Alimentación fotovoltaica de ventanas inteligentes
Autor para correspondencia / Corresponding author: Cecilia Guillén Arqueros (c.guillen@ciemat.es). Ciemat. Avda. Complutense, 40. Edificio 42, Unidad de Energía Solar Fotovoltaica. 28040 Madrid.
Resumen
En este trabajo se ha medido la energía consumida por una ventana inteligente electrocrómica para así estimar el consumo diario en función del modo de empleo y el perfil horario que demande el usuario. A partir de estos datos y haciendo uso de un programa de simulación, se ha llevado a cabo el dimensionado del sistema fotovoltaico que sería necesario en cada caso para alimentar la ventana de manera autónoma. Por último, se ha puesto en práctica un prototipo experimental en condiciones reales con el fin de confirmar la viabilidad del sistema propuesto.
Palabras clave
Ventanas inteligentes, dispositivos electrocrómicos, consumo eléctrico, energía fotovoltaica, eficiencia energética, edificación.
Abstract
In this work, the energy consumption of an electrochromic smart window has been measured, in order to estimate the daily consumption depending on the way of use and the hourly profile demanded by the user. Based on these data and making use of a simulation program, the sizing of the stand-alone photovoltaic system was carried out so that it is enough to supply the window. Finally an experimental prototype was developed in real conditions in order to confirm the viability of the proposed system.
Keywords
Smart windows, electrochromic devices, electrical consumption, photovoltaic energy, energy efficiency, buildings.
Recibido / Received: 22.09.2016. Aceptado / Accepted: 22.02.2017
Introducción
En un mundo donde la demanda energética es cada vez mayor, y puesto que el uso de combustibles fósiles para satisfacer dicha demanda no es ni ilimitado ni beneficioso, se presenta como una urgencia, en primer lugar, reducir este consumo y, en segundo lugar, recurrir a fuentes de energía renovables para satisfacer la demanda que resulte inevitable. Dado que una buena parte del consumo energético de nuestras ciudades se destina a la climatización de edificios, las ventanas inteligentes (smart windows [SW]) se presentan hoy en día como un medio idóneo para reducir este consumo, puesto que disminuyen de manera importante el gasto en aire acondicionado (Baetens, 2010). Una ventana inteligente consiste en un vidrio cuyo grado de transparencia se puede regular mediante la aplicación de un voltaje, de manera que se puede disminuir notablemente el calentamiento del interior de un edificio sin más que llevar la ventana a un estado más opaco. Por otro lado, para que la instalación sea verdaderamente eficiente, el objetivo es que estos dispositivos se alimenten con energía solar. Para ello, es necesario dimensionar adecuadamente el sistema fotovoltaico, de manera que sea suficiente para garantizar el funcionamiento sin exceder el espacio disponible en el edificio para instalar los paneles solares. En este trabajo se ha estudiado el consumo de una ventana inteligente comercial y se ha simulado el sistema fotovoltaico que se requeriría para su alimentación, lo cual sienta las bases de la puesta en práctica de este tipo de sistemas.
En la actualidad, se trabaja con ventanas inteligentes basadas en dos tecnologías diferentes: cristales líquidos y óxidos electrocrómicos (Lampert, 1998 y 2003; Wong, 2014). En estudios previos (Guillén, 2015a y 2015b) se ha constatado que las ventanas basadas en cristales líquidos requieren para mantener su estado transparente de un aporte continuado de energía y tensión eléctrica en alterna, lo cual supone una situación ideal para una alimentación directa de la red eléctrica, pero adversa si se piensa en una alimentación autónoma y aislada. Por el contrario, los elementos electrocrómicos requieren un aporte de energía en tensión continua y solo durante el proceso de cambio de estado (de oscuro a claro o viceversa), manteniendo el mismo estado sin consumo una vez alcanzado, lo cual se presenta como una situación más favorable desde el punto de vista del gas-to energético. Por ello, este trabajo se centra en estos últimos materiales.
