Análisis de seguridad estructural de las cubiertas. Repercusión del método de cálculo de los contrapesos de las instalaciones fotovoltaicas
Structural safety analysis of the roofs. Impact of the method of calculating the counterweights of photovoltaic installations
Manuel Fernández Casares (1) y Julián Plácido Pecharromán Sacristán (2)
Resumen
Los edificios con instalaciones fotovoltaicas deben seguir cumpliendo los requisitos de seguridad, para controlar los riesgos adicionales debidos a la presencia de la nueva actividad de generación de energía, en especial, para garantizar la seguridad estructural en condiciones normales de utilización. Cuando la cubierta es plana y se utilizan paneles inclinados con contrapesos, si estos no tienen suficiente peso, hay riesgo de que no sean suficientes para contrarrestar las fuertes fuerzas de succión del viento. Sin embargo, si son excesivos, se corre el riesgo de que la estructura no tenga capacidad portante suficiente con la fiabilidad exigida. Actualmente, conviven dos formas de calcular los contrapesos: o basando los resultados en los ensayos de túnel de viento que, de forma específica, se han realizado para las instalaciones fotovoltaicas en cubierta, o utilizando datos tabulados y seleccionando las formas que presentan rasgos más coincidentes con el escenario analizado. En el presente estudio se pretende mostrar que el cálculo de los contrapesos, siguiendo un método no basado en los ensayos de túnel de viento, puede no garantizar que la cubierta cumpla el requisito de seguridad estructural.
Palabras clave: Seguridad estructural, estado límite último de la cubierta, instalación fotovoltaica, ensayos de túnel del viento, contrapesos.
Abstract
Buildings with photovoltaic installations must continue to meet safety requirements, controlling the additional risks due to the presence of the new energy generation activity, in particular, to ensure structural safety under normal conditions of use. When the roof is flat and inclined panels with counterweights are used. If the counterweights are not heavy enough, there is a risk that they will not be sufficient to counteract the strong wind suction forces. However, if they are too heavy, there is a risk that the structure will not have sufficient loadbearing capacity with the required reliability. Currently, there are two ways of calculating the counterweights, either by basing them on the results of wind tunnel tests that have been specifically carried out for rooftop photovoltaic installations, or by using tabulated data and selecting the shapes that most closely match the scenario under analysis. This study aims to show that the calculation of the counterweights, following a method not based on wind tunnel tests, may not guarantee that the roof meets the structural safety requirement.
Keywords: Structural safety, ultimate limit state of the roof, photovoltaic arrays, wind tunnel tests, ballasts.
Recibido/received: 13/09/2023 Aceptado/accepted: 10/01/2024
1 Ingeniero Mecánico. Consultor y Asesor Técnico y Legal del Colegio Oficial de Graduados e Ingenieros Técnicos Industriales de Madrid (COGITIM). Profesor del Máster de Ingeniera de Protección Contra Incendios, de la Universidad Nacional de Educación a Distancia (UNED), de España.
2 Catedrático de E.U. en la Escuela Técnica Superior de Ingeniería y Diseño Industrial, de la Universidad Politécnica de Madrid (UPM). Doctor Ingeniero Industrial. Ingeniero Industrial e Ingeniero Técnico Industrial, especialidad en Mecánica.
Autor para correspondencia: Manuel Fernández Casares; e-mail: ma**************@****im.es
1. Introducción
Las cubiertas de los edificios se han convertido en lugares donde es posible aprovechar la energía solar, mediante la construcción de instalaciones de paneles fotovoltaicos, y es especialmente interesante cuando la cubierta es plana y se utilizan paneles inclinados.
Las cubiertas planas suelen utilizar tipos constructivos compuestos de un forjado sobre el que apoyan las subestructuras que inclinan los paneles fotovoltaicos. A su vez, tales subestructuras suelen contener contrapesos para contrarrestar las fuerzas de succión del viento.
La edificación, en general, y su cubierta, en particular, tras la construcción de la instalación fotovoltaica, deben seguir cumpliendo la normativa vigente sobre seguridad estructural en las condiciones normales de utilización.
Para garantizar la exigencia de estabilidad estructural, se necesita calcular el peso necesario en los contrapesos y, para ello, se acepta utilizar los datos correspondientes a las configuraciones normalizadas disponibles. A pesar de que ninguna de ellas se corresponde directamente con las instalaciones fotovoltaicas inclinadas sobre las cubiertas planas, se suelen seleccionar las marquesinas y los recubrimientos de las cubiertas de los edificios como las configuraciones con las formas que presentan rasgos más coincidentes con el escenario analizado (Arroba Fernández & Mencías Carrizosa, 2008).
Ya hay resultados de ensayos en túnel del viento (SEAOC, 2017) que demuestran que el comportamiento dinámico del viento sobre una colección de paneles fotovoltaicos inclinados que están instalados sobre las cubiertas de los edificios es muy diferente del que experimentan los recubrimientos de las cubiertas de los edificios o del experimentado por las marquesinas individuales, de grandes áreas y situadas sobre el terreno.
A nivel internacional, se dispone de métodos normalizados (ASCE, 2022) que, basados en los ensayos del túnel del viento, permiten calcular los contrapesos necesarios en cada panel, consiguiendo controlar el riesgo de pérdida de estabilidad.
Se ha mostrado (COGITIM, 2023) que es posible integrar los modelos internacionales basados en los ensayos de túnel del viento dentro de los modelos aceptados por la normativa vigente nacional, para garantizar el cumplimiento del requisito básico de seguridad estructural frente a la acción de succión del viento. Además, también se ha mostrado que al determinar los contrapesos necesarios siguiendo un método no basado en los ensayos de túnel del viento, los paneles más expuestos al viento pueden no ser suficientes para garantizar que haya estabilidad frente a las fuerzas de succión.
Este trabajo tiene como objetivo mostrar que el cálculo de los contrapesos, utilizando los datos tabulados que no están basados en los ensayos de túnel del viento específico para las instalaciones fotovoltaicas inclinadas y sobre cubierta plana, tampoco permite controlar el cumplimiento de la exigencia de capacidad portante con la fiabilidad adecuada, en condiciones normales de utilización.
