Cálculo de la intensidad de cortocircuito con los cambios normativos
RESUMEN
Con la entrada en vigor del actual reglamento electrotécnico para baja tensión, se hace necesario incluir en los cálculos la estimación de la corriente de cortocircuito prevista. Este cálculo se hará, como mínimo, en aquellos puntos donde existan protecciones eléctricas, con el fin de determinar, principalmente, el poder de corte mínimo que han de tener las protecciones magnetotérmicas. De esta forma, podrá asegurarse con suficiente fiabilidad, que las protecciones tendrán capacidad para desconectar de forma segura y adecuada, cuando por ellas circule la intensidad de cortocircuito.
Para estimar el valor de la corriente de cortocircuito, se presentan en este artículo dos métodos diferentes, uno denominado método de impedancias y el otro método en valores unitarios o en “por unidad”. Estos dos métodos utilizan los mismos criterios, es decir: averiguar las impedancias existentes en el recorrido de la intensidad y aplicar la Ley de Ohm, pero utilizando expresiones matemáticas diferentes. Los dos métodos proporcionan los mismos resultados. De esta forma, el técnico, podrá escoger el método que le sea más cómodo.
Recibido: 8 de diciembre de 2010
Aceptado: 31 de marzo de 2011
Palabras clave
Baja tensión, intensidad de corriente, cortocircuito, legislación, poder de corte
ABSTRACT
With the implementation of the current low-voltage electro-technical regulation, it is necessary to include in the calculations an estimate of the expected short-circuit current. This must be done at least at those points where there are electrical protections, in order to determine primarily the minimum breaking effect which the circuit breakers must have. In this way it can be reliably ensured that the protections will have the ability to disconnect safely and properly, when a short-circuit current flows through them.
To estimate the value of the short circuit current, two different methods are presented in this article, a method called impedance and the other method in unitary values or "by unit". These two methods use the same criteria, i.e., finding the impedances existing in the path of the current, and applying Ohm’s Law, but using different mathematical expressions. The two methods give the same results. Thus, the technician can choose the one that is most convenient.
Received: December 8, 2010
Accepted: March 31, 2011
Keywords
Low voltage, current, short circuit, legislation, circuit breaking
Evolución del marco normativo
La promulgación del Real Decreto 3275/1982, de 12 de noviembre, por el que se aprobó el Reglamento sobre condiciones técnicas y garantías de seguridad en centrales eléctricas, subestaciones y centros de transformación, introdujo en nuestra reglamentación la novedad de que las compañías eléctricas proporcionarán a sus clientes la intensidad de cortocircuito (o la potencia de cortocircuito) en el punto de entronque con su red de alta tensión. En la instrucción técnica MIERAT 19.4 se especifica que las compañías eléctricas tienen que entregar, entre otros, los siguientes datos: intensidad de cortocircuito trifásica y a tierra y tiempos máximos de desconexión en caso de defectos. Esto no se generalizó y muchas compañías proporcionaron, durante muchos años, unos valores tipo, lo que obligó a los proyectistas a utilizar, en muchos casos, y por defecto ante la falta de datos, el valor de 500 MVA expresado en la norma UNE 20099 (derogada) y la norma UNE 62271. Se trata de una potencia de cortocircuito máxima definida en dicha norma, más bien, como un referente tope para el diseño de las celdas frente a los posibles efectos electrodinámicos y térmicos que se puedan producir, que como dato de cálculo real para todas las instalaciones.
Sin embargo, la publicación del Real Decreto 842/2002, de 2 de agosto, por el que se aprobó el Reglamento Electrotécnico para Baja Tensión, establecía, en su artículo 15: “Las compañías suministradoras facilitarán los valores máximos previsibles de las potencias o corrientes de cortocircuito de sus redes de distribución, con el fin de que el proyectista tenga en cuenta este dato en sus cálculos”, generalizando el cálculo de cortocircuito en todos los suministros o, por lo menos, en los que se hace proyecto. Esto va a suponer que se puedan dimensionar unas protecciones que hasta entonces se colocaban con una capacidad de corte se supone que “suficiente”, pero que no estaba calculada y a veces quedaba cubierta, a duras penas, por la capacidad de corte de los fusibles de cabecera de las centralizaciones de contadores de las compañías suministradoras.
