy inestable, normativamente hablando. La Ley 40/1994, de 30 de diciembre, fue la primera de una serie de leyes que modificaron el sector y nunca lo abarataron. Dicha ley fue efímera y la sustituyó la Ley 54/1997, de 27 de noviembre, que a finales de 2013 ya tenía cerca de 100 parches o modificaciones. Actualmente está en vigor la Ley 24/2013, de 28 de diciembre (en adelante LSE), que ya tiene un parche.
Aunque la LSE contiene importantes novedades, el sistema eléctrico que regula es similar al existente hasta la fecha: la producción y la comercialización siguen siendo actividades liberalizadas, que se desarrollan en competencia, mientras que el transporte, la distribución y las gestiones técnica y económica del sistema se configuran como actividades reguladas. El suministro eléctrico se califica, por su parte, como un servicio de interés económico general.
En la nueva LSE se mantienen sustancialmente las diferentes formas de contratación de suministro eléctrico de que ya disponían los consumidores antes: la contratación a través de comercializadores ordinarios, la contratación a través de unos comercializadores específicos a los que la nueva ley llama “comercializadores de referencia” (cuyas funciones corresponden con las de los antiguos “comercializadores de último recurso”), o bien la contratación directa en el mercado con otros sujetos del mismo. No obstante, como novedad ahora, en los casos en que el suministro se contrate a través de alguno de los comercializadores posibles, recaerá sobre estos últimos la responsabilidad de la contratación del acceso con la empresa distribuidora y del pago de los peajes, de modo que la empresa distribuidora solo podrá reclamar su pago al comercializador en cuestión, y no al consumidor.
La nueva LSE introduce la nueva denominación de “precios voluntarios para el pequeño consumidor” para referirse a los precios máximos que podrán cobrar los comercializadores de referencia a los consumidores que se puedan acoger a ellos. Estos precios voluntarios son establecidos por el Ministerio integrando el coste de la energía, los peajes y cargos aplicables y el margen de comercialización, de forma aditiva, y reemplazan a las anteriormente denominadas “tarifas de último recurso”. En adelante, esta última expresión se reserva únicamente a los precios que resultan de aplicación a aquellos consumidores que tengan la condición de vulnerables y a aquellos otros que, sin cumplir los requisitos para la aplicación del precio voluntario para el pequeño consumidor, carezcan transitoriamente de un contrato de suministro en vigor.
Cuando la tarifa de último recurso se aplica a los consumidores vulnerables, estos gozarán del “bono social”, entendido como un descuento determinado por el Ministerio sobre el precio voluntario para el pequeño consumidor. La diferencia o descuento así aplicado deberá acabar siendo soportado por las matrices de los grupos de sociedades o, en su caso, sociedades que desarrollen simultáneamente las actividades de producción, distribución y comercialización de energía eléctrica. No obstante, hasta que se desarrolle reglamentariamente esta previsión, esa diferencia seguirá considerándose un coste liquidable en el pro cedimiento de liquidaciones de costes del sistema eléctrico.
Respecto al inicio de la actividad de los comercializadores, cuando la comercialización se desee desarrollar en el ámbito de una única comunidad autónoma, se prevé que se pueda presentar ante ella la comunicación previa acompañada de una declaración responsable sobre el cumplimiento de los requisitos aplicables, y que sea la comunidad autónoma la que las traslade al Ministerio. En cambio, en caso de incumplimiento de los requisitos para el ejercicio de la actividad, además de las sanciones que se puedan imponer, solo se prevé que sea el Ministerio el que declare la extinción de la habilitación del comercializador para operar, con independencia del ámbito territorial en que opere el comercializador.
En tales casos, el Ministerio podrá ordenar, además, el traspaso de los clientes del comercializador inhabilitado a un comercializador de referencia, así como establecer las condiciones del traspaso. La extinción de habilitación será resultado de un procedimiento administrativo contradictorio previo, en el que se podrán adoptar medidas cautelares, entre cuyos objetivos se menciona específicamente el de evitar el traspaso de los clientes suministrados a un comercializador del grupo empresarial al que pertenece la empresa que es objeto de la inhabilitación o a empresas vinculadas a la misma.
En cuanto a los deberes en el ejercicio de la actividad de los comercializadores, se refuerzan sus deberes frente a los consumidores y se añade un nuevo procedimiento alternativo para la resolución de litigios sobre consumo de energía eléctrica. A través del mismo, los usuarios finales que sean personas físicas podrán someter al Ministerio de Industria, Energía y Turismo sus controversias en materia de consumo con el resto de sujetos del sistema eléctrico, para quienes resultará obligatorio someterse a ese procedimiento y a las decisiones que en él dicte el Ministerio (Cuatrecasas Gonçalves. 2013).
En desarrollo de lo anterior, en el artículo 5.2 del Real Decreto 1164/2011 se señala: “La facturación expresará las variables que sirvieron de base para el cálculo de las cantidades y, en todo caso, se desglosarán en la facturación los importes correspondientes a la imputación de los costes de diversificación y seguridad de abastecimiento y permanentes del sistema y los tributos que graven el consumo de electricidad, así como los suplementos territoriales cuando correspondan”.
– Real decreto 1955/2000, de 1 de diciembre por el que se regulan las actividades de transporte, distribución, comercialización, suministro y procedimientos de autorización de instalaciones de energía eléctrica. Esta norma establece en su artículo 82 algunos aspectos importantes que hay que tener en cuenta en la facturación, relacionados con las lecturas, consumos estimados y descuentos ofrecidos por las comercializadoras del mercado libre:
1. La facturación del suministro a tarifa y del acceso a las redes se efectuará por la empresa distribuidora mensual o bimestralmente, y se llevará a cabo en función de la lectura de los equipos de medida instalados a tal efecto.
2. No obstante, a los consumidores acogidos a las tarifas de suministro 1.0 y 2.0 o las que sustituyan a estas, podrá facturarse en función de los promedios históricos del año anterior. En tal circunstancia, se notificará el procedimiento al consumidor, quien podrá aceptar este método de facturación. En las facturas se indicará “consumo estimado”. En todo caso, el distribuidor deberá realizar una regularización semestral a partir de lecturas reales. Previo acuerdo expreso entre las partes, podrá facturarse una cuota fija mensual proporcional a los consumos históricos y cuando no los haya con una estimación de horas de utilización diaria, previamente acordada, más el término de potencia. En todo caso, se producirá una regularización anual según las lecturas reales. Cuando se pacte una cuota fija mensual, la empresa distribuidora podrá exigir una determinada forma de pago.
3. En el caso de que las empresas distribuidoras apliquen descuentos sobre las tarifas máximas autorizadas en un ámbito geográfico determinado y a un número y categoría de consumidores determinados, estos descuentos deberán ser públicos.
4. A los sujetos acogidos al pago por domiciliación bancaria no podrá adeudárseles en cuenta cantidad alguna hasta transcurridos siete días naturales desde la remisión de la factura. Por otra parte, el Real Decreto 1955/2000, establece en el artículo 110 bis la información que se debe facilitar al consumidor en relación con el origen de la electricidad consumida y su impacto sobre el medio ambiente y en el artículo 110 ter, relativo a los requisitos mínimos de los contratos suscritos con clientes domésticos, que la información sobre precios y tarifas aplicables y, en su caso, disposición oficial donde se fijen los mismos deberá estar permanentemente actualizada a través de la facturación. Cabe reseñar que este real decreto tiene 88 modificaciones sucesivas y ningún texto refundido oficial.
– Real decreto 1435/2002, de 27 de diciembre, por el que se regulan las condiciones básicas de los contratos de adquisición de energía y de acceso a las redes en baja tensión. En las facturas deben constar datos de identificación de la empresa, como los siguientes mencionados en el artículo 3.5 de esta norma: “Los comercializadores en sus facturas a los consumidores deberán necesariamente hacer constar el Código Unificado de Punto de Suministro, el número de póliza de contrato de acceso, la tarifa de acceso a que estuviese acogido el suministro, los datos necesarios para el cálculo de dicha tarifa de acceso y la fecha de finalización del contrato”.
– Resolución de 26 de junio de 2009, de la Secretaría de Estado de Energía por la que se determina el procedimiento de puesta en marcha del bono social. Se crea el bono social para determinados consumidores de electricidad acogidos a la tarifa de último recurso, y esta norma establece el procedimiento para su puesta en marcha.
– Resolución de 24 de mayo de 2011, de la Dirección General de Política Energética y Minas, por la que se modifica la de 14 de mayo de 2009, por la que se establece el procedimiento de facturación con estimación del consumo de energía eléctrica y su regularización con lecturas reales. Esta norma se refiere a las lecturas que se realizan de los consumos. Establece que las lecturas reales deben “ser realizadas por las empresas distribuidoras con periodicidad bimestral y no semestral”. Además, instaura el procedimiento de facturación con estimación del consumo de energía eléctrica y su regularización con lecturas reales:
“En el caso de suministros para los que no existan promedios históricos diarios del mismo periodo del año anterior, así como en los casos en que se produzca un aumento o disminución de la potencia contratada, en el periodo que transcurra hasta que exista dicho promedio histórico con la nueva potencia contratada, el término de energía se facturará considerando la utilización de la potencia contratada de acuerdo con lo siguiente: (fórmulas).”