Para conseguirlo, se describirá un método de cálculo que permitirá comparar el estado tensional de las cubiertas en tres escenarios: cuando no hay fotovoltaica, cuando hay fotovoltaica con contrapesos calculados a partir de los ensayos del túnel de viento y cuando hay fotovoltaica con contrapesos calculados con los datos tabulados de la normativa vigente.
En el apartado de resultados, se aplicará el método general a un caso particular frecuente, concretamente al caso de un estudio previo (COGITIM, 2023), consistente en una edificación con una instalación fotovoltaica inclinada con contrapesos sobre una cubierta plana compuesta de losa de hormigón y soportada por vigas de acero, con tres propósitos. Primero de ellos es hacer más comprensible la aplicación del método general. El segundo es mostrar que tal método también puede utilizarse para analizar la capacidad portante de la edificación en condiciones normales de utilización, tras la incorporación de una instalación fotovoltaica inclinada con contrapesos. El tercero es mostrar que si en un caso frecuente y en condiciones normales de utilización, no se puede garantizar el cumplimiento del requisito de seguridad estructural con la fiabilidad adecuada, quedaría mostrado que es más apropiado utilizar datos basados en los ensayos específicos y normalizados de túnel del viento.
2. Método
Se realizará la evaluación de la repercusión de la forma de cálculo de los contrapesos de las instalaciones fotovoltaicas por medio de la evaluación de un escenario de referencia, consistentes en el estado de la edificación antes de la presencia de la instalación fotovoltaica, es decir, sin contrapesos, frente a la evaluación de dos escenarios alternativos, tras la presencia de la instalación fotovoltaica y, por tanto, con contrapesos. La primera alternativa es cuando los contrapesos se han calculado a partir de los ensayos de túnel del viento. La segunda alternativa es cuando se han calculado aplicando los datos tabulados conforme a la normativa nacional y con los valores simplificados habituales. Para mostrar que el cálculo siguiendo la segunda alternativa puede no garantizar que la cubierta cumpla el requisito de seguridad estructural con la fiabilidad adecuada, bastará con comprobar que al menos en un caso frecuente, los resultados son muy diferentes de los obtenidos a partir de los ensayos de túnel del viento, normalizados y reconocidos internacionalmente (American Society of Civil Engineer, 2022). La evaluación de cada escenario se realizará mediante un análisis estructural conforme al método elástico, para caracterizar las condiciones que se requieren para lograr alcanzar la seguridad estructural de la cubierta, centrado en la situación normal y el estado límite último, para no exceder su capacidad portante, al no sobrepasarse el estado de agotamiento en ninguna de las secciones de sus elementos constructivos. El análisis de seguridad estructural para garantizar que hay suficiente capacidad portante seguirá la siguiente sistemática:
• Etapa 1. Acciones: identificación de todas las acciones con influencia en el estado de carga del elemento estructural de interés. Se caracteriza cada carga con su valor característico y se informa de la manera utilizada para transmitir los esfuerzos y de si se aplica de forma directa o se transmite a través de otro elemento constructivo intermedio. Se indica la clase de acción según la variación esperada en el tiempo (CEN, 2019) (CTE, 2019). La presencia de la instalación fotovoltaica requiere las siguientes consideraciones:
- Hay una nueva acción permanente, la debida al peso de la fotovoltaica, que, al disponer de contrapesos, será habitualmente la carga predominante. El valor asociado será resultado del método utilizado para el cálculo de los contrapesos necesarios para contrarrestar la fuerza de succión del viento (COGITIM, 2023).
- La acción variable debido al viento sufrirá una modificación importante por la presencia de los paneles fotovoltaicos inclinados, tanto en módulo como en sentido (SEAOC, 2017). Deberá ser estimada en función de los resultados de los ensayos de túnel del viento, normalizados y aceptados internacionalmente (ASCE, 2022), sea cual fuere el método utilizado en el cálculo de los contrapesos.
- La acción variable debido a la nieve debe ser recalculada, considerando si la inclinación de los paneles fotovoltaicos puede o no modificar el estado de carga previsto sin fotovoltaica.
- Se requiere confirmar si es posible no modificar la acción variable debido a la sobrecarga de uso, por no cambiar el modo de utilización de las áreas de la edificación analizadas.
- Las cargas que se transmiten por la cubierta hacia el elemento estructural de interés se considerarán cargas uniformemente repartidas por unidad de superficie a través del área de influencia del material de la cubierta.
• Etapa 2. Combinación de acciones, caracterizando, por una parte, la contribución de las acciones que se transmiten por la cubierta hacia el elemento estructural de interés y, por otra, la contribución de las acciones que se aplican directamente al elemento de interés. La contribución de cada acción dependerá de su clase. Se cuantifica a través de su valor de cálculo, al aplicar los valores de los coeficientes parciales de seguridad, conforme el criterio de la normativa vigente para que la fiabilidad sea adecuada (CEN, 2019) (CTE, 2019). El estado total de carga a la que estará sometido el elemento estructural de interés se determinará aplicando el principio de superposición y utilizando el análisis estático. La presencia de la instalación fotovoltaica requiere las siguientes consideraciones:
- La carga permanente debido al peso de la fotovoltaica siempre contribuye desfavorablemente a la resistencia.
- Entre las acciones variables, hay que añadir la contribución desfavorable para la resistencia de la acción de presión debido al viento, como consecuencia de la influencia de los paneles inclinados.
• Etapa 3. Estado límite último. Se caracteriza, por una parte, el efecto de las acciones, mediante el estado tensional de la sección crítica del elemento de interés. Por otra, la resistencia mecánica que ofrece al agotamiento la sección crítica del elemento de interés. Se ha de realizar una verificación en cada escenario, al considerar el requisito de que la tensión de límite elástico requerida por el estado tensional presente no sea superior a la disponible (CEN, 2019) (CTE, 2019).