Otro tema que no ha quedado previsto en el actual Reglamento Electrotécnico para Baja Tensión, son las consecuencias de un cambio en la red de la compañía eléctrica y, por ende, de la potencia de cortocircuito de los usuarios existentes. En puridad técnica deberían adaptar sus equipos a los nuevos valores, sin que tampoco quede claro a quién le corresponde abonar dichos gastos. Esta situación puede obligar a sustituir los interruptores existentes, previstos para un poder de corte máximo determinado, por otros con una capacidad de apertura, en caso de cortocircuito, mayor. Es mas, si nadie avisa de que se han producido modificaciones, se puede mantener una situación de peligro latente durante largos periodos de tiempo, sin que los usuarios sepan lo que está ocurriendo. El problema se producirá si sobreviene un cortocircuito y el interruptor no es capaz de despejarlo; mientras tanto no hay señal alguna de alarma.
El Real Decreto 223/2008, de 15 de febrero, por el que se aprueba el Reglamento sobre condiciones técnicas y garantías de seguridad en líneas eléctricas de alta tensión y sus instrucciones técnicas complementarias ITC-LAT 01 a 09 deja el tema mucho más claro. Establece en su artículo 5 que el propietario de la instalación afectada pague las modificaciones y repita dichos costes contra el que realice la modificación de la misma y lo denomina “causante último de la modificación”. Esto es una novedad normativa en España, pues hasta ahora no se había estipulado reglamentariamente en el sector eléctrico. En el caso de que se generalice para todas las tensiones, puede suponer una novedad muy importante.
Estos cambios normativos han llevado a que se generalice el cálculo del cortocircuito con valores reales, que ya responden a la configuración de la red de distribución en cada caso concreto.
Este trabajo pretende proporcionar una ayuda a los profesionales que realicen los precitados cálculos. Hay dos sistemas fundamentales para efectuar los cálculos comentados, el sistema de impedancias y el sistema denominado “por unidad”. Se desarrollarán ambos y cada proyectista que escoja el que le resulte más sencillo.
Cálculo por el sistema de impedancias
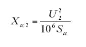
Partimos de la potencia de cortocircuito Scc (dato proporcionado por la compañía eléctrica en MVA) en el primario en media tensión. Este dato hay que pasarlo al secundario del transformador, para ello se aplica la fórmula 1:
Este resultado nos da el aporte primario de la potencia de cortocircuito reducido al secundario en Ω.
Otro valor que hay que reducir al secundario es la impedancia de cortocircuito del transformador, que usualmente se nos proporciona en forma de porcentaje. Las tablas incluidas en el anexo III, proporcionan los valores normales de dicha tensión para transformadores de distribución en baño de aceite y secos con el secundario a 230/400 V y la tensión primaria que se indica. Para otros valores, aislamientos, potencias, tensiones o similares es necesario consultar los catálogos de los fabricantes y aplicar el procedimiento indicado en dicho anexo. (En las fórmulas cuando se incluye el subíndice 2 se está indicando que nos encontramos en el secundario del transformador.)
El aporte resistivo del transformador se calcula:
Y el aporte inductivo:
Ambos expresados en Ω. Con estos datos ya podemos calcular el valor y los parámetros del cortocircuito en el punto A, aplicando:
Si queremos calcular el cortocircuito en el punto B de la figura 1, partimos de los datos que ya tenemos y añadimos a mayores la resistencia y reactancia del cable y volvemos a calcular la impedancia hasta el punto B de la siguiente forma:
El factor 0,8 se introduce para compensar las impedancias
anteriores a Scc y otros elementos no considerados.
Recordemos que en este caso estamos buscando un valor
mínimo. La Guía Técnica del Reglamento Electrotécnico para
Baja Tensión también propone este método. La tensión que
se debe utilizar es la tensión simple monofásica.
Para obtener el valor del cortocircuito mínimo, se ha
utilizado la fórmula propuesta por las normas VDE 0102 y
0118 en lugar de la incluida en la Guía Técnica del Reglamento
Electrotécnico para Baja Tensión:
La fórmula propuesta por la norma VDE prevé un caso más desfavorable; cuando se busca el valor de cortocircuito mínimo, lo que se pretende es el más bajo posible y eso lo tienen mucho mejor resuelto las normas VDE, pues consideran el cortocircuito mínimo monofásico entre conductores. Con lo que se tiene que multiplicar por 2 el valor de la impedancia del circuito, al igual que se hace para calcular una caída de tensión monofásica.
El cortocircuito mínimo es interesante cuando se pretende saber si una protección magnetotérmica, con una curva determinada, desconectará, o no, el circuito ante un cortocircuito. Es decir, imaginemos un magnetotérmico monofásico de 25A de corriente asignada, con una curva de disparo tipo
C. La indicación de curva C quiere decir que, el circuito magnético del interruptor interpretará claramente un cortocircuito cuando la corriente que lo atraviese sea mayor de 10 veces la corriente asignada. Como la protección es de 25 A, quiere decir que saltará de forma prácticamente instantánea cuando la corriente sea superior a 250 A. Si la corriente que lo atraviesa es inferior a 250 A, existirá la posibilidad de que se caliente excesivamente el cable, deteriorándose de esta forma el aislamiento, como consecuencia de la energía pasante.