“En aquellos suministros en los que el consumo comprendido entre dos lecturas reales sea nulo, no procederá estimar el consumo de los siguientes periodos de facturación sobre la base del promedio histórico diario del mismo periodo del año anterior. En estos casos, hasta la siguiente lectura real, en las facturaciones mensuales basadas en consumos estimados se igualará el término de energía a cero.”
– Orden ITC/1659/2009, de 22 de junio, por la que se establece el mecanismo de traspaso de clientes del mercado a tarifa de último recurso de energía eléctrica y el procedimiento de cálculo y estructura de las tarifas de último recurso de energía eléctrica. En ella se establece la estructura de las tarifas de último recurso aplicables a los consumidores de baja tensión con potencia contratada hasta 10 kw, y sus peajes de acceso correspondientes. Tiene unas 50 modificaciones.
– Orden ITC/1723/2009, de 26 de junio, por la que se revisan los peajes de acceso a partir del 1 de julio de 2009 y las tarifas y primas de determinadas instalaciones de régimen especial. Esta orden impone la obligación a los comercializadores de último recurso de remitir en todas las facturas a los consumidores con derecho a suministro de último recurso el listado de comercializadores y las condiciones de aplicación del bono social.
– Directiva 2009/72/CE del Parlamento Europeo y del Consejo de 13 de julio de 2009 sobre normas comunes para el mercado interior de la electricidad y por la que se deroga la directiva 2003/54/CE. La Directiva 2009/72/CE del Parlamento Europeo y del Consejo, de 13 de julio de 2009, sobre normas comunes para el mercado interior de la electricidad (que deroga la Directiva 2003/54/CE) profundiza en la protección al consumidor a través de dos formas:
1. La primera, facilitándole información sobre sus consumos y los costes asociados al mismo de una forma clara que le permita comparar entre las distintas ofertas.
2. La segunda, proporcionándole el conocimiento sobre el coste de su suministro.
Según la normativa comunitaria, las compañías deben ofrecer a sus clientes toda la información que necesiten, y esta debe ser clara y concisa, tal como lo exige la Directiva 2009/72/CE, en la que se establece en el artículo 3.5 el derecho de los consumidores a “recibir todos los datos pertinentes sobre el consumo”.
Además, añade en el artículo 3.9 que es el propio Estado el que debe garantizar que esta sea “fiable” y que se facilite “de manera claramente comparable en el plano nacional”. Pero no solo eso. La norma comunitaria incide en la forma en que se facilitan los datos y en su artículo 37, establece que hay que “facilitar, para su uso facultativo, un formato fácilmente comprensible y armonizado de presentación de estos datos en el plano nacional, así como el acceso rápido para todos los clientes”.
En este sentido, la directiva establece en su Considerando 45 que los Estados miembros “deben garantizar que los clientes domésticos y, cuando los Estados miembros lo consideren adecuado, las pequeñas empresas tengan derecho a un suministro de electricidad de una calidad determinada a unos precios claramente comparables, transparentes y razonables.”
Adicionalmente, en el Considerando 50 indican que un aspecto clave en el suministro a los clientes “es el acceso a datos sobre el consumo objetivos y transparentes. Por ello, los consumidores deben tener acceso a sus datos de consumo, los precios asociados y los costes del servicio, de manera que puedan invitar a los competidores a hacer ofertas basándose en ellos. Por otra parte, también deben tener derecho a estar adecuadamente informados de su consumo de energía. Los pagos anticipados deben reflejar el consumo probable de electricidad y los diferentes sistemas de pago no deben ser discriminatorios. La información sobre los costes facilitada a los consumidores con la suficiente frecuencia creará incentivos para el ahorro de energía, ya que los consumidores tendrán una respuesta directa sobre los efectos de la inversión en eficiencia energética y de los cambios de comportamiento”.
En el artículo 3.5 se determina: “Los Estados miembros garantizarán que:
a) en caso de que un cliente, en el respeto de las condiciones contractuales, desee cambiar de proveedor, el cambio se efectúe en un plazo de tres semanas por parte del gestor o gestores de que se trate, y b) que los consumidores tengan derecho a recibir todos los datos pertinentes sobre el consumo.”
Asimismo, en relación con la factura de electricidad, en el artículo 3.9 establece que los Estados miembros garantizarán que los suministradores de electricidad indiquen en las facturas, o junto a ellas, y en la documentación promocional puesta a disposición de los clientes:
La contribución de cada fuente energética a la combinación total de combustibles de la empresa durante el año anterior, de una manera comprensible y claramente comparable en el plano nacional. Por lo menos, la referencia a fuentes de información existentes, como páginas web, en las que esté disponible para el público información sobre el impacto en el medio ambiente al menos en cuanto a las emisiones de CO2 y los residuos radiactivos derivados de la electricidad producidos por la combinación total de combustibles de la empresa durante el año anterior; La información relativa a sus derechos respecto de las vías de solución de conflictos de que disponen en caso de litigio.
Asimismo, tres apartados más adelante, esto es, en el artículo 3.12 se insiste en lo siguiente: “Los Estados miembros garantizarán la creación de puntos de contacto únicos para ofrecer a los consumidores toda la información necesaria relativa a sus derechos, a la legislación en vigor y a las vías de solución de conflictos de que disponen en caso de litigio. Estos puntos de contacto podrán formar parte de los puntos generales de información de los consumidores”.
Finalmente, en el Anexo I, entre otras medidas de protección, establece que los consumidores reciban información transparente sobre los precios, tarifas y condiciones generales aplicables al acceso y al uso de los servicios de electricidad y que estén informados adecuadamente del consumo real de electricidad y de los costes correspondientes con una frecuencia que les permita regular su propio consumo de electricidad.
Concretamente, la directiva europea insiste en proteger al consumidor y señala varias medidas para velar por él y que tienen relación con la información que se incluye en las facturas de la luz. Son las siguientes:
– Que los clientes reciban información transparente sobre los precios, tarifas y condiciones generales aplicables al acceso y al uso de los servicios de electricidad.
– Que los clientes gocen de amplia libertad para escoger el modo de pago, de forma que no se produzca discriminación indebida entre consumidores. Los sistemas de pago anticipado serán justos y reflejarán adecuadamente el consumo probable. Cualquier diferencia en las condiciones reflejará los costes que suponen para el proveedor los distintos sistemas de pago. Las condiciones generales serán equitativas y transparentes y se explicarán en un lenguaje claro y comprensible y no incluirán obstáculos no contractuales al ejercicio de los derechos de los consumidores, por ejemplo una documentación contractual excesiva. Se protegerá a los clientes contra los métodos de venta abusivos o equívocos.
– Que los clientes tengan a su disposición sus datos de consumo y puedan, mediante acuerdo explícito y gratuito, dar acceso a los datos de medición a cualquier empresa de suministro registrada. La parte encargada de la gestión de datos estará obligada a facilitar estos datos a la empresa. Los Estados miembros definirán un formato para los datos y un procedimiento para que los suministradores y consumidores tengan acceso a ellos. No podrán facturarse al consumidor costes adicionales por este servicio.
– Que los clientes estén informados adecuadamente del consumo real de electricidad y de los costes correspondientes con una frecuencia que les permita regular su propio consumo de electricidad. La información se facilitará con el tiempo suficiente, teniendo en cuenta la capacidad del equipo de medición del cliente y el producto eléctrico de que se trate. Habrá de tenerse debidamente en cuenta la rentabilidad de dichas medidas. No podrán facturarse al consumidor costes adicionales por este servicio (Herrero y Barroso, 2013).
Esta directiva choca de facto con la normativa española y con el enorme oscurantismo de las empresas eléctricas que operan en España, pues reconoce derechos que están sin desarrollar o que simplemente no existen.
– Resolución de 23 de mayo de 2014, de la Dirección General de Política Energética y Minas, por la que se establece el contenido mínimo y el modelo de factura de electricidad. Se trata de la última normativa publicada en el BOE de 30 de mayo de 2014, ante el enorme descontento social existente en España respecto al “recibo de la luz”. El Ministerio afirma, unilateralmente, que el nuevo modelo de recibo abaratará la factura final. Sin embargo, resulta que es un modelo que no es obligatorio, sino voluntario y que no reconoce ningún derecho al cliente; solamente proporcionará un poco más de información. Veremos si baja algo el recibo con el nuevo modelo voluntario.
Ciertamente, hoy en día, toda la información se publica en Internet, pero se ha complicado tantísimo el sistema eléctrico y existen tantos eufemismos (destinados a confundir, no puede ser de otra forma), que realmente resulta poco menos que imposible desentrañarlo y los datos no siempre figuran donde tienen que estar y como tienen que encontrarse. Todo parece reflejar que es mejor que el sector eléctrico no lo entienda nadie. Si no es comprensible, es más sencillo de manejar y cuanto más opaco resulte, mejor. Hasta la legislación es compleja de abarcar, por sus múltiples modificaciones y la falta de textos refundidos.
