Análisis de la resistencia al fuego requerida en los edificios: impacto de las instalaciones fotovoltaicas y de los nuevos vehículos
Analysis of the fire resistance required in buildings: impact of photovoltaic installations and modern vehicles
Manuel Fernández Casares (1), José Antonio Galdón Ruiz (2) y Carlos de Lama Burgos (3)
Resumen
Este artículo aborda la seguridad, en caso de incendio, de las estructuras de los edificios, considerando la influencia de las instalaciones fotovoltaicas en las cubiertas, así como la repercusión de los nuevos vehículos en sus aparcamientos. Se investiga si hay un aumento significativo del riesgo y, de ser así, se busca identificar la fuente principal del problema: ¿se encuentra en los paneles fotovoltaicos, en los sistemas de puesta a tierra, en las baterías de los vehículos eléctricos, en los puntos de recarga o se debe a otros factores? Utilizando un enfoque probabilista y prospectivo, se evalúa cómo estas tecnologías pueden afectar a la capacidad portante de las estructuras en caso de incendio, proponiendo un método para establecer la resistencia al fuego que debería requerirse. Se concluye mostrando cuándo son suficientes los valores de resistencia al fuego que establece la normativa y se sugieren las correcciones necesarias en el procedimiento del tiempo equivalente de exposición al fuego, cuando la seguridad estructural no tiene un nivel aceptable de fiabilidad.
Palabras clave Fotovoltaica, estacionamiento, nuevos vehículos, seguridad estructural, resistencia al fuego, fiabilidad estructural, ingeniería de seguridad ante incendios.
Abstract
This article addresses the safety, in case of fire, of building structures, considering the influence of photovoltaic installations on roofs, as well as the impact of new vehicles in parking areas. It investigates whether there is a significant increase in risk and, if so, seeks to identify the main source of the problem: is it in the photovoltaic panels, in the grounding systems, in electric vehicle batteries, in charging points, or due to other factors? Using a probabilistic and prospective approach, it assesses how these technologies may affect the load-bearing capacity of structures in the event of fire, proposing a method to establish the required fire resistance. It concludes by indicating when the fire resistance values established by regulations are sufficient, suggesting necessary corrections to the equivalent fire exposure time procedure when structural safety does not an acceptable level of reliability.
Keywords Photovoltaic, parking, new vehicles, structural safety, fire resistance, structural reliability, fire safety engineering.
Recibido/received: 22/04/2024 Aceptado/accepted: 05/06/2024
1. Ingeniero mecánico, consultor y asesor técnico del Colegio Oficial de Graduados e Ingenieros Técnicos Industriales de Madrid (COGITIM) y profesor del Máster de Ingeniería de Protección Contra Incendios de la Universidad de Educación a Distancia (UNED).
2. Doctor ingeniero, presidente del Consejo General de Colegios Oficiales de Graduados e Ingenieros Técnicos Industriales de España (COGITI) y decano del Colegio Oficial de Graduados e Ingenieros Técnicos Industriales de Madrid (COGITIM).
3. Doctor ingeniero, consultor y asesor técnico del Colegio Oficial de Graduados e Ingenieros Técnicos Industriales de Madrid (COGITIM) y profesor del Máster de Ingeniería de Protección Contra Incendios, de la Universidad de Educación a Distancia (UNED).
Autor para correspondencia: Manuel Fernández Casares; e-mail: manuel.fernandez@coitim.es
1. Introducción
Los edificios continúan integrando nuevas tecnologías, que ofrecen mejoras en eficiencia, la posibilidad de contribuir a la generación de electricidad, de almacenarla, etc. La pregunta crucial que se platea es si estos avances están comprometiendo la seguridad de algunos de sus sistemas constructivos, en especial del sistema estructural en caso de incendio, pues las consecuencias podrían ser graves para la vida y el patrimonio.