La ventana analizada es de doble acristalamiento y consta, además del dispositivo electrocrómico embutido entre dos vidrios, de un separador de 16 mm y un vidrio con recubrimiento de baja emitancia (low-e) en la cara externa, que conlleva mejoras adicionales en el comportamiento energético del edificio (Chow, 2010). La ventana permite distintos niveles de oscurecimiento, determinados por el controlador conectado al dispositivo electrocrómico, y el estudio de su funcionamiento ha sido el primer objetivo del presente trabajo. En segundo lugar, se ha determinado la influencia de la tensión de alimentación y de la forma de uso en el consumo energético. Una vez medido el consumo de los ciclos de aclarado-oscurecido, se ha estimado el consumo de un perfil de uso cotidiano, para así proceder al dimensionado del sistema fotovoltaico que ha de alimentar la SW de manera autónoma, para lo cual se ha hecho uso del programa de simulación PV GIS, de libre acceso (European Commission, 2016). Por último, se ha ensayado un prototipo de sistema autónomo.
Descripción del sistema experimental
Para alimentar y medir el consumo de los cambios de estado de la ventana se ha utilizado una fuente bipolar de tensión continua modelo Keithley 2635A. La dificultad proviene de los peculiares procesos de oscurecimiento y aclarado del dispositivo electrocrómico, similares a los de carga y descarga de algunas baterías (Granqvist, 2014). Deben realizarse a un ritmo apropiado mediante rampas de tensión y detectar previamente el estado actual del dispositivo, para iniciar dichas rampas en el punto adecuado. En este caso, se ha optado por utilizar el controlador (o selector de estado) que añade el fabricante, dado que este garantiza un funcionamiento prolongado de la ventana.
Su interfaz consta de cinco leds y dos pulsadores para cambiar el estado, de forma que en el nivel más bajo, que llamamos N1 (máxima transparencia), solo un led permanece encendido, y tras pulsar cuatro veces el botón up conseguimos que se enciendan los cinco leds alcanzando el nivel N5 correspondiente al máximo oscurecimiento. Al desenchufar el controlador, la ventana se mantiene en el último nivel de oscurecimiento marcado. Al volver a enchufarlo, se observa un proceso de inicialización o estabilización, que consiste en llevar el dispositivo al nivel N1 (máxima transparencia), volviendo después al último estado marcado, de manera que el controlador tiene la capacidad de recordar el estado del que partió y volver a dicho estado.
Por cuestiones prácticas, los cálculos se han realizado tomando esta ventana de 40 cm x 55 cm (esto es 0,22 m2) como unidad, y después se traducirá el consumo energético a unidades estándar de Wh/m2.
Resultados
1. Consumo en función de los parámetros eléctricos y perfiles de uso
El montaje experimental realizado ha permitido modificar la tensión aplicada al controlador y medir simultáneamente diferentes parámetros (básicamente la corriente de entrada al controlador, la corriente que alcanza el dispositivo electrocrómico de la ventana y el voltaje que actúa sobre dicho dispositivo) en función del tiempo. Así, la evolución de estos parámetros se ha registrado durante el proceso de oscurecimiento (evolución desde el nivel N1 a N5) y el subsiguiente aclarado (desde N5 a N1), considerados dos semiciclos sucesivos que forman un ciclo completo de operación de la ventana.
1.1 Influencia en el consumo de la tensión aplicada al controlador
El fabricante estipula que el controlador se alimenta con una tensión de 24 V. Sin embargo, se han repetido todas las medidas para valores decrecientes del voltaje de alimentación, y se ha comprobado que el controlador y la ventana funcionan sin ningún problema para cualquier valor de voltaje no inferior a 12 V, y el comportamiento eléctrico y óptico es esencialmente el mismo.
En las gráficas de la figura 1 se puede ver la intensidad de corriente que llega al controlador (rojo) y la que verdaderamente alcanza la ventana (azul) cuando se alimenta el sistema con una tensión constante de 24 o 12V (gráficas izquierda y derecha, respectivamente). Asimismo, en línea verde discontinua se muestran el voltaje aplicado (constante) y el que alcanza la ventana (ram-pa establecida por el controlador).