En el caso de que existan motores de más de 50 CV conectados al mismo transformador, hay que considerar la aportación que realizan al cortocircuito de la siguiente forma (hasta 50 CV se considera despreciable, excepto en el caso de baterías de motores pequeños y cuya potencia total sea igual o superior a la indicada). También hay que tener en cuenta las baterías de condensadores.
Ejemplo de cálculo por el sistema de impedancias
Según los datos, la empresa suministradora ha proporcionado la potencia de cortocircuito de la instalación de 15.000 V en el punto de entronque, cifrándola en Scq = 21,5 MVA, dato que se utilizará para realizar el cálculo de cortocircuito. Los demás datos se expresan a continuación:
Para hacer la reducción de EXcc al secundario, se aplica la expresión
de esta forma obtenemos la corriente de cortocircuito máximo en Aeff. (valor simétrico).
A continuación, calcularemos el cortocircuito en el pun-to “B”, teniendo en cuenta las características de los cables que se exponen en la tabla 1.
Tomamos:
L(2*25+CP) = 25 m
L(4*70) = 70 m
R t= 0,037565 Ω
Xt = 0,008098 Ω
1
Z tc =[R 2 t + Xt 2] 2 Ztc= 0,03842 Ω (impedancia de los cables)
(corriente de cortocircuito máximo en Aeff. (valor simétrico).
Lo que asegura el funcionamiento correcto de las protecciones contra cortocircuito.
Cortocircuito mínimo en el punto “B”. Se calcula aplicando el procedimiento establecido en la norma VDE 0102 y el coeficiente de la VDE 0118.
(corriente de cortocircuito mínima en Aeff.).
Si hubiera mas conductores se procedería de igual manera, pero incrementando las impedancias de cada uno de ellos.
Cálculo por el sistema de valores unitarios
Este método, también denominado método de valores unitarios, consiste en calcular las impedancias del circuito, tal como lo hace el método de impedancias.
La diferencia fundamental es cómo se resuelve el circuito, que será de forma adimensional, es decir, las magnitudes eléctricas (tensiones, impedancias, potencias, etc.) no tendrán unidades. Esto se consigue por medio de unos valores, denominados valores base. Para obtener una magnitud adimensional, o en valor por unidad, se divide el valor real de la magnitud por el valor base correspondiente, estando numerador y denominador con la misma escala y unidades.
Una vez resulta el circuito con valores adimensionales, para saber una magnitud en valor real, sólo será necesario multiplicar el valor unitario que tenga por el valor base correspondiente.
La mejor forma para entender el presente método es realizando un ejemplo. Por ello, realizaremos el mismo ejemplo de cálculo que el desarrollado en el método de impedancias y así se podrá comprobar que se llega al mismo resultado, pero por un método de cálculo diferente.
Antes de resolver el ejercicio, se considera adecuado presentar el procedimiento de cálculo, exponiendo las fórmulas matemáticas y definir las variables que intervienen.
Procedimiento de cálculo
1. Se determinan los valores base.
Solo será necesario determinarlos en el lado de secundario del transformador.
Donde:
Sb = Potencia aparente base (VA)
Sn = Potencia aparente nominal del trasformador (VA)
Ub = Tensión base (V)
U2V = Tensión de línea en el secundario, en vacío (V)
Zb = Impedancia base (Ω)
Ib = Intensidad base de secundario del transformador (A)
2. Se calcula la impedancia del sistema.
La impedancia del sistema representa la impedancia equivalente de la red de media tensión de donde proviene la línea eléctrica que alimenta el transformador de nuestra instalación.
Donde:
Zspu = Impedancia del sistema, en valor por unidad
Sb = Potencia aparente base (VA)
Scc = Potencia aparente de cortocircuito (VA)
Xspu = Reactancia inductiva del sistema, en por unidad
3. Se calcula la impedancia del transformador.
Se calculará tanto la parte real (resistiva) como la parte imaginaria (reactancia inductiva) de la impedancia de cortocircuito del transformador.