El estudio analiza la seguridad de la estructura en la edificación, al exponerla al fuego, evaluando los riesgos adicionales que introduce la actividad de generación de energía eléctrica sobre las cubiertas, por medio de los paneles fotovoltaicos, así como el incremento de los riesgos asociados a la energía almacenada en sus aparcamientos, debido a los nuevos vehículos.
Se emplea un enfoque probabilista explícito (CEN, 2019) (Ministerio de Fomento, 2019) para garantizar la capacidad portante, incluso frente a la situación extraordinaria que supone un incendio. De esta forma, se relaciona la fiabilidad exigida en la estructura en caso de incendio con el inicio y el crecimiento del fuego. Cuanto menos probable sea la ocurrencia de un incendio grave, se podrán tolerar mayores probabilidades de pérdida de capacidad portante en caso de incendio, lo que implica menores requisitos de resistencia al fuego de la estructura portante.
Para verificar que la fiabilidad ofrecida por la normativa es suficiente, ya se realizó un análisis retrospectivo. Como resultado se obtuvo la secuencia de sucesos que conducen a un incendio completamente desarrollado. En la verificación se utilizaron datos estadísticos y a cada evento se le asignó una probabilidad (Schleich, et al., 2002). Sin embargo, es importante destacar que en estos análisis no se tuvieron en cuenta ni las instalaciones fotovoltaicas ni los vehículos con las características que presentan hoy (figura 1).
Actualmente, se ha observado una frecuencia de incendios en instalaciones fotovoltaicas de, aproximadamente
(Ong, et al., 2022). Además, no se han detectado cambios significativos en la probabilidad de que un incendio inicial evolucione hacia un incendio completamente desarrollado dentro del edificio, por influencia de la fotovoltaica. No obstante, sí hay estudios que muestran cómo las placas fotovoltaicas pueden agravar el efecto del fuego sobre los elementos constructivos de la cubierta (Backstrom & Sloan, 2012), (Sipe, 2016), (Kristensen, 2022), (Kristensen, et al., 2022), (Fernández & Pecharromán, 2024).
En relación con la influencia de los nuevos vehículos en el inicio de los incendios, aunque las estadísticas no reflejan una variación sustancial atribuible ni a su presencia ni a la incorporación de los puntos de recarga, se informa que ahora hay una mayor facilidad para la propagación del fuego entre vehículos, y que los bomberos están enfrentando mayores dificultades durante sus intervenciones, debido a los cambios en la dinámica del incendio que producen los nuevos sistemas de almacenamiento de energía para la propulsión, así como por las nuevas formas de estacionamiento (Li & Spearpoint, 2007), (Hynynen, et al., 2023), (Boehmer, et al., 2020).
Siguiendo con el proceso accidental del incendio en presencia de las instalaciones fotovoltaicas y de los nuevos vehículos, las consecuencias para la estructura del edificio pueden llegar a ser muy graves si la secuencia de fallos continúa. En ese caso, la acción principal del incendio puede seguir siendo evaluada mediante la densidad de carga de fuego del sector (Schleich, et al., 2002), lo que permite relacionar la probabilidad de fallo estructural en caso de incendio, con la probabilidad de sobrepasar la densidad de carga de fuego prevista.
Para ello, en primer lugar, es necesario estimar el valor característico de la densidad de carga de fuego tras la incorporación de las nuevas tecnologías, volviendo a hacer hincapié en que la normativa actual solo atribuye valores para las actividades del interior de la edificación, sin considerar ni la influencia de la fotovoltaica ni la repercusión de los nuevos vehículos.
En ese contexto, las instalaciones fotovoltaicas aportan una densidad de carga adicional poco significativa, de alrededor de 12 MJ/m2 .