Lo primero que se observa es que la rampa de voltaje que el controlador destina a la ventana es mucho menor que el voltaje aplicado al controlador y, además, es esencialmente independiente de este. Por otra parte, la corriente que llega a la ventana es muy similar a la corriente global. Por tanto, la primera conclusión es que la mayor parte de la potencia suministrada es consumida por el controlador, y solo una pequeña fracción se invierte en el funcionamiento de la ventana, tal como se ilustra en la figura 2.
En segundo lugar, se comprueba que la corriente que llega al controlador tiene un comportamiento muy similar sea cual sea el voltaje de alimentación, por lo que, en primera aproximación, la potencia consumida aumenta linealmente con este voltaje. Por tanto, desde el punto de vista del consumo, lo óptimo es alimentar la ventana con un potencial de 12 V. Tampoco el tiempo invertido en cada ciclo depende apreciablemente del voltaje, por lo que trabajar a voltajes superiores no supondría ninguna mejora a efectos de la comodidad del usuario.
Como se puede apreciar, cuando finaliza cada proceso (aclarado u oscurecido), deja de circular corriente por la ventana. Sin embargo, si se mantiene conectado el sistema, el controlador sigue recibiendo cierta corriente, constante en el tiempo y notablemente menor que la invertida en los ciclos, pero que no es ni mucho menos despreciable. De hecho, si se deja la ventana en espera (stand-by) durante largo tiempo, será la contribución mayoritaria al consumo global.
En la tabla 1 se recogen los datos de carga y consumo correspondientes a los dos semiciclos y al ciclo global para distintos voltajes de alimentación. Se constata, en efecto, que ni la duración de los procesos ni la carga consumida en ellos dependen de una manera sistemática de la tensión aplicada, de manera que el consumo es, aproximadamente, proporcional a ella.
1.2 Influencia en el consumo de la estabilización y tiempo de espera
Cuando se conecta el controlador, se requiere un tiempo de estabilización, que lleva a la ventana inevitablemente al estado de máxima transparencia (nivel 1), sin que los botones up y down del controlador estén disponibles para el usuario.
Si el controlador se desconecta cuando se encuentra en el nivel 1, el proceso de estabilización al conectarlo dura apenas unos segundos. Finalizado este lapso de tiempo, la ventana permanece en el nivel 1 y el usuario ya puede disponer de los botones para cambiar de nivel.
Sin embargo, si se desconecta cuando se encuentra en un nivel distinto (N2 o superior), cuando se conecta de nuevo, el proceso de estabilización no concluye con la llegada al nivel 1: al llegar a este nivel, los botones pasan a estar disponibles, pero, si no se indica otra cosa, la ventana vuelve al estado en el que se encontraba cuando fue conectada. Así pues, lo que ocurre durante la estabilización es en realidad un proceso de aclarado (inevitable y no controlado por el usuario) similar al que tendría lugar si el usuario indicara mediante los botones el tránsito al nivel 1, seguido de un proceso de oscurecido hasta llegar al nivel de partida (salvo que el usuario indique lo contrario).
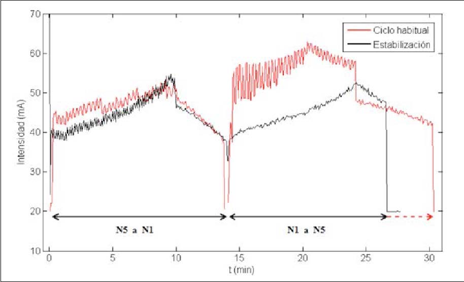
En la figura 3, en color negro, se representa la intensidad de corriente que circula por el controlador cuando se conecta estando en el nivel 5 y se alimenta a 12 V. Se puede observar que los procesos de aclarado y oscurecido son similares si tienen lugar de manera automática (durante la estabilización) o si se hace de manera controlada por parte del usuario. En color rojo se representan superpuestas las curvas de intensidad que se obtienen cuando el ciclo tiene lugar a petición del usuario partiendo del nivel 1 (curva roja de la figura 1), pero adecuando el orden de los procesos: primero el aclarado y después el oscurecido.
Tras repetir varias veces los ciclos controlados y compararlos con los automáticos, se ha concluido que el con-sumo del semiciclo de aclarado es muy similar en ambos casos, y su diferencia es del orden del error experimental. Por tanto, en los cálculos, el consumo del proceso de aclarado durante la estabilización es perfectamente sustituible por el consumo calculado para el proceso controlado.