La dispersión, y la diarrea legislativa, son tan enormes que provocan que la normativa eléctrica resulte casi imposible de abarcar. La legislación se encuentra extremadamente dispersa; por ejemplo, las tarifas eléctricas todavía tienen en vigor partes de legislación tarifaria de la década de 1990. No existe un solo texto refundido; la anterior ley del sector eléctrico (Ley 54/1997) tenía más de 100 modificaciones específicas o “parches”. El Real Decreto 1955/2000 tiene muchísimas y así sucesivamente. En diversos textos legales denominados “leyes paraguas”, “ómnibus” y desaguisados o refritos legales similares, se han realizado modificaciones normativas de importancia capital de diversos temas eléctricos. Ello hace muy difícil, incluso para los profesionales del sector, determinar la legislación que es aplicable. Incluso son aplicables, al sector eléctrico, algunos artículos de la Ley 34/1998, de 7 de octubre, del sector de hidrocarburos. El Ministerio de Industria, no ha publicado un texto refundido y/o un listado de normas, o de sus partes vigentes, en los últimos 30 años o más. Como dice un viejo, y sabio, refrán español, “a río revuelto, ganancia de pescadores”. El resultado es el precio de la electricidad más elevado de la Europa continental y aumentando imparablemente. Además de una indefensión absoluta del usuario, que queda reducido a mero “pagano” sin explicación plausible.
Actividades
Las principales actividades destinadas al suministro de energía eléctrica son la generación, el transporte, la distribución y la comercialización.
Generación
Es la producción de electricidad a partir de energías primarias. Existen dos grupos de tecnologías, las del régimen ordinario que utilizan fuentes de energía no renovable: térmica convencional y nuclear, y las del régimen especial, que utilizan fuentes de energía renovable (hidráulica, eólica, solar, biomasa, etc.) o de utilización eficiente de la energía. Cada tecnología tiene una estructura de costes. Asimismo, cada tecnología tiene una capacidad distinta para responder a la demanda, debido a los diferentes tiempos de arranque o su propia capacidad de funcionamiento (hidráulica, nuclear y demás). Se trata de una actividad “liberalizada” y puede ser ejercida por cualquier sujeto en régimen de “competencia”.
Transporte
La actividad de transporte tiene por objeto la transmisión de la electricidad desde el punto donde se genera hasta los grandes consumidores industriales conectados directamente a la red de transporte y los grandes centros de consumo, donde la electricidad pasa a las redes de distribución. La red de transporte comprende las instalaciones de muy alta tensión (entre 220 kV y 400 kV). Se trata de una actividad regulada, ejercida en régimen de monopolio por Red Eléctrica, que es el gestor de la red de transporte y actúa como transportista único, desarrollando esta actividad en exclusividad (artículo 34.2 de la Ley 24/2013), sin que se comprenda la razón. Red Eléctrica es la única empresa especializada en la actividad de transporte de energía eléctrica en España y es responsable del desarrollo y ampliación de la red, de realizar su mantenimiento, de gestionar el tránsito de electricidad entre sistemas exteriores y la Península y garantizar el acceso de terceros a la red de transporte en régimen de igualdad.
Distribución
“Consiste en el transporte de electricidad por las redes de distribución con el fin de suministrarla a los clientes” (artículo 38 de la Ley 24/2013). La red de distribución comprende instalaciones de tensión inferior o igual a 132 kV (art. 5). Los distribuidores son los gestores de las redes de distribución que operen y, como tales, son responsables de la explotación, del mantenimiento y, en su caso, del desarrollo de su propia red de distribución y de garantizar que esta tenga capacidad suficiente para asumir una demanda razonable de distribución de electricidad. Se trata de un monopolio territorial con muchos privilegios.
Las empresas transportistas y distribuidoras de energía eléctrica, entre las que se incluye Red Eléctrica de España, transportan dicha energía por sus redes, a cambio de una contraprestación económica y controlan, además, el acceso a las instalaciones de distribución. Reciben órdenes telemáticas (por lo que se ve, a veces absurdas) de las empresas comercializadoras de energía eléctrica y, teóricamente, debe existir un contrato de acceso a la red de distribución (que casi nadie tiene, ni conoce) entre el cliente y la empresa distribuidora en electricidad. Son las beneficiarias de multitud de ayudas para realizar trabajos que tienen que asumir y son parte de sus obligaciones. Son también las que aplican, de aquella manera, los precios de las acometidas eléctricas y que, posteriormente, incluyen, en algunos casos, dichas inversiones, realizadas por los particulares, en sus planes de inversión y retribución como si fueran propias (Vizoso, 2013).
Comercialización
El suministro de energía eléctrica consiste en la entrega de energía a través de las redes de transporte y distribución mediante contraprestación económica. El suministro es realizado por las empresas autorizadas para hacerlo, las empresas de comercialización y otros sujetos autorizados en el mercado de la producción (para los consumidores directos en mercado, en cuyo caso estos adquieren la energía al productor y pagan el peaje por el acceso a la red a la distribuidora donde estén ubicadas sus instalaciones).
Las empresas comercializadoras de energía eléctrica son de dos tipos fundamentales: las que comercializan el llamado “precio voluntario para el pequeño consumidor”, ahora denominadas “comercializadoras de referencia” y las que lo hacen a mercado libre. Las primeras suministran a la mayoría de los hogares españoles en el actualmente denominado “precio voluntario para el pequeño consumidor” y suelen ser del mismo grupo de empresas de la distribuidora de energía eléctrica de la zona. No obstante, se considera que ninguna de estas empresas se puede negar a realizar un contrato a precio voluntario en ningún punto de España y tienen la obligación, además, de acoger a cualquier español al que las comercializadoras en mercado libre no acepten. En caso contrario estaríamos ante una total “indefensión eléctrica”. Están sujetas a una tutela administrativa no muy estricta.
Las empresas comercializadoras en mercado libre tienen libertad de elección de sus clientes y, de hecho, se pueden negar a suscribir contratos con ellos (sic). Su tutela administrativa es mucho menos efectiva, utilizan tarifas y denominaciones de las mismas, a veces ininteligibles, y sus recibos contienen conceptos como mantenimientos, seguros y otros muchos que nada tienen que ver con el suministro eléctrico que deben realizar y con el efectivo asesoramiento, que tienen obligación de proporcionar a sus clientes y no efectúan, sobre las tarifas más económicas. Una empresa de este tipo se pone en marcha con una oficina, una centralita y una serie de comerciales, normalmente demasiado “agresivos”, que, a mayores, reciben una comisión por contrato efectuado, con incentivos en función de los “mantenimientos” que consigan. El susto se lo lleva el cliente cuando recibe la factura.
La actividad de comercialización consiste, pues, en la venta de energía eléctrica a consumidores finales. Los comercializadores compran la energía a las empresas generadoras a través del mercado de producción (pool) de energía eléctrica o a través de contratos bilaterales con un productor, y facturan al consumidor la energía vendida y el peaje por el acceso a la red de distribución. Es una actividad liberalizada y puede ser ejercida por cualquier sujeto en régimen de competencia. Se precisa una autorización administrativa previa, que en ningún caso otorga derechos exclusivos.
Agentes
Los agentes o los sujetos que realizan estas actividades están regulados en el artículo 6 de la Ley 24/2013, del Sector Eléctrico: Las actividades destinadas al suministro de energía eléctrica serán desarrolladas por los siguientes sujetos:
A. Los productores de energía eléctrica, que son aquellas personas físicas
– o jurídicas que tienen la función de generar energía eléctrica, ya sea para su consumo propio o para terceros, así como las de construir, operar y mantener las centrales de producción.
B. El operador del mercado, sociedad mercantil que tiene las funciones que le atribuye el artículo 29 de la Ley del Sector Eléctrico. Tiene un papel importante: casa la oferta y la demanda de energía en tiempo real. La compañía Operadora del Mercado Ibérico de Electricidad SA, OMIE, POLO ESPAÑOL SA, es la responsable de la gestión económica del mercado. Entre sus funciones están: a) la recepción y casación de las ofertas de los agentes; b) la determinación de los precios en los mercados diario e intradiario y gestión de restricciones; c) el ajuste de todas las transacciones del mercado; d) informar a todos los agentes sobre los resultados de la casación, y e) coordinar con el operador del sistema en la medida que se requiera para el cumplimiento de sus funciones.
C. El operador del sistema, sociedad mercantil que tiene las funciones que le atribuye el artículo 30 de la Ley del Sector Eléctrico. Es el responsable de la gestión técnica del sistema eléctrico español, tanto en la Península como en los sistemas insulares y extrapeninsulares, garantizando la seguridad y continuidad del suministro eléctrico para que este fluya desde los centros de generación hasta los de consumo. El operador del sistema es Red Eléctrica de España (REE).
La imposibilidad de almacenamiento del fluido eléctrico, obliga a que la producción se iguale al consumo de forma precisa e instantánea, lo que exige su equilibrio constante. La función de Red Eléctrica consiste en garantizar ese equilibrio y, para ello, prevé el consumo y opera y supervisa en tiempo real las instalaciones de generación y transporte, logrando que la producción de las centrales coincida con la demanda de los consumidores.
Cuando esto no es así, Red Eléctrica envía las órdenes oportunas a las centrales para que ajusten su producción aumentando o disminuyendo la generación de energía. Estas son algunas de sus actividades: a) coordina los planes y actividades de mantenimiento de generación y las redes de transporte; b) coordina los planes desarrollo y de refuerzo de la red de transporte; c) coordina a los operadores exteriores y ofrece información sobre las interconexiones; d) da las instrucciones de operación en situaciones normales y de emergencia, y e) da información a todos los agentes del mercado (productores, distribuidores, comercializadores).