Por otro lado, principalmente por la influencia de los nuevos vehículos, hay requisitos en la normativa que adquieren gran relevancia, en primer lugar, porque se establece que las verificaciones deben tener en cuenta los efectos del paso del tiempo que puedan incidir en la capacidad portante, en concordancia con el periodo de servicio de 50 años (Ministerio de Fomento, 2019). Además, porque la normativa indica que cuando las cargas de fuego son susceptibles de cambiar durante la vida útil de la estructura, se deben considerar los valores que se espera que no sean superados durante el 80% del tiempo (Anon., 2019). Por último, porque ya se indica que, si la incertidumbre asociada a una variable básica es importante, debido a la falta de conocimiento sobre la evolución futura de ciertos parámetros, esta deberá ser tratada como una variable aleatoria (Ministerio de Fomento, 2019).
Concretamente, cuando el escenario de fuego es un aparcamiento, dada la intensidad de los cambios esperables en el sector de la automoción, la densidad de carga de fuego debería ser representada por una variable aleatoria, asignándole como valor característico el fractil 80% y ajustando un valor de cálculo con un coeficiente de seguridad adecuado (CEN, 2019). Esto implica realizar un análisis prospectivo centrado en la evolución de las formas y la cantidad de energía almacenada, proyectado hacia el final de la vida útil de los edificios.
Conforme a la información disponible, puede destacarse la necesidad creciente de mejora de la eficiencia de los vehículos y que la principal estrategia adoptada conlleva disminuir el peso, por medio del incremento de la cantidad de materiales plásticos. El resultado es un aumento creciente del porcentaje y del peso absoluto de estos materiales (American Chemistry Council, 2019).
De la combinación de varias fuentes (Boehmer, et al., 2020), se puede constatar que, desde la fecha de elaboración de la normativa vigente, ya se ha producido un aumento del porcentaje del peso del vehículo en plástico del 7% al 15%, un aumento del 100% en el peso total en plástico, y que hay una tendencia a fabricar vehículos cada vez mayores.
En cuanto al potencial calorífico neto promedio de los materiales utilizados, no hay información que permita estimar una tendencia definitiva hacia una cantidad concreta.
Para determinar el efecto térmico del incendio en los elementos estructurales, frente a los complejos modelos de fuego natural, se planteará la utilización del procedimiento del tiempo equivalente de exposición al fuego (CEN, 2019). Este enfoque facilita su aplicación práctica y permite obtener resultados que se presuponen conformes con las exigencias básicas reglamentarias (Ministerio de Fomento, 2019) (figura 2).
No obstante, será necesario verificar que el margen de seguridad disponible en el procedimiento es aún suficiente para controlar los riesgos adicionales, especialmente por los cambios previsibles en el comportamiento de la combustión.
Respecto a la posible influencia de las instalaciones fotovoltaicas, no hay información disponible que haga esperar un cambio en el comportamiento de la combustión.
En el caso de los vehículos, aún no es posible sacar conclusiones definitivas sobre un posible cambio en la velocidad de liberación de calor, según se desprende de los ensayos realizados al quemar los automóviles actuales (Tohir & Spearpoint, 2013). Por otro lado, en caso de incendio de los nuevos aparcamientos cerrados, los datos disponibles (Boehmer, et al., 2020) tampoco permiten sacar conclusiones definitivas sobre un posible cambio en la rapidez de desarrollo del fuego, ni en el caso de los fuegos de tipo localizados, ni con los fuegos totalmente desarrollados.
Una vez analizados todos los cambios y su posible repercusión, ya se podrá establecer la resistencia al fuego que debería requerirse, al menos, acogiéndose a las soluciones alternativas del artículo 5 del Código Técnico de la Edificación.
2. Método
Se describe un método para garantizar la seguridad estructural en caso de incendio con el que estudiar la influencia en la edificación de las instalaciones fotovoltaicas en las cubiertas, así como la repercusión de los nuevos vehículos en los aparcamientos.
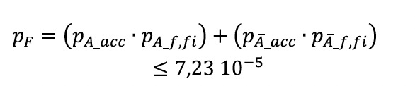
Sea el suceso «F», definido como aquel que ocurre cuando falla la capacidad portante del sistema estructural, dado un incendio totalmente desarrollado en el sector de interés.