Sí se observa una tendencia sistemática en lo que respecta al semiciclo de oscurecido: en el proceso automático, la corriente (y, por tanto, el consumo) es significativamente menor, pero esto se debe a que los leds del controlador se mantienen apagados en este semiciclo de la estabilización. En cambio, en el semiciclo de aclarado automático, los leds parpadean, con lo que no hay un descenso apreciable en el consumo debido a esta contribución.
A 12 V, el consumo por dejarlo conectado en el nivel 5 (máxima oscuridad) es de 240 mW en promedio. Puesto que el consumo de un ciclo completo es de unos 240 mWh (tabla 1), es más eficiente desde el punto de vista energético desconectar el controlador cuando la ventana está oscurecida que mantenerlo más de una hora en stand-by. Sin embargo, desde el punto de vista de la comodidad del usuario, esto puede suponer un problema, puesto que es necesario esperar un tiempo de una media hora cuando se vuelve a conectar.
Cabe recordar que, si se desconecta la ventana en el nivel 5 y se vuelve a conectar cuando se desea aclararla, esperando todo el ciclo de estabilización, el consumo se duplica, puesto que la estabilización consume tanto como un ciclo manual. Por tanto, el modo de empleo que minimiza el consumo es aprovechar el paso de N5 a N1 de la estabilización para realizar el aclarado deseado. Esto tiene el inconveniente de que el usuario tiene que estar pendiente de interrumpir el proceso de estabilización en el nivel 1 (justo cuando los botones del controlador pasan a estar disponibles).
Por supuesto, dado que la estabilización partiendo del nivel 1 dura unos segundos y no contribuye apenas al consumo total, siempre resultará más favorable desconectarlo al llegar al estado transparente que mantenerlo en stand-by.
1.3 Estimación del consumo anual para diferentes perfiles de uso
Se han supuesto tres perfiles de con-sumo posibles en función del modo de empleo que decida seguir el usuario:
Perfil 1: únicamente se consume energía durante las transiciones (aclarado u oscurecido), es decir, cuando la ventana llega al nivel deseado, se desconecta el controlador. En este caso, el consumo diario corresponde únicamente al de un ciclo completo: 242 mWh.
Perfil 2: el controlador no se desconecta nunca, sino que se queda en stand-by al llegar al nivel deseado. El consumo corresponde entonces al de un ciclo completo más el de mantener el stand-by las 23 horas y 35 minutos restantes.
Perfil 3: cuando la ventana llega al nivel 5, se mantiene en stand-by (para evitar el incómodo proceso de estabilización desde este nivel), pero permanece desconectada durante el tiempo que se encuentra en el nivel 1 (puesto que la estabilización desde el nivel 1 no supone incomodidad alguna).
Hay que tener en cuenta que en el perfil 3 el consumo depende de las horas que transcurran desde el oscurecido hasta el aclarado. A tal efecto se ha supuesto un perfil horario tipo (Lee, 2006), que razonablemente puede corresponder a las horas en las cuales un usuario quiera evitar el sol dependiendo de la época del año. La tabla 2 muestra el consumo mensual y anual de acuerdo con este perfil.
2. Dimensionado del generador para funcionamiento autónomo
El objetivo propuesto es alimentar las SW mediante energía solar fotovoltaica, puesto que de esta manera la instalación será verdaderamente eficiente (Lampert, 2003). Para ello se puede optar por dos enfoques:
Integrarlo dentro de un sistema global conectado a la red, en cuyo caso el consumo de la ventana simplemente supondrá una contribución más al consumo total del edificio.
Confeccionarlo como un sistema autónomo. En este caso, hay que estimar cuáles han de ser las características del módulo fotovoltaico y de la batería para garantizar que la energía generada sea suficiente para alimentar la ventana en todo momento. Este sistema integrado supone una ventaja evidente en cuanto a su instalación.
Dimensionar la alimentación del sistema autónomo es precisamente el objetivo del presente trabajo.