3. Resultados
El método descrito se aplicará al caso de un estudio previo (COGITIM, 2023). Los datos de partida son:
- Edificación con cubierta plana.
- Dispone de una instalación fotovoltaica inclinada, situada sobre su cubierta:
- Inclinación de los paneles fotovoltaicos, =200 .
- Longitud característica de los paneles, Lp = 0,99 m.
- Ancho del panel: a = 1,676 m.
- Separación entre filas de paneles, 1,3 m.
- La instalación fotovoltaica equilibra la acción del viento con contrapesos. Cada panel dispone de un contrapeso situado en cada vértice (cada panel dispone de 4 contrapesos).
- Cada contrapeso tiene definida su posición en la colección de paneles por su número de fila y su número de columna.
- La cubierta se compone de una losa de hormigón (fig. 1).
- Se considera que la losa sectoriza la zona sobre la cubierta del espacio situado bajo ella.
- Diseñada como losa continua, cada tramo de dimensión L × L (cada tramo es de 6,7 m × 6,7 m) es soportado por tres vigas de acero que dejan dos vanos de dimensiones iguales (cada vano es de l= 3,35 m).
- El tramo de losa que es soportada por el elemento estructural de interés se sitúa en el centro de la cubierta y soporta 48 contrapesos.
- El elemento estructural de interés es una viga:
- La viga de interés está situada en el centro del tramo de losa (por ser la más desfavorable; está señalada con un círculo en la fig. 1).
- Perfil IPE de acero. ? Se trata de una viga biapoyada, L= 6,7 m.
- Se pueden formar rótulas plásticas sin afectar a la resistencia y no hay peligro de inestabilidad.
- Condiciones de carga del elemento estructural de interés:
- Carga debido al peso de la losa, 2,12 kN/m2 . ? Carga debido a la acción de la nieve 0,3 kN/m2 (altitud < 1000 m).
- Sobrecarga de uso, 1 kN/m2 (accesible solo para mantenimiento).
- Carga que transmite cada contrapeso a la cubierta, debido al peso propio de la instalación fotovoltaica y calculado en función de los ensayos de túnel de viento (tabla 1). El cálculo de las acciones es el siguiente:
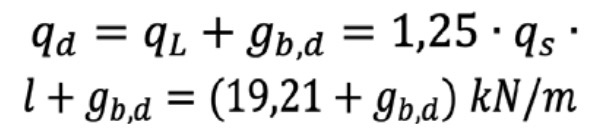
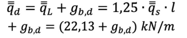
- Carga debido al peso de la fotovoltaica: Se trata de una acción permanente que actúa sobre el tramo de losa de la cubierta que tributa sobre la viga de interés.
Situación de referencia:
![]()
Alternativa 1: Tomando los valores de la tabla 1