D. El transportista, que es aquella sociedad mercantil que tiene la función de transportar energía eléctrica, así como construir, mantener y maniobrar las instalaciones de transporte. Coincide con el operador del sistema, es decir, Red Eléctrica de España.
E. Los distribuidores, que son aquellas sociedades mercantiles que tienen la función de distribuir energía eléctrica, así como construir, mantener y operar en las instalaciones de distribución destinadas a situar la energía en los puntos de consumo.
Estas dos empresas reciben una retribución complejísima, a partir de una legislación específica y casi ininteligible (RD 1047/2013 y RD 1048/2013, de 27 de diciembre), que se extrae de las tarifas de acceso que fija el Gobierno y en las que existen múltiples costes sin justificar, como se verá más adelante.
F. Los comercializadores, que son aquellas sociedades mercantiles que, accediendo a las redes de transporte o distribución, adquieren energía para su venta a los consumidores, a otros sujetos del sistema o para realizar operaciones de intercambio internacional en los términos establecidos en la presente ley.
G. Los consumidores, que son las personas físicas o jurídicas que compran la energía para su propio consumo. Aquellos consumidores que adquieran la energía directamente en el mercado se denominarán consumidores directos en mercado.
Cada una es una persona jurídica independiente (en teoría). Lo que no es óbice para que se hayan organizado grupos de empresas con accionariado e imagen de marca únicos. Las empresas generadoras y distribuidoras son las mismas de siempre, el único eslabón de la cadena en el que han entrado algunas sociedades mercantiles nuevas es en el de las comercializadoras de electricidad. Ello no ha producido, ni siquiera, una ligera bajada del precio del kWh.
El mercado eléctrico
Para comenzar, los kWh generados se contratan en un mercado diario de oferta y demanda en el que los productores van ofertando su producción y los compradores su consumo hasta que se cruzan las curvas de la oferta y la demanda en un punto y a un precio. Dicho punto es el que fija el precio del kWh para todos los intervinientes en el mercado. Cabe reseñar que los compradores y los vendedores son, en su mayor parte, los mismos. Venden las empresas generadoras de electricidad. Los compradores son las empresas comercializadoras de electricidad, que pertenecen al mismo grupo empresarial que las generadoras, tienen el mismo accionariado e incluso utilizan la misma imagen de marca comercial. Las empresas que comercializan en mercado libre y en tarifa de último recurso son diferentes, pero también del mismo grupo empresarial. Se trata de sociedades diferentes, sus nombres son parecidos y ello induce a equívoco, pero son sociedades distintas y venden el mismo producto con precios diferentes. Son propiedad del mismo grupo energético, con una única imagen comercial y publicitaria y ello puede inducir a error. La legislación prescribe una separación de actividades y, para ello, se han creado sociedades diferentes que pertenecen íntegramente al mismo grupo empresarial. Con ello se ha cumplido la letra de la ley, pero sigue siendo un único grupo de empresas, que tributa en régimen de beneficios consolidados, por lo que estamos ante un enorme fraude de ley. Entre los compradores también aparecen los grandes bancos, que poseen grandes paquetes de acciones de dichas eléctricas y los grandes operadores financieros mundiales, comúnmente denominados “tiburones financieros”.
La demanda de energía eléctrica de los distintos consumidores depende, a corto plazo, fundamentalmente de dos factores: si el día es laborable o festivo y de la temperatura ambiente.
El precio del mercado para la hora h del día D se determina por la intersección de la curvas de oferta y de demanda de electricidad del mercado para esa hora. Este precio determina, a su vez, las ofertas de compra y de venta que resultan casadas (es decir, la energía que se intercambiará finalmente al precio del mercado). En cada hora, todas las ofertas de venta que resulten casadas reciben el precio del mercado, todas el mismo, independientemente de la oferta que realizaran.
Respecto al sistema de casación de precios del mercado mayorista, es absolutamente injusto, pues se van admitiendo ofertas a precios diversos, desde 0 c€ en adelante. Las energías prioritarias (nuclear y renovables) ofertan a partir de 0 c€/kWh y a continuación se siguen acumulando las ofertas hasta que la curva de oferta y la de demanda se cortan. A ese precio se le pagará la energía producida a todos los ofertantes, por eso hay horas del día en que la energía casa a 0 c€, ya que los productores prioritarios como las energías renovables y las centrales nucleares tienen preferencia de producción y ofertan a cero, o casi, para entrar seguro en producción. Cuando con su producción cubren la totalidad de la demanda, entonces el precio de esa hora es 0 c€/kWh para todos; pero eso solo ocurre en algunos (pocos) periodos durante la noche y algunas horas los fines de semana. Véase la línea de color rojo de la curva de oferta de la figura 1, en la que se ve una parte de la curva de oferta que es horizontal, que se corresponde con las ofertas a 0 c€. El sistema es totalmente injusto, pues abona el mismo precio por kWh producido a las centrales térmicas de carbón, fuel o gas, que precisan pagar el combustible, que a las centrales nucleares e hidroeléctricas muy antiguas, cuyo coste de producción se acerca mucho a cero, pues no tienen coste alguno de amortización, y dada su antigüedad, el coste de operación es muy reducido.
Partimos, pues, de un sistema de fijación de precios en el mercado mayorista totalmente asimétrico, que favorece enormemente a las eléctricas en detrimento de los ciudadanos, pagando a los primeros un precio alto por muchos kilovatios que no les cuesta prácticamente nada producir.
La figura 1 muestra un ejemplo de las casaciones de oferta y demanda que lleva a cabo diariamente el OMIE para cada hora del día siguiente (en este caso, la casación realizada el día 24/01/08 para la hora 1 del día 03/04/2014, publicada en su página web).
Las empresas de generación eléctrica venden su energía en un mercado, teóricamente, transparente y regido por las leyes de la oferta y la demanda. El problema es que los que compran y los que venden en dicho mercado son fundamentalmente los mismos. Estas compañías son las que alegan que existe un “déficit de tarifa”, que quizás sea contable, pero no real. Si realmente perdieran todo lo que alegan, hace años que habrían cerrado el negocio en lugar de repartir suculentos beneficios y enormes sueldos.
La tarifa de último recurso
Desde el 1 de julio de 2009, los usuarios pueden contratar en España el suministro eléctrico con cualquiera de las empresas comercializadoras de electricidad que se dedican a esta actividad. Ello no ha producido, sin embargo, una disminución del precio de la energía eléctrica para el consumidor.
Antes de que el mercado fuera libre, las tarifas oficiales de la electricidad se publicaban en el Boletín Oficial del Estado y todos los españoles podían saber qué tarifa les resultaba más interesante, en función de su consumo y de las características de su suministro. El coste de la electricidad era comprensible y el precio claro. Actualmente el “recibo de la luz” es absolutamente ininteligible y es imposible, para el ciudadano medio, realizar una comparación efectiva de las distintas ofertas y/o tarifas existentes en el mercado, ya no digamos comprenderlo.
Cuando se “liberalizó” el mercado eléctrico, existía además una tarifa, denominada de “último recurso” (actualmente denominada “precio voluntario para el pequeño consumidor”), en la que estaban los clientes que no contrataron voluntariamente con alguna empresa comercializadora de electricidad a mercado libre, siempre que tuvieran una potencia contratada menor de 10 kW y solamente esos consumidores tenían opción a acogerse a una tarifa denominada por el Gobierno “tarifa de último recurso” (TUR en adelante). Simplemente, los ciudadanos que no realizaron ninguna acción y/o contacto con las empresas eléctricas fueron los que, por defecto, pasaron a ser suministrados a la TUR.
Esta tarifa resultaba más económica que la de mercado libre para estos consumidores. Los suministros en la antigua TUR suponen el 58% del total de puntos de entrega de energía eléctrica a los consumidores finales en España y absorben, aproximadamente, el 20,8% de la energía total vendida en nuestro país en baja tensión.
En total, las empresas eléctricas facturan a los españoles unos 6.524.250.000 € (1,0855438605 billones de pesetas) anualmente en concepto de término de energía (solo en la TUR), a lo que hay que añadir el impuesto sobre la electricidad y a mayores el IVA (en total, el 27,18%, al final de los que más han subido el recibo de la electricidad son el IVA y el impuesto adicional a la electricidad), para determinar el precio final que tiene que soportar el consumidor español.
Hubo un momento en el que se consideró que el sector eléctrico iba a tener unos costes, que se denominaron inicialmente “costes de transición a la competencia” y se reconoció a las empresas del sector eléctrico casi un billón y medio de las antiguas pesetas en concepto de dichos costes y que pagamos todos los españoles. Sin embargo, no se produjeron tales costes, ni se revisó por ello la cifra a la baja. Ya se sabe aquello de “Santa Rita Rita, lo que se da no se quita”. De aquella cifra partió lo que ahora se denomina “déficit de tarifa” y que ya supera bastante los cuatro billones de las antiguas pesetas.
De acuerdo con el artículo 8 de la Orden ITC/1659/2009, de 22 de junio, por la que se establece el mecanismo de traspaso de clientes del mercado a tarifa al suministro de último recurso de energía eléctrica y el procedimiento de cálculo y estructura de las tarifas de último recurso de energía eléctrica, que desarrolla el Real Decreto 485/2009, de 3 de abril, por el que se regula la puesta en marcha del suministro de último recurso en el sector de la energía eléctrica. Dicha tarifa se determinará en función de una serie de fórmulas que se exponen a continuación.