Mediante el programa PV GIS (European Commission, 2016), se calculó la energía producida cada mes del año en función de la orientación del módulo (horizontal o situado en las fachadas norte, sur, este y oeste) y de su potencia pico, todo ello para la situación geográfica del laboratorio donde se realizó este trabajo (en Madrid 40º27’ N; 3º44’ O). A continuación, se cotejó con el consumo mensual de la ventana en cada una de las tres modalidades de uso (perfiles 1, 2 y 3 [tabla 3]) para estimar si la energía producida cada mes es o no suficiente para satisfacer cada exigencia de consumo. Para verificarlo de manera más minuciosa, se llevó a cabo la simulación del sistema autónomo, que arroja como resultado el número de días en que la producción es insuficiente y el número de días en que, por el contrario, la batería alcanza su plena carga y, por lo tanto, parte de la energía se desperdicia.
Además, se ha ensayado un sistema experimental alimentado con un módulo de 1,8 W de potencia máxima nominal (véase la sección 3) y una batería de 3 Ah. Por tanto, para poder compararlos con el sistema experimental, se han realizado los cálculos suponiendo una placa con dicha potencia pico o un múltiplo de esta: x2, x3 y x5. Durante el desarrollo de estos cálculos se ha observado que aumentar la carga de la batería a 5 Ah hace que en muchas situaciones sea suficiente con un módulo menos potente del que sería necesario con una batería de 3 Ah.
Como se ha descrito anteriormente, el consumo de una ventana de 0,22 m2 es muy pequeño en comparación con el consumo de otros aparatos que habitualmente se alimentan con energía solar, por lo que el programa PV GIS no permite realizar los cálculos en ese orden de magnitud. Por ello, se ha escalado el sistema 100 veces (tanto el consumo como la potencia del módulo y la capacidad de la batería), lo que en realidad correspondería a la alimentación de 22 m2 de ventana.
Como se ha visto en el apartado 1, el controlador funciona perfectamente si se alimenta con un potencial de 12 V, de manera que se utilizará para los cálculos (y para el montaje experimental) una batería de dicha tensión. Sin embargo, si una batería con un voltaje nominal de 12 V está bien cargada, se puede superar notablemente ese voltaje. Por tanto, el consumo calculado para 12 V puede estar subestimado. Por esa razón, para mayor seguridad, se han introducido en las simulaciones los datos de consumo calculados para 14 V, sabiendo que el resultado puede estar levemente sobredimensionado. En la tabla 3 se muestran los consumos mensuales de cada una de las tres modalidades de uso.
Módulo de 180 W
Según se muestra en la figura 4, el módulo de 180 W genera claramente más energía de la consumida en el perfil 1 todos los meses del año y sea cual sea la orientación de la placa.
El mismo módulo genera también más energía de la requerida por el perfil 3 si se coloca en posición horizontal, pero parece ser insuficiente algunos meses en las fachadas sur y este (u oeste, que se omite en la representación debido a su similitud con la fachada este). Para confirmar este hecho, se ha realizado la simulación del sistema autónomo, imponiendo el consumo correspondiente (figura 5).
Estos cálculos muestran que en la fachada sur la placa de 180 W es suficiente para mantener el consumo del perfil 3, pero no en la fachada este.
Cabe advertir que el programa que se utilizó para las simulaciones no realiza correctamente los cálculos en la fachada norte, por lo que la única referencia de que disponemos es el cálculo de energía producida, que resulta claramente insuficiente para cualquier consumo que no sea el perfil 1. En cualquier caso, es de esperar que no sea preciso instalar el generador fotovoltaico en la fachada norte.
Módulo de 360 W
La energía generada por el módulo de 360 W (figura 6) sobrepasa claramente la necesidad de consumo de los perfiles 1 y 3 (salvo en la fachada norte). En algunos meses excede incluso el con-sumo del perfil 2. La figura 7 muestra que, si la placa se dispone en el plano horizontal, este consumo se puede sostener en los meses de verano, pero en los meses de invierno resulta insuficiente. En la fachada sur el consumo sí se puede mantener, aunque sería quizá insuficiente algún día en invierno.