F puede expresarse como la unión de dos sucesos: el suceso A, que ocurre cuando falla la capacidad portante sin influencia de las nuevas tecnologías, y el suceso , que ocurre cuando falla la capacidad portante con influencia de las nuevas tecnologías.
Es muy improbable que un incendio se inicie de forma simultánea en una zona donde se lleva a cabo la actividad sin influencia alguna y en otra zona con influencia de las nuevas tecnologías, lo que facilita expresar en términos probabilísticos la exigencia de seguridad estructural en caso de incendio para una clase de fiabilidad RC2, un periodo de referencia de 50 años y para su estado límite último (CEN, 2019).
Siendo:
Probabilidad de incendio totalmente desarrollado, sin influencia de las nuevas tecnologías.
Probabilidad de fallo estructural, dado un incendio totalmente desarrollado, sin influencia de las nuevas tecnologías.
Probabilidad de incendio totalmente desarrollado, con influencia de las nuevas tecnologías.
Probabilidad de fallo estructural, dado un incendio totalmente desarrollado, con influencia de las nuevas tecnologías. Se puede transformar la expresión básica en otra forma que nos facilitará su aplicación:

Haciendo la suposición de que las nuevas tecnologías, de influir, lo hacen para empeorar el efecto de las acciones térmicas del fuego:

Y, en consecuencia, se puede obtener un valor conservador para el índice de fiabilidad exigido en caso de incendio y con presencia de una nueva tecnología, con la expresión.

Siendo el inverso de la distribución normal estándar acumulativa. Para relacionar la seguridad estructural con el proceso de desarrollo de los incendios y aplicar la expresión anterior con los datos actualmente disponibles, se harán las siguientes consideraciones: 1. Cada escenario de fuego se puede caracterizar con la probabilidad de tener, al menos, un incendio declarado en dicho periodo, utilizando el modelo de distribución exponencial, en función de las tasas de incendios. 2. El crecimiento de un incendio hasta su total desarrollo puede interpretarse como una sucesión de fallos: el fallo en la intervención de los ocupantes, el de los sistemas activos de protección contra incendios y el fallo de los bomberos. 3. El resultado estará del lado de la seguridad si se considera que la nuevas tecnologías, de influir, favorecerán el crecimiento del incendio:

Siendo:
Probabilidad de inicio del incendio.
Probabilidad de crecimiento de un incendio iniciado, hasta convertirse en un incendio totalmente desarrollado.
Tasa anual de incendios declarados, por unidad de superficie, sin influencia de las nuevas tecnologías.
Tasa anual de incendios declarados, por unidad de superficie, con influencia de las nuevas tecnologías.
Superficie del sector de incendio, con actividades sin influencia de las nuevas tecnologías.
Superficie del sector de incendio, con actividades bajo la influencia de las nuevas tecnologías.
Duración del periodo de referencia
Probabilidad de extinción de un incendio declarado, debido a la intervención de los ocupantes, con influencia de las nuevas tecnologías
Probabilidad de extinción de un incendio declarado, debido a la intervención de las instalaciones de protección contra incendios, con influencia de las nuevas tecnologías.
Probabilidad de extinción de un incendio declarado, debido a la intervención de los bomberos, con influencia de las nuevas tecnologías.
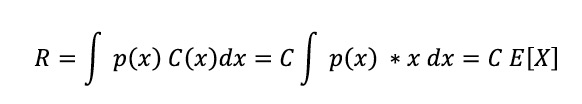
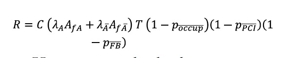
Por otra parte, los escenarios de incendio podrán ser caracterizados con el nuevo riesgo soportado en término de costes, para así poder comparar el riesgo con y sin influencia de las nuevas tecnologías. Siendo el número de incendios totalmente desarrollados una variable aleatoria X, al considerar que las posibles consecuencias para la seguridad estructural son independientes del lugar donde se inició el incendio, el riesgo se estimará en función del valor esperado del número de incendios totalmente desarrollados.