Las subastas de compra de energía para el suministro de último recurso (CESUR) eran un mecanismo, poco competitivo, en el que los comercializadores de último recurso (CUR) compraban parte de la energía destinada a los consumidores acogidos a la TUR. La finalidad de estas compras de energía, denominadas CESUR (contratos de energía para el suministro de último recurso), era, por un lado, fomentar la liquidez de los mercados a plazo y, por otro lado, estabilizar el coste de la tarifa integral haciendo previsible el coste de adquisición de la energía para los consumidores acogidos al suministro regulado, frente al valor más imprevisible de la energía si se compra diariamente en el volátil mercado diario. Todo ello no se cumplió, sino que se puso el mercado en manos de especuladores. Un coste de generación más cercano a la realidad y conocido ex ante permitiría suprimir totalmente el denominado por la eléctricas déficit tarifario (inexistente pero cierto, porque lo estamos pagando con nuestros impuestos).
Con las subastas CESUR, teóricamente, se debía conseguir un precio de la electricidad competitivo para el suministro a tarifa regulada. La ventaja fundamental de una formación de precios bajo un sistema de subasta es la transparencia y la competencia entre generadores, comercializadores y agentes cualificados en la formación de precios, aportando beneficios tanto a vendedores, como compradores y consumidores.
Las subastas CESUR, además, presentaban otras ventajas, como eliminar la discrecionalidad de la Administración al prever los precios que incluir en las tarifas, así como poder suministrar a los consumidores finales a precios regulados estables en el medio y largo plazo, evitando las fluctuaciones propias del corto plazo e integrando los precios de la producción o generación reales en las tarifas reguladas.
Con las subastas CESUR, el riesgo en la formación de precios de la tarifa integral lo asumen desde el inicio los agentes vendedores, y son ellos directamente los que participan pujando en las subastas. Todo ello en teoría; en la práctica, ya sabemos cómo acabó en diciembre de 2013.
El tan traído “recibo de la luz” consta de dos partes fundamentales, que son:
El término de potencia, es un precio que se paga en función de la potencia que cada uno tiene contratada, y disponible (se consuma o no). Se trata de un pago injusto que perjudica y disuade el ahorro energético. Es equivalente al coste fijo que se paga por la línea telefónica, se hable o no. En la tarifa de último recurso será el término de potencia de la tarifa de acceso más el margen de comercialización fijo, calculado de acuerdo con la siguiente fórmula: Ecuación 1
TPU = TPA + MCF
Siendo:
TPU = Término de potencia de la tarifa de último recurso.
TPA = Término de potencia de la tarifa de acceso (31,649473 €/kW y año) (BOE, 2013, p 56.735).
MCF = Margen de comercialización fijo, expresado en Euros/kW y año. No se ha encontrado nada sobre este término, por lo que se llega a la conclusión de que no se está aplicando. Por tanto, se toma TPU = TPA.
El término de energía es un pago que se realiza en función del consumo realizado y medido. En la tarifa de último recurso será igual a la suma del término de energía de la correspondiente tarifa de acceso y el coste estimado de la energía, calculados de acuerdo con el contenido de la Orden ITC/1659/2009, de acuerdo con la siguiente fórmula: Ecuación 2
TEUp = TEAp + CEp
Siendo:
P = Subíndice que identifica el periodo tarifario. Tomará los siguientes valores:
0, para tarifas de último recurso sin discriminación horaria.
1, para el periodo 1 que se define en el artículo 6 de la Orden ITC/1659/2009.
2, para el periodo 2 según se considera para cada caso en el artículo 6 de la Orden ITC/1659/2009.
3, para el periodo 3; (supervalle) que se cita en el artículo 6 de la Orden ITC/1659/2009.
TEUp = Término de energía de la tarifa de último recurso en el periodo tarifario p, según corresponda.
TEAp = Término de energía de la tarifa de acceso en el periodo tarifario p, según corresponda (0,053255 €/kwh) (BOE, 2013, p 56.735).
CEp = Coste estimado de la energía suministrada en el periodo p, medida en el contador del consumidor.
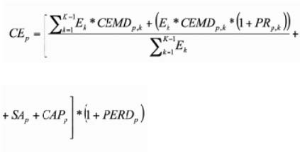
El coste estimado de la energía se calculará para cada trimestre y periodo tarifario de las tarifas de último recurso, definidas en el artículo 6 de la Orden ITC/1659/2009, de acuerdo con la siguiente fórmula:
Ecuación 3
Donde,
K = Número de subastas trimestrales (k = 1,2, 3, …, K). K es la última subasta a celebrar. Por resolución de la Secretaría de Estado de Energía se fijará el número de subastas a realizar en cada trimestre.
Ek = Energía adjudicada en la subasta k. Ek es la energía adjudicada en la última subasta a celebrar.
= Energía total adjudicada en las subastas para el trimestre que corresponda. (en el 4o trim. de 2013 son 2500 MW y 352 MW) (OMEL, 2013).
CEMDp,k = Coste estimado de la energía en el mercado diario asociada al suministro en el periodo tarifario p y calculado para cada subasta k de acuerdo con lo establecido en el artículo 10 de la Orden ITC/1659/2009. (en el 4o trim. de 2013 son 47,58 €/MWh y 57 €/MWh).
PRp,k = Prima de riesgo, que tomará valor nulo para todas las subastas con la excepción de la última subasta anterior del trimestre correspondiente, que se calculará para cada periodo tarifario de acuerdo con lo establecido en el artículo 13 de la Orden ITC/1659/2009.
SAp = Sobrecoste de los servicios de ajuste del sistema, asociados al suministro en el periodo tarifario p (BOE, 2004, P.O.10.1 y P.O.10.3). Los publica REE con solo siete meses de retraso. Se denominan procedimientos de operación P.O. 10.1 y P.O. 10.3 (www.ree.es/es/actividades/operación-del-sistema/procedimientos-de-operación). El precio aproximado para 2013 fue de 0,006 €/kWh (REE, 2013).
CAPp = Pago por capacidad de generación correspondiente al consumo en el periodo p (0,009812) (BOE, 2010, p 108.092).
PERDp = Coeficiente de pérdidas estándares establecido en la normativa para elevar a barras de central el consumo leído en contador del consumidor en el periodo tarifario p (14%) (BOE, 2013a).
Antes de seguir hay que señalar que si se aplica la fórmula tal cual está publicada, y dado que repite dos veces Ek*CEMDp,k, entonces arroja un valor superior a los 19 c€/kWh, por lo que se supone que en algún momento se habrá corregido dicho dislate y, en caso contrario, la fórmula se está aplicando de distinta forma en que se publicó, y figura en el BOE, como legislación consolidada o, por el contrario, se trata de un error asumido y no declarado.
En el cálculo del coste estimado de la energía se incluirán como términos las cuantías que correspondan al pago de los comercializadores para la financiación de la retribución del Operador del Mercado Ibérico de Energía (OMIE), Polo Español y al Operador del Sistema, según la normativa de aplicación vigente en cada momento. A estas cuantías les resultará asimismo de aplicación el coeficiente de pérdidas estándares (PERDp) según el apartado 1 del artículo 8 de la Orden ITC/1659/2009. No es comprensible que se le aplique un porcentaje de pérdidas a una energía que no ha circulado por el sistema, sino que es un sobrecoste impuesto para sufragar la gestión de OMIE.
En caso de que el periodo de aplicación de las tarifas de último recurso se fije por un periodo superior al trimestral, y siempre que dicho periodo sea un múltiplo de trimestres enteros, el coste estimado de la energía se calculará para cada trimestre y se obtendrá un coste medio ponderado.
La ponderación del coste estimado para cada trimestre, según la Orden ITC/1659/2009, se corresponderá con el peso relativo de la energía entregada en el mismo trimestre del año anterior sobre el total de la energía entregada en el conjunto de los trimestres del año anterior que se corresponda con el periodo de aplicación de las tarifas de último recurso.
A efectos de calcular dichas ponderaciones, se considerará la energía total consumida por todos los consumidores con derecho al suministro de último recurso, con independencia de si fueron o no suministrados por comercializadores de último recurso.
Se prevé, además, una prima por riesgo, cuyo valor (PRp,k) asociado a cada tipo de contrato se calculará para la última de las subastas que se realicen (subasta K) ponderando, mes a mes, la prima de riesgo correspondiente al número de meses de desfase como sigue:
Ecuación 4
Siendo:
M = Subíndice de mes de entrega (m = 1, 2,…, n).
PR = Prima de riesgo correspondiente al tipo de contrato tc.
PR(K, m) = Prima de riesgo correspondiente a los meses de desfase entre la subasta K y el mes de entrega m. En el caso de que la subasta no sea válida, su prima de riesgo se considerará igual a cero.
Para el cálculo del valor de la prima por riesgo, se considerarán las primas por riesgo correspondiente al número de meses de desfase a contar entre el mes de celebración de la subasta K y el mes de entrega m de la energía, indicadas a continuación y especificadas en puntos básicos:
Si aplicamos la ecuación 4 para un periodo típico de tres meses, el valor de PRtc es el siguiente:
De esta forma, se encarece artificialmente el precio en función de una “prima de riesgo” puramente especulativa e innecesaria.