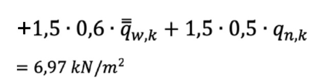
Alternativa 2: Aplicando el método habitual para contrarrestar la succión del viento, consistente en utilizar los datos tabulados correspondientes a las marquesinas a un agua. Se eligen los valores simplificados propuestos en la norma (CTE, 2009):

- Carga debido al peso de la losa: Se trata de una acción permanente que actúa sobre el tramo de losa de la cubierta que tributa sobre la viga de interés. Se toma el valor indicado en los datos de partida.
![]()
Carga debido a la acción del viento: Se trata de una acción variable que actúa sobre el tramo de losa de la cubierta que tributa sobre la viga de interés. Situación de referencia: La carga tomará en todo caso valores negativos, por someter a la cubierta a succión.
![]()
Alternativas 1 y 2: Tomando como mejor estimación para el valor en presión, el cálculo de las reacciones en cada apoyo de la subestructura de la instalación fotovoltaica, en función de los resultados del ensayo del túnel del viento normalizado, conforme al estudio previo (COGITIM, 2023).
![]()
Carga debido a la acción de la nieve: Se trata de una acción variable que actúa sobre el tramo de losa de la cubierta que tributa sobre la viga de interés. Dada la inclinación de los paneles del caso analizado, se considera que la nieve puede acumularse sobre ellos. Se toma el valor indicado en los datos de partida.
![]()
- Carga debido a la sobrecarga de uso: Se trata de una acción variable que actúa sobre el tramo de losa de la cubierta que tributa sobre la viga de interés. Dado que la cubierta solo es accesible para mantenimiento, se considera que son alternativos el uso de mantenimiento del material de la cubierta y el de la instalación fotovoltaica. Se toma el valor indicado en los datos de partida.
![]()
Peso propio de la viga de interés: Se trata de una acción permanente que actúa directamente en la viga de interés, como una carga uniforme por unidad de longitud. Su valor, gb,k [kN/m] dependerá del tipo de perfil IPE seleccionado. Cálculo de la combinación de acciones (CEN, 2019) (CTE, 2019):
- Contribución de las acciones transmitidas por la cubierta: Situación de referencia:

Alternativa 1:

Alternativa 2:
![]()
Contribución de las acciones directamente aplicadas a la viga de interés:

Estado total de carga: La carga con la que tributa la losa en la viga de interés se deduce del análisis estático, al considerar que se trata de la viga del centro, que soporta una losa continua con dos vanos. Situación de referencia:

Alternativa 1:

Alternativa 2:
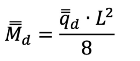
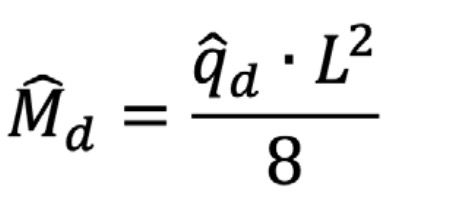
En la tabla 2 se indica el estado de carga que le corresponde a la viga de interés en función del tipo de perfil utilizado. Verificación del estado límite último (CEN, 2013):
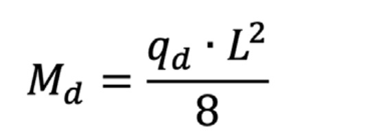
- Efecto de las acciones: Considerando despreciable el efecto del cortante, el efecto que caracteriza el estado tensional de la cubierta será el momento flector de cálculo en la sección crítica del elemento de interés. Situación de referencia:

Alternativa 1:

Alternativa 2:

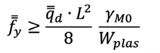
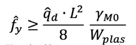
Resistencia mecánica: Dado que se trata de una sección de clase 1, con efecto del cortante despreciable, la resistencia se caracteriza a través del momento flector resistente de la sección crítica.