Se puede estimar el riesgo durante el periodo de referencia aplicando la propiedad reproductiva de la distribución de probabilidad de Poisson, al considerar que los incendios declarados con y sin influencia de las nuevas tecnologías, se consideran sucesos independientes:

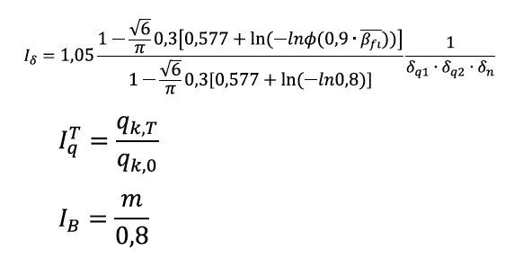
Una vez sentadas las bases que garantizarán el grado de fiabilidad exigido para las estructuras frente al fuego, la resistencia al fuego requerida se establecerá en término de tiempo, al aplicar el procedimiento del tiempo equivalente de exposición al fuego. La influencia de las nuevas tecnologías en la resistencia al fuego puede evaluarse con tres índices:

Siendo:
Índice que permite valorar el cambio de la fiabilidad exigida por la presencia de los nuevos riesgos, respecto a la fiabilidad exigida por medio de los valores tabulados actualmente para los coeficientes
(CEN, 2019) (Ministerio de Fomento, 2019).
Índice que permitirá valorar los previsibles cambios en la carga de fuego característica, desde el año base, en el que se obtuvieron los datos estadísticos
hasta el final del periodo de referencia
.
Índice que valora la influencia del cambio en el comportamiento de la combustión debido a la actividad, por la presencia de los nuevos combustibles con coeficiente de combustibilidad m, para expresar el resultado con relación a los combustibles de tipo predominantemente celulósicos.
Finalmente, los resultados obtenidos en el producto de los tres índices
ayudarán a elegir un factor de corrección
que al aplicarlo al tiempo equivalente de exposición al fuego
(CEN, 2019) (Ministerio de Fomento, 2019), permita establecer el tiempo equivalente de exposición al fuego que debe requerirse debido al impacto de las nuevas tecnologías.
.
3. Resultados
Influencia de la instalación fotovoltaica
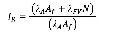
La incorporación de las instalaciones fotovoltaicas en la cubierta de un edificio, cuando los techos no consiguen sectorizar (por ser el escenario más desfavorable), tendrá una influencia para la seguridad estructural en caso de incendio que será analizada con la variación del riesgo y del tiempo equivalente de exposición al fuego que debería ser requerido. Con el objetivo de comparar un escenario de fuego con y sin influencia de las nuevas tecnologías, en primer lugar, se aplicará el método para obtener los valores calibrados de referencia para las tasas anuales de incendios declarados ?? asociando, así, los valores característicos a las actividades que la normativa vigente define para el interior de las edificaciones, sin la presencia de instalaciones fotovoltaicas y sin la repercusión de los nuevos vehículos. El cálculo se llevará a cabo obligando a que el índice I? sea igual a la unidad, tomando como referencia un escenario de fuego con una superficie de sector igual a 25 m2 , sin instalaciones de protección contra incendios y para los diferentes niveles de peligros de interés, utilizando la misma información estadística que la recomenda da para su aplicación en los estudios de fuegos naturales (Schleich, et al., 2002) (tablas 1-3). Para comparar el riesgo con y sin fotovoltaica, considerando inalterable el producto
se obtendrá el índice IR para evaluar los valores esperados del coste en ambos escenarios:

Siendo:
Porcentaje anual de incendios declarados en las instalaciones fotovoltaicas, por unidad de potencia.