Como ya se ha visto, aplicando la ecuación 3 del presente artículo, se llega a un coste del kWh en el que entran casi todos los factores y especialmente los más onerosos. Faltan los costes de transporte, distribución y comercialización, que son relativamente bajos frente a los anteriores. Sin embargo, a este precio se le suma el denominado término de energía de la tarifa de acceso, que supone 0,053255, con lo que el precio del kW se dispara hasta el infinito, pues los demás costes (incluso una prima de riesgo financiera) ya estaban incluidos, por lo que se paga por lo mismo dos veces.
Como se puede ver, se tiene en cuenta todo, desde las pérdidas del sistema, los pagos por capacidad, la tarifa de acceso, el coste de regulación, la retribución de la OMIE y a mayores una prima de riesgo. Todo ello en función de una serie de subastas trimestrales fijadas por la Secretaría de Estado de la Energía, que, curiosamente, fija una única subasta trimestral en un día concreto y conocido de antemano por los actores. Blanco y en botella suele ser leche y las casualidades en esta vida no existen. Se supone que si la Administración interviene es para defender a los españoles y conseguir abaratar los precios, si no ¿para qué sirve?
En otro orden de cosas, ¿qué necesidad tenemos de realizar una subasta CESUR, si ya hay un mercado, se toma el precio de mercado, se le suman los costes adicionales y ese es el precio del siguiente trimestre? Si hay alguna variación, ese pequeño porcentaje se corrige en el primer mes del siguiente trimestre y no hace falta complicarse tanto la vida y complicárnosla a todos los españoles de forma que nadie entienda nada. Solo esa acción bajaría el precio del kilovatio en España el 30,18%, pero los grandes grupos eléctricos y financieros que ahora se benefician de ese porcentaje dejarían de obtener esos réditos. Tenemos el precio del kilovatio que nos merecemos.
Resulta curioso que jamás se hayan auditado, y/o confrontado con los de otros países de Europa, los costes de transporte y distribución españoles. Aceptamos, sin discutir, las cifras que asevera una parte como ciertas, somos muy confiados. Se les abona lo que piden y, a mayores, subvenciones por limpieza de calles, por mejora de las líneas y casi hasta por todo, cuando es su obligación realizar dichas operaciones. Además, han pasado, en muchos casos, de realizar un mantenimiento predictivo a otro correctivo y con una legislación asimétrica, que cada vez es más favorable a una parte, y con una intervención administrativa cada vez más a la baja, además de un marco legal incompleto que no defiende por igual a las dos partes. ¿Dónde va nuestro dinero? ¿Por qué hay que abonar los servicios y a la vez subvencionarlos? Estamos ante un sistema que parece un “pozo sin fondo” en el que toda retribución parece escasa.
El precio voluntario para el pequeño consumidor
El 1 de febrero de 2014 el Minetur publicó en el BOE la Resolución de 31 de enero de 2014, de la Dirección General de Política Energética y Minas, por la que se revisa el coste de producción de energía eléctrica y los precios voluntarios para el pequeño consumidor, que desarrolla la Ley 24/2013, del Sector Eléctrico. Dicha ley acaba con las TUR y plantea otro eufemismo que denomina precio voluntario para el pequeño consumidor. Es curioso que si es voluntario tenga casi 16 millones de clientes. En dicha resolución se establecen nuevos precios, que son los expresados en la tabla 2.
Así, el pago por capacidad pasa a ser el reflejado en la tabla 3.
A mayores, estamos pagando por “capacidad” a una serie de centrales que no producen lo suficiente como para cubrir el coste de sus amortizaciones. Es algo difícil de entender. De momento, se parte de otro nombre eufemístico, que es el pago por capacidad, que consiste en pagar a las empresas eléctricas una cantidad para que amorticen una serie de centrales generadoras de energía eléctrica, normalmente de ciclo combinado, que al no producir las horas suficientes, no consiguen devolver los créditos que sus promotores solicitaron para acometer su construcción, con lo que su riesgo empresarial lo compartimos todos. El problema es de base, ¿estamos ante un sistema público nacional de generación eléctrica? Si la respuesta es afirmativa, entonces deberemos asumir dichos pagos por capacidad y gestionar el sistema (expropiarlo, dicho vulgarmente) (Ecorepublicano, 2013). Si la respuesta es negativa, entonces las empresas privadas que corrieron un riesgo empresarial deberán de asumir sus costes y no la sociedad española, con lo que se sigue cayendo en los mismos errores. Por lo menos parece que, de momento, las primas de riesgo las dejan en 0 y no incrementan los costes con una tasa financiera adicional, pero la puerta queda abierta para hacerlo.
Actualmente, se anuncia un nuevo sistema que abaratará el producto, dicen que un 3%. Pero también el año pasado hubo quien declaró, a los medios de comunicación, que durante el año 2013 bajó el precio del servicio eléctrico en España, cuando todos sabemos que subió y las cifras oficiales lo refrendan. Siempre hay quien está dispuesto a faltar a la verdad y, para mayor abundamiento, los medios se lo publican sin la más mínima crítica.
Resulta curioso que para ser representado por terceros en el mercado eléctrico se precisen poderes notariales y,sin embargo, las empresas eléctricas puedan hacer lo mismo,más oneroso,sin poderninguno desus clientes. La igualdad es palpable.
Ciertamente, estamos en crisis económica desde hace cinco años y el consumo de electricidad ha descendido aproximadamente un 4% anual. Sin embargo, el precio no deja de subir. Algo estamos haciendo mal. En cualquier sector económico, cuando la demanda baja, el precio tiende a bajar, excepto en el sector eléctrico, en el que las cosas son al revés. Resulta curioso que en el mercado internacional en diciembre de 2013 en el Nordpoool el precio fuera de 32,66 €/MWh (MIBEL, 2014, p 9); en el mercado alemán, de 35,75 €/MWh y en España, de 62,99 €/MWh. Ello implica inexorablemente que nuestro mercado mayorista hay que reformarlo urgentemente, y hacerlo bien.
El número de consumidores en baja tensión en el año 2012 fue de 27.669.903 y en el periodo entre septiembre de 2012 y agosto de 2013 fue de 27.547.676, lo que supone una ligera disminución. De estos consumidores en baja tensión, algunos tienen una potencia contratada superior a 10 kW y, por tanto, no pueden estar en la TUR (CNMC, 2014b, p 32).
De acuerdo con el artículo 13 del Real Decreto 216/2014, debe existir una oferta alternativa a un precio fijo anual, y dada la falta de “reflejos” del legislador, se dejó a las empresas fijarla libremente, y, ¡cómo no!, actuaron como siempre. Ofertaron un precio disuasorio que nadie acepta por ser enormemente caro. Tiene un solo punto favorable, que de acuerdo con el artículo 14.2.4 del mismo real decreto, no puede incluir ningún otro concepto, producto o servicio. Con todo, sí que puede incluir una penalización en caso de rescisión anticipada, un abuso no, lo siguiente.
Como se puede ver en la tabla 4, todavía queda un núcleo “duro” de consumidores reacios a cambiar su tarifa a mercado y muchos de los que han pasado, lo han hecho a base de técnicas comerciales muy discutibles y/o con artimañas y desinformaciones poco claras (Facua, 2014).
Para sufragar los costes de las empresas de transporte y distribución de energía eléctrica, se carga sobre el precio del kWh (en mercado llamado “libre” y/o en TUR) un recargo que se denomina “tarifa de acceso”, dado que jamás se ha justificado el mismo, parece adecuado tomar dicho coste de nuestros vecinos franceses, que lo conocen, y publican por separado el precio de cada gasto. Así el coste de transporte francés es el 8,2% y el coste de distribución el 23,4% del precio del kWh (Reseau de Transport de Electricité, 2012, p 9). Dada la ignorancia respecto a los costes españoles, se aplican los de nuestro vecino, que parecen, a priori, perfectamente extrapolables. El coste de los servicios de ajuste se ha obtenido de la publicación de REE como avance de 2013 y se estima como una media de 0,006 €/kWh (REE, 2013).
La Ley 24/2013 y el Real Decreto 1047/2013 establecen un máximo de retribución a la red de transporte del 0,065 € del PIB español. La pregunta es muy simple: si lo que hacen es transportar kilovatios, ¿por qué se indexa su retribución al producto interior bruto español? Ciertamente, hay que abonarles un peaje por cada kWh circulado por sus redes y, naturalmente, que no sea superior al que pagan nuestros vecinos; pero siempre en función de la energía transportada y a un precio equivalente al de cualquier otra empresa similar de nuestro entorno.
La CNE, ahora CNMC, cobra una tasa sobre la tarifa de acceso de 0,185% (BOE, 2010). La cifra parece pequeña, pero como el “pastel” es tan grande, arroja una cantidad de 4.926.087,5 € aproximadamente, solo con la electricidad vendida en la TUR, lo que proporciona recursos para realizar su trabajo y para algunas “alegrías” más, contando además con los ingresos del mercado “libre”.
En la tabla 5 se resumen los costes del kWh eléctrico, en función de los detalles que se han ido pormenorizando en el texto. Se incluye la tarifa de acceso, pero solamente para comparar costes.