Parte resistiva:
Donde:
Rtrpu = Resistencia del transformador, en por unidad
Pcu = Perdidas en carga por efecto Joule (W)
Sb = Potencia aparente base (VA)
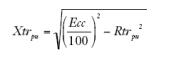
Parte inductiva:
Donde:
Xtrpu = Reactancia inductiva del transformador, expresa
da por unidad Ecc = Tensión de cortocircuito del transformador (%) Rtrpu = Resistencia del transformador, en por unidad
4. Se calcula la impedancia de las líneas eléctricas aguas abajo del transformador.
Se calculará tanto la parte real (resistiva) como la parte imaginaria (reactancia inductiva) de la impedancia.
Parte resistiva:
Donde:
Rcpu = Resistencia del conductor, por unidad
L = Longitud del conductor (m)
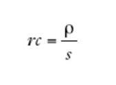
rc = Resistencia eléctrica del conductor (Ω/m)
Si no se tienen tablas de fabricante, puede utilizarse la
Donde
ρ = coeficiente de resistividad a 20 ºC (Ω·mm2/m)
s = sección del conductor (mm2)
Sb = Potencia aparente base (VA)
Ub = Tensión base (V)
Parte inductiva:
Donde:
Xcpu = Reactancia inductiva del conductor, por unidad
L = Longitud del conductor (m)
xc = reactancia eléctrica del conductor (Ω/m)
Si no se tienen tablas de fabricante, puede considerarse valor aproximado 0,00009 Ω/m.
Sb = Potencia aparente base (VA) Ub = Tensión base (V)
5. Se calcula la impedancia total del circuito
Resistencia total:
Donde:
Rccpu = Resistencia total de cortocircuito, en por unidad.
Rtrpu = Resistencia del transformador, en por unidad.
RLpu = Resistencia del conductor, en por unidad. Si hay varios conductores, se añadirán todas las resistencias parciales. Reactancia total:
Donde:
Xccpu = Reactancia total de cortocircuito, por unidad.
Xspu = Reactancia inductiva del sistema, por unidad.
Xtrpu = Reactancia del transformador, por unidad.
Xcpu = Reactancia del conductor, por unidad. Si hay varios conductores, se añadirán todas las reactancias parciales. Impedancia total:
Donde:
Zccpu= Impedancia total cortocircuito, por unidad.
Rccpu = Resistencia total de cortocircuito, por unidad.
Xccpu = Reactancia total de cortocircuito, por unidad.
6. Cálculo de la intensidad de cortocircuito trifásico. Primero se calcula la Icc expresada por unidad:
Donde:
Icc3ppu= Intensidad de cortocircuito trifásico, por unidad.
Upu = Tensión, por unidad.
Zccpu = Impedancia total de cortocircuito, por unidad.
Cálculo de la Icc en valor real:
Donde:
Icc3p = Intensidad de cortocircuito trifásico (A).
Icc3ppu= Intensidad de cortocircuito trifásico, por unidad.
Ib = Intensidad base (A).
7. Cálculo de la intensidad de cortocircuito mínima. Primero se calcula la Icc por unidad:
Donde:
Icc MIN pu= Intensidad mínima de cortocircuito, expresa da por unidad. Upu = Tensión, por unidad. Zccpu = Impedancia total de cortocircuito, por unidad. Cálculo de la Icc en valor real:
Donde:
Icc min = Intensidad de cortocircuito mínima (A).
Icc MIN pu= Intensidad mínima de cortocircuito, por unidad.
Ib = Intensidad base (A).
Ejemplo de cálculo por el sistema de valores unitarios
Recordatorio de los datos del ejemplo desarrollado anteriormente:
Scc = 21,5 MVA.
Sn = 160 kVA,
Ecc = 4 %.
Pcu = 2.350 W.
U2V = 420 V.
L1 = 4 x 25 mm2; 25 m; rc = 0,727 Ω/km; xc = 0,110 Ω/km.
L2 = 4 x 70 mm2; 70 m; rc = 0,277 Ω/km; xc = 0,0764 Ω/km.
Determinar la corriente de cortocircuito en el punto A (salida del transformador) y la corriente de cortocircuito en el punto B (al final de los conductores conectados al transformador).
Como puede comprobarse, salvo diferencias por considerar un decimal más o un decimal menos en los cálculos, los resultados son los mismos, tanto por el método de las impedancias como por el método de valores por unidad. Ahora el profesional puede escoger el sistema que le resulte más sencillo.
Anexo I
Se incluyen a continuación las tablas 2, 3 y 4 extraídas del catálogo de media tensión de Prismyan, por su utilidad a la hora de encontrar los∫ valores de resistencia y reactancia de los conductores de media tensión.