N Potencia de la instalación fotovoltaica.
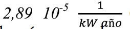
Se observa en la tabla 2 que la fotovoltaica tiene una influencia más relevante cuanto menor es el peligro inicial, y es muy significativo el aumento en las actividades que inicialmente tienen un peligro medio o inferior. Por otra parte, con el índice se analizará cuál es el impacto de la instalación fotovoltaica en la resistencia al fuego requerida, debido a la influencia en el inicio y el crecimiento del incendio.
Los resultados de la tabla 3 muestran que el índice es inferior a la unidad en los escenarios habituales y, por tanto, no es necesario recalibrar los coeficientes ![]()
En consecuencia, dado que los otros índices
tomarán el valor unitario, pues según la información disponible las instalaciones fotovoltaicas no influyen de forma significativa ni en la carga de fuego final ni en el comportamiento de la combustión, para establecer la resistencia al fuego requerida cuando hay instalaciones fotovoltaicas en cubierta, bastaría con asignar el valor unitario al factor de corrección del tiempo equivalente de exposición al fuego.
Influencia de los nuevos vehículos
Se analizará cómo repercute la presencia de los nuevos vehículos en la determinación de la resistencia al fuego requerida en el sector de incendios que constituye el aparcamiento.
Para decidir si los nuevos riesgos hacen necesario recalibrar los coeficientes
, se obtendrá el índice
para todas las superficies de incendio que se definen en la normativa actual.
El estudio se realizará respecto a la clasificación inicial del aparcamiento como una actividad con peligro normal y sin instalaciones de protección contra incendios operativas.
Además, con el objetivo de comparar la importancia relativa de los factores analizados, así como para garantizar resultados óptimos en términos de seguridad, se considerará el escenario de fuego más desfavorable posible durante el crecimiento del fuego, expresando la posible evolución más pesimista del impacto de los nuevos sistemas de almacenamiento de energía para la propulsión, así como por las nuevas formas de estacionamiento. Esto implica suponer que ni los ocupantes, ni los sistemas de protección activa, ni los bomberos podrán evitar que el incendio evolucione hasta convertirse en un fuego totalmente desarrollado ![]()
Por otro lado, se analizará la influencia sobre la acción principal del incendio, cuantificando su repercusión con el índice
, para comparar el valor previsible de la densidad de carga de fuego característica para todo el periodo de referencia, con el valor fijado cuando se tomaron los datos estadísticos.
El nuevo valor se estimará a través de una variable aleatoria que considere tanto la incertidumbre debida a la carga de fuego de la actividad en cada instante como la incertidumbre de su variación en el tiempo.
La variable aleatoria será definida con una distribución Gumbel-I a partir de su valor medio, para deducir como valor característico el que se espera no superar en el 80% de cada instante.
Por otra parte, el valor medio será aquel que se espera no superar durante el 80% del tiempo dentro del periodo de referencia.
Para deducirlo, se partirá de la información disponible respecto a que el peso total del vehículo en plástico era solo del 7% en las fechas de elaboración de la normativa vigente, así como de la tendencia a la que apuntan los datos históricos. Por otra parte, también se partirá del desconocimiento actual, interpretándolo como la imposibilidad de atribuir mayor probabilidad a unos valores frente a otros, así como la imposibilidad de descartar el valor más extremo posible.
En consecuencia, cuando la vida útil de la edificación es de 50 años, aplicando el principio de prudencia, se establece como escenario esperable que el peso total del vehículo en plástico sea del 100% antes de finalizar el período de servicio (tabla 5).
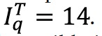
Con las hipótesis plantadas, el índice toma el valor
.
Finalmente, la posible influencia de los nuevos vehículos en el comportamiento de la combustión se analizará con el índice IB.