Siendo:
Wplas el módulo resistente plástico de la sección IPE correspondiente.
Fy la tensión de límite elástico.
Ym0 el coeficiente parcial de seguridad del material, igual a 1,05.
- Condición de verificación: Situación de referencia:

Alternativa 1:

Alternativa 2:

Véase la tabla 3 para comparar los estados tensionales exigidos en función del tipo de perfil y el escenario analizado.


4. Conclusiones
El estudio proporciona un método que sirve para mostrar cómo repercute el método de cálculo de los contrapesos de las instalaciones fotovoltaicas en la seguridad estructural de las cubiertas.
Los resultados obtenidos, al comparar la situación sin fotovoltaica frente a otra situación con fotovoltaica, muestran la necesidad de realizar un análisis estructural adecuado, para seguir garantizando el requisito básico de seguridad estructural con la fiabilidad exigida.
En el caso analizado, al comparar la situación sin fotovoltaica frente a la situación con fotovoltaica y utilizando los resultados del túnel del viento, puede suponer un aumento de hasta el 14,6 % de la tensión de límite elástico requerida, con el riesgo de haber utilizado un perfil y un tipo de acero que, en presencia de la fotovoltaica, no garantiza la exigencia de capacidad portante necesaria.
Además, al comparar la situación sin fotovoltaica frente a la situación con fotovoltaica y contrapesos calculados con los datos tabulados, se muestra la gran repercusión que tiene el método de cálculo de los contrapesos en la seguridad estructural de la edificación; en el caso analizado, puede suponer un aumento de hasta el 49,8 % de la tensión de límite elástico requerida cuando no hay fotovoltaica.
Al aplicar el método a un caso frecuente, se ha podido mostrar que el cálculo de los contrapesos con un método no basado en los ensayos de túnel del viento, normalizados y reconocidos a nivel internacional, no garantiza en todo caso que la cubierta pueda cumplir el requisito de seguridad estructural con la fiabilidad adecuada.
Dado que el requisito de seguridad estructural debe extenderse tanto a la situación normal como a las accidentales, como puede ser la situación en caso de incendio, será necesario realizar un nuevo estudio que analice cómo puede influir el método de cálculo de los contrapesos necesarios, en la resistencia al fuego de las estructuras en caso de incendio.
5. Agradecimientos
A Gracia Pérez Ojeda por organizar y gestionar los recursos necesarios.
A Jorge Moreno Mohíno y Ana Larrañaga Pastor, por hacer posible la participación en el estudio de los mejores expertos.
El trabajo cuenta con la financiación del Mecanismo de Recuperación y Resiliencia establecido por el Reglamento (UE) 2021/241, del Parlamento Europeo y del Consejo, de 12 de febrero de 2021, en el Programa CE OFICINAS Plan de Recuperación, Transformación y Resiliencia.
Referencias
American Society of Civil Engineer, 2022. Minimum design loads and associated criteria for building and other structures. ASCE 7-22. 2022. s.l.: s.n.
Arroba Fernández, M. & Mencías Carrizosa, D., 2008. Integración arquitectónica de algunas energías renovables. Impacto estructural. Madrid, Fondo documental de CONAMA 9.
ASCE, 2022. Minimum design loads and associated criteria for building and other structures. ASCE 7-22. 2022., s.l.: s.n.
CEN, 2019. Eurocódigos. UNE-EN 1990:2019. Bases de cálculo de estructuras., s.l.: s.n.
COGITIM, 2023. Ejemplo de aplicación de la Guía para el cálculo de los contrapesos de paneles fotovoltaicos inclinados sobre cubiertas planas [internet]. Disponible en: https://www. cogitim.es/
COGITIM, 2023. Guía para el Análisis de Seguridad Estructural de Instalaciones Solares en la Edificación, SE-IS [internet]. Disponible en: https://www. cogitim.es/
COGITIM, 2023. Método para el cálculo de los contrapesos de paneles fotovoltaicos inclinados sobre cubiertas planas [internet]. Disponible en: https://www.cogitim.es/
CTE, 2009. Codigotecnico [internet]. Disponible en: https://www.codigotecnico.org/ pdf/Documentos/SE/DBSE-AE. pdf [Accessed 2023].
CTE, 2019. Codigotecnico [internet]. Disponible en: https://www.codigotecnico.org/ pdf/Documentos/SE/DBSE.pdf [Accessed 2023].
SEAOC, 2017. Wind design for solar arrays, s.l.: s.n.