Módulo de 540 W
El módulo de 540 W es claramente suficiente para garantizar los perfiles 1 y 3 de consumo en todas las épocas del año y todas las orientaciones (salvo en la fachada norte los meses de otoño-invierno), como ilustra la figura 8. Además, la energía generada es superior a la requerida por el perfil 2 durante to-dos los meses del año tanto en posición horizontal como en la fachada sur, así como entre los meses de marzo y octubre en la fachada este.
La figura 9 muestra que, efectivamente, el módulo de 540 W sería capaz de alimentar la ventana manteniendo el perfil 2 de consumo en posición horizontal, salvo quizá algún día en diciembre o enero. Se puede observar también que, entre octubre y abril, este módulo resultaría insuficiente en la fachada este, aunque la energía generada a lo largo de todo el mes supera, en términos absolutos, a la consumida con el perfil 3.
Módulo de 900 W y superiores
El módulo de 900 W genera más energía de la requerida para el perfil 2 en todas las posiciones (excepto norte), pero al realizar la simulación se observa que hay muchos días en invierno en que la batería se descargaría en la fachada este (u oeste).
Figura 8. Evolución mensual de la generación según la posición del módulo FV (540 W, 12 V): horizontal (H), sur (S), este (E), norte (N); en comparación al consumo de las ventanas (22 m2 SW) + controlador según el perfil 1 (C1), perfil 2 (C2) y perfil 3 (C3).
De hecho, cálculos sucesivos (que no se representan aquí) muestran que, si se quiere mantener el stand-by todos los meses en la fachada este u oeste, haría falta una placa de al menos 1.500 W, y aun así no sería suficiente algunos días de diciembre y enero. Para seguridad completa, se precisaría una placa de 1.800 W. Así pues, parece razonable renunciar a este modo de empleo, teniendo en cuenta que desconectar el controlador durante la noche (en el nivel 1) no supone una gran incomodidad.
Un resumen de los perfiles de con-sumo garantizados en función del sistema generador y su ubicación se presenta en la tabla 4.
3. Análisis de un prototipo autónomo
Una vez caracterizada eléctricamente la SW y dimensionado el generador fotovoltaico, se elaboró un prototipo experimental de alimentación autónoma. Para ello se hizo uso de un módulo fotovoltaico de 1,8 W de potencia nominal y una batería de 12 V y 3 Ah, si bien la caracterización eléctrica del módulo mostró una potencia máxima real de 776 mW, y los ensayos de la batería indicaron que su capacidad era de 1,8 Ah.
Las pruebas tuvieron lugar en Madrid (40º 27’ N; 3º 44’ O) durante las dos últimas semanas de mayo y la primera semana de junio, con irradiancias diarias del orden de 3.000 W/m2 los días más nublados, de entre 6.000 y 8.000 W/m2 en días intermedios y llegando incluso a 10.000 W/m2 en los días más soleados de junio.
El módulo se colocó en posición horizontal en una ventana orientada al sur, que, debido a la configuración del edificio y de sus alrededores, solo recibía radiación directa desde las 10.00 horas hasta las 16.00 horas, aproximadamente (aunque esto varía lógicamente con el paso de las semanas).
Así pues, el ensayo del prototipo se llevó a cabo en condiciones menos favorables que los cálculos realizados en la sección anterior.
Se ensayaron tres modalidades de consumo:
– Correspondiente únicamente a un ciclo completo diario.
– Un ciclo completo diario manteniendo conectado el stand-by durante todo el tiempo que la ventana se encontraba en estado oscuro (entre las 9.00 horas y las 17.00 horas).
– Un ciclo completo diario manteniendo el stand-by las 24 horas.
Lo primero que se observó fue que en las horas centrales de los días soleados la energía generada por el módulo es suficiente para alimentar el funcionamiento de la ventana, y que incluso la batería se carga durante el proceso. En días nublados o cuando el módulo no recibe radiación directa, la potencia generada es menor que la consumida por la ventana mientras está funcionando con la batería, pero a lo largo de todo el día este déficit se compensa con creces y el sistema autónomo resulta más que suficiente para mantener un ciclo diario.
En segundo lugar, salvo en los días con más baja irradiancia, el sistema autónomo bastó para alimentar un ciclo diario manteniendo el stand-by durante las, aproximadamente, siete horas de estado oscuro. En los días más soleados, la batería incluso se cargaba de manera significativa.