Para deducir su valor, se partirá de que la normativa actual acepta establecer m = 0,8 en la actividad de aparcamiento, considerando que también acepta el procedimiento del tiempo equivalente incluso cuando la fracción del combustible que arde es superior a la que arde cuando el material combustible es tipo celulósico, asignando a dicho escenario el valor m = 1.
Además, se partirá de que la normativa actual considera válido el procedimiento para actividades con un desarrollo rápido del incendio, y dado que el escenario previsible más desfavorable supone considerar que el desarrollo del incendio pueda llegar a ser rápido, para garantizar que el margen de seguridad es suficiente, bastará con seguir asignando el valor m = 0,8 , con un índice IB=1,25
Por tanto, para establecer la resistencia al fuego requerida a los nuevos aparcamientos, será suficiente si se aplica el factor de corrección Kte =23 al tiempo equivalente de exposición al fuego.
4. Conclusiones
Las nuevas tecnologías pueden llegar a tener un gran impacto en la capacidad portante de las estructuras en caso de incendio, por lo que es imprescindible verificar que la seguridad sigue controlada.
Utilizando un enfoque probabilista y a través de un análisis prospectivo, se ha propuesto un método que permite evaluar el grado de influencia de las nuevas tecnologías. Así se podrá cumplir la exigencia básica de seguridad estructural en caso de incendio, al garantizar la capacidad portante durante la vida útil de los edificios, con un grado aceptable de fiabilidad.
Supone una revisión del procedimiento del tiempo equivalente de exposición al fuego. El producto de tres índices
permitirá seleccionar un factor de corrección ajustado, para garantizar la seguridad, a pesar de los cambios previsibles: el nivel de fiabilidad exigido a la estructura en caso de incendio, la energía total que estará a disposición del fuego y las alteraciones en el comportamiento de la combustión.
En primer lugar, centrando las conclusiones en las instalaciones fotovoltaicas en cubierta, al comparar los porcentajes de incendio de las actividades del interior de la edificación con la presentada por la generación de energía eléctrica fotovoltaica, se concluye que esta tecnología tiene un grado de peligro similar al de las actividades menos peligrosas.
Sin embargo, es crucial reconocer que la fotovoltaica supone un aumento real del riesgo. Como muestran los valores obtenidos, implica un aumento del 134% del riesgo en las edificaciones donde se instalan con mayor frecuencia. Por tanto, es imprescindible evitar que su imagen pública pueda dañarse, limitando los riesgos, al menos, hasta cumplir las exigencias básicas.
Lograrlo será sencillo en el caso de las instalaciones fotovoltaicas en cubierta. Bastará con aplicar los valores ofrecidos por la normativa actual para la resistencia al fuego requerida
. Esto se justifica por los resultados obtenidos para el índice . Los valores iguales o inferiores a la unidad indican que el nivel de fiabilidad exigido en la actualidad es suficiente, pues el sobredimensionado de los requisitos actuales permite seguir mitigando el riesgo adicional.
Respecto a la influencia de los nuevos vehículos en la seguridad estructural durante los incendios, los hallazgos resaltan que la resistencia al fuego establecida en la normativa no aborda adecuadamente los riesgos adicionales.
Parte de la conclusión se justifica al evaluar los cambios en las dificultades para extinguir los incendios, señalando que esta situación se agrava cuanto más desafíos enfrenten los cuerpos de bomberos, principalmente por las nuevas tecnologías de almacenamiento de energía para la propulsión, así como por las nuevas formas de estacionamiento. Precisamente, eso muestran los valores superiores a la unidad del índice , lo que implica que el producto de los coeficientes de la normativa,
, podrían resultar insuficientes en escenarios desfavorables.
Ahora bien, gran parte del impacto pronosticado de los nuevos vehículos en los aparcamientos encuentra su justificación en los valores tan significativos que muestran el producto de con , especialmente debido al índice , que permite relativizar la importancia de algunos factores, como pueden ser las baterías de los vehículos y los puntos de recarga, para resaltar la fuente principal del problema: la tendencia al aumento de la acumulación de energía a disposición del fuego, a causa del aumento del peso en plástico en los vehículos.