En cuanto al nuevo y denominado “precio voluntario para el pequeño consumidor”, ya el nombre en sí mismo es desafortunado. Se regula en el Real Decreto 216/2014 y constará de dos términos, como siempre, el término de potencia, que se calculará de acuerdo con:
Ecuación 5
TPU = TPA + MCF
Donde:
TPU = Término de potencia del denominado precio voluntario para el pequeño consumidor en €/kW y año.
TPA = Término de potencia del peaje de acceso y cargos de aplicación al suministro en €/kW y año.
MCF = Margen de comercialización en €/kW y año.
Respecto al término de energía o del consumo, introduce un sistema de cálculo que diferencia el coste del kWh en función de las horas del día. Dicho sistema requiere unos contadores de energía eléctrica que, de acuerdo con la Orden IET/290/2012, no estarán instalados en la totalidad del territorio español hasta finales de 2018, si es que se cumplen los plazos, e incluso es posible que sea “precisa” una subvención. Dicho término, de acuerdo con la ecuación 6, tendrá un coste de:
Ecuación 6
TCUh = (1 + PERDh)*CPh
Donde,
TCUh = Término del coste horario de energía en €/kWh.
PERDh = Coeficiente de pérdidas del peaje de acceso en la hora h.
CPh = Coste de producción de la energía en cada hora en €/kWh.
Este sistema de facturación de acuerdo con el precio en diferentes periodos horarios es común en la facturación a los grandes suministros industriales e inédito en Europa para su aplicación a los pequeños consumidores. El coste de producción lo expresa posteriormente la ecuación 7 de la siguiente forma:
Ecuación 7
CPh = (Pmh + (PMASh + CDSVh)
+ (CCOMh + CCOSh + CAPh + INTh) Donde (los conceptos marcados con
* se publicarán en Internet con un día de
adelanto para las 24 horas del día siguiente),
Pmh = Precio medio horario.*
PMASh = Precio horario de todos los servicios de ajuste del sistema.*
CDSVh=Costedelosdesvíoshorarios.*
CCOMh = Pago de los comercializadores para la retribución del Operador del Mercado Ibérico de Energía (no varía con los periodos horarios).
CCOSh = Pago de los comercializadores para la retribución del operador del sistema (no varía con los períodos horarios).
CAPh = Pago por capacidad a la generación.
INTh = Pago para financiar el servicio de interrumpibilidad.*
Como se puede apreciar, nada hemos adelantado respecto al sistema anterior. Seguimos pagando a unos operadores del sistema y del mercado cuyos costes no son transparentes y/o equiparables a los de los Estados de nuestro entorno y seguimos costeando la amortización de las inversiones de las empresas eléctricas con los pagos por capacidad. Se añade, además, otro coste, que es el de la interrumpibilidad. Se trata de que hay una serie de clientes que contratan una tarifa más económica, pero a cambio aceptan que la empresa eléctrica les pueda suspender temporalmente el suministro durante algunos periodos de tiempo en función de las necesidades del sistema. Ello favorece la regulación y la estabilidad del sistema, pero de ahí a que su coste se traslade íntegramente a los pequeños consumidores, hay mucha distancia y no se debe hacer, ya que solamente favorece a las eléctricas, no a los consumidores no interrumpibles.
El artículo 44 de la Ley 24/2013, del Sector Eléctrico y el artículo 110 bis del Real Decreto 1955/2000, prevén el derecho a un contrato no abusivo y una serie de medidas de protección al consumidor, pero se trata de buenas intenciones etéreas que quedan al albur de un desarrollo reglamentario que nunca se produce, por lo que no tienen una incidencia real sobre la defensa del inerme usuario energético español, que se ve obligado a abonar una factura que no entiende y en la que no se le facilita una información comprensible. Es más, los contratos no cumplen los criterios mínimos de transparencia, claridad, concreción y sencillez, para que el cliente, sin especiales conocimientos eléctricos, pueda siquiera atisbar lo que está contratando y/o pagando. El criterio de legibilidad es imposible de cumplir con un tamaño de letra que solo es apta para personas muy jóvenes y dotadas de una visión privilegiada. El derecho a la información en el momento de la contratación tampoco se ajusta a lo prescrito en el artículo 80 de Real Decreto 1955/2000; al cliente se le presenta un contrato en el mercado liberalizado con los mantenimientos y seguros “obligatorios” que le interesan al comercial de turno, sin informarle de la existencia de otras tarifas (El Confidencial, 2014).
No contentos con toda esta complicación, todavía dejan abierta la puerta a un recargo por energía reactiva en el artículo 7.5, que por lo menos queda aplazado hasta el año 2019 y que supondrá otro coste adicional a la factura de los indefensos consumidores españoles. Como esto siga así acabaremos colocando generadores en las terrazas.
En estos momentos se está discutiendo si de las cantidades cobradas en concepto de término de energía durante el primer trimestre del año 2014, se iban a devolver a los consumidores inicialmente entre 30 y 50 € por suministro y actualmente unos 15 €, porque el precio del kWh en el mercado mayorista bajó el 50%, aproximadamente. Sin embargo, y dado que una familia media viene a pagar mensualmente entre 70 y 100 €, el ahorro tendría que suponer un abono muy superior. Solamente es necesario ver el porcentaje del precio del mercado mayorista que es preciso ajustar.
Con respecto a las empresas comercializadoras, nos han informado, repetitivamente, del escasísimo margen comercial de que disponen y del poco beneficio que les queda. En la figura 1, que es autoexplicativa, apareen los precios de mercado libre de los años 2012 a 2014, el precio medio de dichos años, el precio medio de venta de las operadoras comerciales y su margen bruto, con lo que queda desmontado el mito del mínimo margen que dicen tener. Muchos industriales españoles desearían trabajar con esos márgenes.
Conclusiones
Si aproximadamente el 20,8% de la energía la consumen los suministros acogidos al precio voluntario para el pequeño consumidor, entonces estamos hablando de un monto de unos 202.330 GWh anuales, lo quetraducido eneurossupone5.222.998.416 €anuales (0,869 billones de las antiguas pesetas), en concepto de término de energía al mal denominado “precio voluntario para el pequeño consumidor”.
Si en el precio de esos kWh hay 4,122168 c€/kWh discutibles, entonces estamos hablando de un agujero anual de 1.734.799.479 € (0,2886 billones de pesetas) cobrados a mayores a los españoles, solo en el PVPC; a ello hay que añadir el agujero del mercado denominado libre, que también es importante.
En las figuras 2 y 3 se representa la porción del coste sin justificar del kWh eléctrico en España; no obstante, solo representa una del sistema; existe además la denominada “tarifa de acceso”, que jamás ha sido justificada, ni auditada. Sin embargo, si además se reforma el mercado eléctrico, los ahorros podrían ser equivalentes a los de la reforma de dicha tarifa y sin déficit de tarifa. No se ha incluido el “pago por capacidad” como coste, pues es más que discutible, como ya se comentó, y desde luego está claro que se puede bajar el precio del kWh en España, y si se hace bien, un 40% es perfectamente posible y sin hacernos cargo del supuesto “déficit de tarifa”, que simplemente no existe.
En este momento, y a pesar de que el sector eléctrico es cada vez más complejo e indescifrable, se está cambiando, otra vez, todo el sistema. Por el momento la tarifa de último recurso (TUR) ha pasado a denominarse “precio voluntario”. ¿Pero cómo se va a adherir alguien a una tarifa tan cara? Muy fácil, porque es la menos cara o como decía alguien, con bastante sorna, “me presento voluntario si es obligatorio”, pero eso sí, el eufemismo que no falte y la subida, del 32,84% en el término de potencia, tampoco. Recordemos que el término de potencia es un peaje injusto que grava el estar conectado a la red y el poder disponer de una potencia, se consuma energía o no, es simplemente injusto.
De los conceptos por los que se paga la energía en un domicilio, aproximadamente el 25% corresponde al término de potencia, lo que no estimula en absoluto el ahorro energético, sino que lo penaliza, por lo que el criterio utilizado no es acorde con el marco de ahorro y eficiencia energética en el que se mueve el mundo actual. Es más, muchos usuarios han sustituido lámparas normales por otras de bajo consumo y/o de tecnología led y, sin embargo, casi no han notado la reducción en su factura final. Lo que han ahorrado en el consumo, lo abonan ahora en el término de potencia.
Actualmente se comenta que, al final del trimestre, nos devolverán en el recibo de la electricidad una pequeña cantidad, cuando el precio del kWh en el mercado mayorista ha sido el 50% del esperado, por lo que aproximadamente deberían devolver algo más del 25% del recibo cobrado; con todo, solo devolverán una “migaja”.
Así, la Resolución de 14 de mayo de 2014, de la Dirección General de Política Energética y Minas ha determinado un valor del término denominado DIFp de 23,75 €/MWh para la tarifa doméstica sin discriminación horaria (la más común). Un hogar normal (sin calefacción ni agua caliente eléctricas) viene a consumir entre 200 y 300 kWh mensuales en invierno, por lo que traducido a dinero, recibirá entre 14,25 y 21,37 €por el desfase del primer trimestre. Si el recibo normal en dicho trimestre ronda los 300 €, el descuento es de entre el 4,7% y el 7,1%, luego no se repercuten las bajadas reales de precios a los consumidores. Las subidas, cuando las haya, seguro que sí se repercuten. Habrá que ver si devuelven también la parte proporcional del IVA y del impuesto sobre la electricidad ya pagados.