Por último, cabe añadir que, ni siquiera en los días de mayor irradiancia, el sistema fotovoltaico fue suficiente para sostener el stand-by las 24 horas.
Conclusiones
Se ha llevado a cabo la caracterización eléctrica de una ventana inteligente comercial, tanto del dispositivo electrocrómico como del sistema de control necesario para su uso, con el objetivo de comprender el funcionamiento del controlador y de estimar el consumo de energía y de carga. Se ha concluido que la mayor parte de la potencia suministrada al sistema se invierte en hacer funcionar el controlador.
A partir de las medidas eléctricas, se ha estimado el consumo global correspondiente a un ciclo de oscurecido- aclarado diario, en función de si se opta o no por desconectar el controlador en los periodos de inactividad. La conclusión a la que se ha llegado es que mantener el stand-by las 24 horas es demasiado costoso, mientras que, si se mantiene conectado solo durante el tiempo que la ventana permanece en estado oscuro, no se requiere un excesivo gasto energético y queda garantizada la comodidad en el empleo. En cambio, si se desconecta el controlador en todos los periodos de inactividad, la demanda energética es mínima y se satisface con facilidad, pero requiere un modo de empleo más incómodo. En cualquier caso, en el presente artículo se recogen los requerimientos del sistema fotovoltaico necesario para garantizar cada una de las modalidades de consumo que se han propuesto.
Por último, se ha ensayado un prototipo de alimentación autónoma de la SW en condiciones reales menos favorables que las impuestas en las simulaciones. Se concluye que un módulo fotovoltaico de baja potencia y una batería sencilla bastan para alimentar la SW y mantener el stand-by en el estado oscuro en días de radiación alta e intermedia, aunque resultan insuficientes para mantener el stand-by las 24 horas del día.
Agradecimientos
El presente trabajo se ha realizado en el marco del programa OMEGA-CM, Ref. S2013/MAE-2835 (convocatoria «Tecnologías 2013»), que es un programa multidisciplinar de I + D, financiado por la Comunidad de Madrid y cofinanciado con Fondos Estructurales de la Unión Europea. Los autores agradecen esta financiación.
Bibliografía
Baetens R, Jelle BP, Gustavsen A (2010). Properties, requirements and possibilities of smart windows for dynamic daylight and solar energy control in buildings: A state-of-the-art review. Solar Energy Materials and Solar Cells. 94: 87-105.
Chow T, Li C, Lin Z (2010). Innovative solar windows for cooling-demand climate. Solar Energy Materials and Solar Cells. 94: 212-220.
European Commission. Photovoltaic Geographical Information System. Disponible en: http://re.jrc. ec.europa.eu/pvgis/apps4/pvest.php (Consultado en abril de 2016).
Granqvist CG (2014). Electrochromics for smart windows: Oxide-based thin films and devices. Thin Solid Films. 564: 1-38.
Guillén C, Trigo JF, Herrero J (2015). Caracterización de ventanas inteligentes basadas en cristales líquidos. Real Sociedad Española de Física, Madrid. ISBN 978-84-606-9611-7.
Guillén C, Trigo JF, Herrero J (2015). Characterization of smart windows based on polymer-dispersed liquid crystals and application of ITO lowemissivity coatings. Current Trends in Energy and Sustainability. ISBN 978-84-608-5438-8.
Lampert CM (1998). Smart switchable glazing for solar energy and daylight control. Solar Energy Materials and Solar Cells. 52: 207-221.
Lampert CM (2003). Large-area smart glass and integrated photovoltaics. Solar Energy Materials and Solar Cells. 76: 489-499.
Lee ES, Selkowitz SE, Clear RD, DiBartolomeo DL, Klems JH, Fernandes LL, Ward GJ, Inkarojrit V, Yazdanian M (2006). Advancement of Electrochromic Windows. California Energy Commission, PIER. Publication number CEC-500-2006-052.
Wong KV, Chan R (2014). Smart glass and its potential in energy savings. Journal of Energy Resources Technology. 136: 012002.
