Nota: La caída de tensión de la línea para el caso de corriente alterna trifásica, se calcula con la fórmula aproximada:
Anexo II
Resistencias y reactancias de conductores de baja tensión (figura 2 y tabla 5)
Anexo III
Tabla de resistencias y reactancias de transformadores de distribución (tablas 6 y 7)
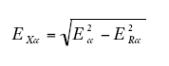
El problema que se encuentra el técnico cuando llega a este punto es que el fabricante del transformador le proporciona en su catálogo los siguientes valores: tensiones, potencia del transformador, tensión de cortocircuito en porcentaje, pérdidas en vacío y pérdidas a plena carga. Pero no le desglosa la tensión de cortocircuito en sus valores resistivo e inductivo. Sin embargo, estos valores son suficientes para hallar dichos porcentajes separadamente. Partimos de que el valor de las pérdidas a plena carga del transformador se puede asimilar a las pérdidas en el cobre del mismo y, por tanto, a la parte real, o resistiva, de la impedancia de cortocircuito. A partir de dicho dato se aplica:
E Rcc = PCu (15) donde PCu es igual al valor de las pérdi10Sdas del transformador en carga. A continuación, y una vez hallado ERcc, se obtiene EXcc, que es muy simple aplicando
Notas
1. No hay que olvidar que se debe de cumplir que
2. Hay que tener en cuenta que los cálculos propuestos en el presente trabajo, se refieren a la corriente permanente de cortocircuito, también denominada simétrica. Existen efectos transitorios (asimétricos) que no se han considerado, pues se pretende una simplificación y accesibilidad del procedimiento.
3. Se ha utilizado la misma terminología que la indicada por el profesor Dr. D. Enrique Ras Oliva, en su libro Transformadores de potencia, de medida y de protección indicado en la bibliografía, para facilitar su seguimiento.
Bibliografía
Aenor (1990). UNE 20099:1990. Aparamenta de alta tensión bajo envolvente metálica para corriente alterna de tensiones asignadas superiores a 1 kV e inferiores o iguales a 72,5 kV. (Anulada).
Aenor (2001). UNE 60076-1:2001. Transformadores de potencia. Parte 3: Niveles de aislamiento, ensayos dieléctricos y distancias de aislamiento en el aire.
Aenor (2007). UNE 21538-1:2007. Transformadores trifásicos sumergidos en aceite para distribución en baja tensión de 100 a 2.500 kVA, 50 Hz, con tensión más elevada en el material de hasta 36 kV. Parte 1: requisitos generales.
Aenor (2001). UNE 60076-1:2001. Transformadores de potencia. Parte 1: generalidades.
Aenor (2005). UNE 62271-200:2005. Aparamenta de alta tensión. Parte 200: Aparamenta de corriente alterna para tensiones asignadas superiores a 1 kV e inferiores a 52 kV.
BOE (1982). Real Decreto 3275/1982, de 12 de noviembre, por el que se aprueba el Reglamento sobre Condiciones Técnicas y Garantías de Seguridad en Centrales Eléctricas, Subestaciones y Centros de Transformación.
BOE (2002). Real Decreto 842/2002, de 2 de agosto, por el que se aprueba el Reglamento Electrotécnico para Baja Tensión.
BOE (2008). Real Decreto 223/2008, de 15 de febrero, por el que se aprueba el Reglamento sobre condiciones técnicas y garantías de seguridad en líneas eléctricas de alta tensión y sus instrucciones técnicas complementarias ITC-LAT 01 a 09.
Guirado Torres Rafael, Asensi Orosa, Rafael, Jurado Melguizo Francisco, Carpio Ibáñez José (2006). Tecnología eléctrica. McGraw-Hill, Interamericana de España. Madrid. ISBN: 84-841-4807-X.
IEC (2001). IEC 60909, 2001-07. Short-circuit currents in tree-phase ac systems. Part 0: Calculations of currents. International Electrotechnical Commission.
IEC (2004). IEC 60781: 2004 Ed 1.0. (Project) Application guide for calculations of short-circuit currents in low-voltage radial systems. International Electrotechnical Commission.
Metz-Noblat B de Dumes F, Tomasset G (2000). Cuaderno Técnico 158: Cálculo de corrientes de cortocircuito. Schneider Electric España.
Ras Oliva Enrique (1998). Transformadores de potencia, de medida y de protección. Marcombo, Barcelona. ISBN 8426706908.
Rodríguez Espantoso J. L. (2007). Càlcul del corrent de curtcircuit trifàsic I. Elecció del poder de tall de les proteccions elèctriques en B.T. Colegio de Ingenieros Técnicos Industriales de Barcelona (CETIB). Barcelona.








