Solamente deshaciéndose de los costes sin justificar, el precio del kWh Español podría bajar el 33,21%. Si además se reforma el mercado mayorista, la bajada sería espectacular. Hay que querer hacerlo. ¿Seremos capaces?
Bibliografía
BOE (2000). Real Decreto 1955/2000, de 1 de diciembre, por el que se regulan las actividades de transporte, distribución, comercialización, suministro y procedimientos de autorización de instalaciones de energía eléctrica.
BOE (2001). Real Decreto 1164/2001, de 26 de octubre, por el que se establecen tarifas de acceso a las redes de transporte y distribución de energía eléctrica.
BOE (2004). Resolución de 12 de febrero de 2004, de la Secretaría de Estado de Energía, Desarrollo Industrial y Pequeña y Mediana Empresa, por la que se aprueba un conjunto de procedimientos de carácter técnico e instrumental necesarios para realizar la adecuada gestión técnica del Sistema Eléctrico.
BOE (2007a). Real Decreto 1110/2007, de 24 de agosto, por el que se aprueba el Reglamento unificado de puntos de medida del sistema eléctrico
BOE (2007b). Orden ITC/3860/2007, de 28 de diciembre, por la que se revisan las tarifas eléctricas a partir del 1 de enero de 2008.
BOE (2009a). Orden ITC/1659/2009, de 22 de junio, por la que se establece el mecanismo de traspaso de clientes del mercado a tarifa al suministro de último recurso de energía eléctrica y el procedimiento de cálculo y estructura de las tarifas de último recurso de energía eléctrica.
BOE (2009b). Real Decreto 485/2009, de 3 de abril, por el que se regula la puesta en marcha del suministro de último recurso en el sector de la energía eléctrica.
BOE (2010). Orden ITC/3353/2010, de 28 de diciembre, por la que se establecen los peajes de acceso a partir de 1 de enero de 2011 y las tarifas y primas de las instalaciones del régimen especial.
BOE (2012). Orden IET/290/2012, de 16 de febrero, por la que se modifica la Orden ITC/3860/2007, de 28 de diciembre, por la que se revisan las tarifas eléctricas a partir del 1 de enero de 2008 en lo relativo al plan de sustitución de contadores.
BOE (2013a). Orden IET/221/2013, de 14 de febrero, por la que se establecen los peajes de acceso a partir de 1 de enero de 2013 y las tarifas y primas de las instalaciones del régimen especial.
BOE (2013b). Orden IET/1491/2013, de 1 de agosto, por la que se revisan los peajes de acceso de energía eléctrica para su aplicación a partir de agosto de 2013 y por la que se revisan determinadas tarifas y primas de las instalaciones del régimen especial para el segundo trimestre de 2013.
BOE (2013c). Ley 24/2013, de 26 de diciembre, del Sector Eléctrico; modificada por la Ley 3/2014, de 27 de marzo, por la que se modifica el texto refundido de la Ley General para la Defensa de los Consumidores y Usuarios y otras leyes complementarias (disposición final undécima).
BOE (2013d). Real Decreto 1047/2013, de 27 de diciembre, por el que se establece la metodología para el cálculo de la retribución de la actividad de transporte de energía eléctrica.
BOE (2013e). Real Decreto 1048/2013, de 27 de diciembre, por el que se establece la metodología para el cálculo de la retribución de la actividad de distribución de energía eléctrica.
BOE (2014a). Resolución de 21 de enero de 2014, de la Presidencia del Congreso de los Diputados, por la que se ordena la publicación del Acuerdo de convalidación del real Decreto-ley 17/2013, de 27 de diciembre, por el que se determina el precio de la energía eléctrica en los contratos sujetos al precio voluntario para el pequeño consumidor en el primer trimestre de 2014.
BOE (2014b). Orden IET/75/2014, de 27 de enero, por la que se regulan las transferencias de fondos, con cargo a las empresas productoras de energía eléctrica, de la cuenta específica de la Comisión Nacional de los Mercados y la Competencia al Instituto para la diversificación y Ahorro de la Energía, en el año 2013, para la ejecución de las medidas del Plan de Acción de Ahorro y Eficiencia Energética 2011-2020, y los criterios para la ejecución de las medidas incluidas en dicho plan.
BOE (2014c). Orden IET/107/2014, de 31 de enero, por la que se revisan los peajes de acceso de energía eléctrica para 2014.
BOE (2014d). Resolución de 31 de enero de 2014, de la Dirección General de Política Energética y Minas por la que se revisa el coste de producción de energía eléctrica y los precios voluntarios para el pequeño consumidor.
BOE (2014e). Resolución de 5 de febrero de 2014, de la Dirección General de Política Energética y Minas, por la que se fija el precio medio de la energía que aplicar en el cálculo de la retribución del servicio de gestión de la demanda de interrumpibilidad ofrecido por los consumidores que adquieren su energía en el mercado de producción durante el primer trimestre de 2014.
BOE (2014f). Real Decreto 216/2014, de 28 de marzo, por el que se establece la metodología de cálculo de los precios voluntarios para el pequeño consumidor de energía eléctrica y su régimen jurídico de contratación.
BOE (2014g). Resolución de 14 de mayo de 2014, de la Dirección General de Política Energética y Minas por la que se determina el valor del término DIFp que aplicar por los comercializadores de referencia en la facturación del consumo correspondiente al primer trimestre de 2014 a los consumidores a los que hubieran suministrado a los precios voluntarios para el pequeño consumidor.
BOE (2014h). Resolución de 23 de mayo de 2014, de la Dirección General de Política Energética y Minas, por la que se establece el contenido mínimo y el modelo de factura de electricidad.
CNE (2012a). Informe sobre el sector energético español parte I. Medidas para garantizar la sostenibilidad económico-financiera del sistema eléctrico. Madrid, 7 de marzo de 2012.
CNE (2012b). Informe sobre el sector energético español, parte III. Medidas sobre los mercados mayoristas de electricidad. Madrid, 7 de marzo de 2012.
CNE (2012c). Informe sobre el sector energético español. Parte V. Medidas sobre los mercados minoristas de gas y electricidad. Madrid, 7 de marzo de 2012.
CNE (2013a). Informe de supervisión del mercado minorista de electricidad, julio 2011-junio 2012; Madrid, 12 de abril de 2013.
CNE (2013b). Resumen y conclusiones del informe de supervisión de la CNE sobre la verificación del efectivo consentimiento del consumidor en el cambio de suministrador en 2010. Madrid, 18 de julio de 2013.
CNE (2013c). Boletín mensual de indicadores eléctri
cos y económicos. Madrid, septiembre de 2013.
CNMC (2014a). Informe sobre el desarrollo de la 25ª subasta CESUR previsto en el artículo 14.3 de la orden ITC/1659/2009, de 22 de junio. Comisión Nacional de los Mercados y la Competencia, Madrid, 7 de enero de 2014.
CNMC (2014b). Boletín mensual de indicadores eléctridad. Cuarto trimestre 2013. Madrid, 2013.
Cuatrecasas Goncalves, P. (2013). Nota monográfica, energía. Madrid, diciembre; www.cuatrecasas.com.
Ecorepublicano (2013). Hamburgo vota por la renacionalización de su red eléctrica, 26 de septiembre de 2013, http://www.ecorepublicano.es/2013/09/hamburgo-vota-por-la-renacionalizacion.html.
El Confidencial (2014). Pepephone; PepeEnergy: “El cliente cree que le estafan con la factura de la luz, y tiene razón. 20 de mayo de 2014.
Facua (2014). Facua Cádiz alerta sobre las visitas a los domicilios de comerciales de empresas de electricidad. 27 de enero de 2014. Disponible en: https://www.facua.org/es/noticia.php?Id=8214
Herrero Sinovas, M. y Barroso, I. (2013) Manual de tarificación eléctrica, 3ª edición, Valladolid.
MIBEL (2014). Información mensual del MIBEL diciembre 2013.Consejode Reguladores; Madrid enero2014.
OMEL (2007). Instrucción 1/2007. Procedimiento para permitir la entrega física de energía asociada a contratos de futuros negociados en el mercado a plazo gestionado por
OMEL (2013). XXV Subasta CESUR para la fijación de la tarifa de último recurso (Subasta TUR). Madrid, 14/11/2013.
OMIP-OMICLEAR (2007). De conformidad con la disposición transitoria única de la orden/ITC/3990/2006, de 28 de diciembre, por la que se regula la contratación a plazo de energía eléctrica por los distribuidores en el primer semestre de 2007. Madrid, 28 de febrero de 2007.
REE (2013). Servicios de ajuste de la operación del sistema, Avance 2013, Red Eléctrica de España.
Reseau de Transport de Electricité (2012). Sustainable development, Report 2012.
Vizoso, Sonia (2013). ‘Técnicos de la Xunta detectan cobros inflados e indebidos de Fenosa’. El País, 12 de octubre de 2013.
Internet
OMIE: http://www.omie.es
Comisión Nacional de los Mercados y la Competencia: http://www.cnmc.es
Comisión Nacional de Energía: http://www.cne.es
Boletín Oficial del Estado: http://www.boe.es
Red Eléctrica de España: http://www.ree.es
