A medida que la industria del plástico se acerca más a sus objetivos de largo plazo, las clases de resistencia al fuego ahora establecidas podrían ser menos adecuadas para garantizar la seguridad durante la vida útil de los edificios.
Para fijar la resistencia al fuego requerida en los nuevos aparcamientos, se podría continuar utilizando el procedimiento del tiempo equivalente, aplicando un factor de corrección adecuado. Por el principio de prudencia se ha sugerido que la resistencia al fuego disponible será siempre suficiente, si consigue ser igual o superior al valor
.
Dado que el estudio ha partido de la inexistencia de instalaciones de protección contraincendios en el sector, sería necesario investigar cómo puede ayudar su incorporación.
Si no es posible reducir la energía total, ni mejorar su comportamiento en la combustión, será necesario compensarlo haciendo menos probable que el fuego evolucione hasta convertirse en un incendio grave.
Bibliografía
American Chemistry Council, 2019. Plastics and Polymer Composites in Light Vehicles, s.l.: s.n.
Backstrom, B. & Sloan, D., 2012. Effect of Rack Mounted Photovoltaic Modules on the Fire Classification Rating of Roofing Assemblies Phase 2, s.l.: s.n.
Boehmer, H., KlassenMichael, M. S. & Olenick, S. M., 2020. Modern Vehicle Hazards in Parking Structures and Vehicle Carriers, s.l.: National Fire Protection Association NFPA.
CEN, 2019. UNE-EN 1990:2019. Eurocódigos. Bases de cálculo de estructuras. s.l.:s.n.
UNE-EN 1991-1-2:2019. Eurocódigo 1: Acciones en estructuras. Parte 1-2: Acciones generales. Acciones en estructuras expuestas al fuego. s.l.:s.n.
Fernández, M. & Pecharromán, J. P., 2024. Resistencia al fuego disponible en las estructuras de edificaciones con instalaciones fotovoltaicas. Técnica Industrial, Issue 337.
Hynynen, J. y otros, 2023. Electric Vehicle Fire Safety in Enclosed Spaces, s.l.: RISE Research Institutes of Sweden AB.
Kristensen, J. S., 2022. Fire risk associated with photovoltaic installations on flat roof constructions: experimental analysis of fire spread in semi-enclosures. s.l.:s.n.
Kristensen, J. S., Jacobs, B. & Jomaas, G., 2022. Experimental Study of the Fire Dynamics in a Semi-enclosure Formed by Photovoltaic (PV) Installations on Flat Roof Constructions. Fire Technology.
Li, Y. & Spearpoint, M., 2007. Analysis of Vehicle Fire Statistics in New Zealand Parking Buildings. Fire Technology.
Ministerio de Fomento, 2019. Código Técnico de la Edificación. Documento Básico SE. [En línea]
Available at: https://www.codigotecnico.org/pdf/Documentos/SE/ DBSE.pdf
Ministerio de Fomento, 2019. Código Técnico de la Edificación. Documento Básico SI. Seguridad en caso de incendio. [En línea] Available at: https://www.codigotecnico.org/pdf/Documentos/SI/ DBSI.pdf
Ong, N. A. F. M. N. y otros, 2022. Fault tree analysis of fires on rooftops with photovoltaic systems. Journal of Building Engineering.
Schleich, J.-B., Cajot, L.-G. & Pierre, M., 2002. Competitive steel buildings through natural fire safety concepts, Luxembourg: Office for Office for Publications of the European Communities.
Sipe, J., 2016. Development of Fire Mitigations Solutions for PV Systems Installed on Building Roofs Phase 1, s.l.: Fire Protection Research Foundation.
Tohir, M. Z. M. & Spearpoint, M., 2013. Distribution analysis of the fire severity. Fire Science.


